Index

Abstract

As trees grow larger in even-aged, monoculture forests, stand density increases, taller trees shade smaller trees and a group of smaller, suppressed trees develops that may show little or no growth. Subsequent mortality is most common from this group. This work compares three models that may describe well the relationship between individual tree basal area growth rates and tree basal areas in a forest stand when a suppressed group of trees is present or not. The models are tested using a large collection of data from permanent sample plots in blackbutt (Eucalyptus pilularis Smith) forests in subtropical eastern Australia.An example is given for one stand showing how model parameter values may change as the stand ages; this illustrates how these models have potential for use in the first stage of model development to relate individual tree growth rates to tree sizes and stand characteristics. Such models may then be used widely across the forest population under consideration.

Keywords: Growth model, Individual tree, Basal area growth, Nonlinear models, Even-aged monoculture, Suppressed trees.

Received: 2 March 2022 / Revised: 19 April 2022 / Accepted: 6 May 2022/ Published: 23 May 2022

Contribution/ Originality

This work examines the properties of some nonlinear models, that have been little used before, to relate individual tree growth rates to tree size in a stand. It examines the statistical processes required to fit them and describes their potential use in growth modelling systems.

1. INTRODUCTION

The rate at which an individual plant grows during its lifetime depends on several factors. Firstly, its size determines how much live tissue it contains, tissue with which it can metabolise and grow new biomass. Secondly, the environmental circumstances of the site on which it is growing determine if it is exposed to temperatures that allow growth and the availability to it of the resources it needs for growth, light, water and nutrients. Thirdly, if other plants occur nearby to it, they may compete with it for those growth resources and so limit its ability to grow.

Over many years and for many forest types around the globe, models have been developed to predict individual tree growth in relation to the factors that control it. Commonly, these models predict growth over intervals of only one or a few years, recognising that growth behaviour is likely to change as the forest develops. Such models may provide useful information about the ecological factors that determine growth and may serve also to predict future forest conditions for management purposes. Major texts offer substantial reviews of such modelling work [e.g. [1-3]].

One approach to the development of such models is to accumulate individual tree growth data from a large number of forest stands that cover a wide range of tree sizes, of forest ages and of environmental and silvicultural management circumstances. Regression analysis is then applied to relate tree growth rates to whatever set of predictor variables is available. Often, the relationship between individual tree growth rates and tree sizes in each stand of the data set is not examined explicitly in such model development. However, such relationships must underlie the final form the model takes; the present work is concerned with such relationships. It examines several models that might prove valuable in describing the relationship between tree growth rates and tree sizes, over growth periods up to a few years long, in individual stands of even-aged, monoculture forests.

An approach used sometimes when formulating a general model to predict individual tree growth rates over a large forest population is to develop the model in two stages. The first stage involves relating tree growth rates, for any particular growth period, to tree sizes (and, perhaps, to other growth controlling factors that are particular to individual trees) separately for the data available for each and every stand (usually represented by a forest plot) in the entire data set. The second stage involves relating the estimates of one or more of the first stage parameters for each plot to predictor variables that are particular to each plot, variables such as plot age and the environmental and silvicultural management circumstances of each plot. Examples of this two-stage process (or examples that employ it inherently) can be found in models of individual tree growth [e.g. [4-17]] as well as in cases with response variables other than tree growth [17-29]. Statistical problems involved in fitting such models have been considered [17, 30-32].

It is the form of such first stage individual tree growth models that is of interest to the present work. These models are not only of concern with respect to the development of broad-scale forest growth models, but sometimes individual tree growth behaviour per se is the matter of interest [e.g. [33-40]]. Those cases may be concerned with the comparison of growth behaviour in different treatments of an experiment [e.g. [41-49]]. Another use is to employ methods developed by Hara [50] to predict changes over growth periods of the frequency distribution of plant sizes in a stand [e.g. [47, 51-55]].

As will be shown later, in a stand of even-aged, monoculture forest the relationship between tree stem basal area growth rate and tree stem basal area at the start of a growth period of no more than a few years is often best represented as a simple straight line. However, as time passes and the trees grow bigger, stand density (degree of crowding of trees) increases. Then, taller (bigger) trees may shade smaller trees; reduced sunlight limits photosynthetic capability of the smaller trees and may also reduce their light use efficiency or increase their respiration rates [56-63]. This group of smaller, suppressed trees may then grow only to a small extent or not at all. There are examples of this type of growth behaviour for various forest types in various parts of the world [8, 34, 35, 47, 64-69]. As time passes and density increases further, trees start to die; it is amongst the suppressed group that mortality is most frequent.

It is common also in forest management practice to thin stands from time to time, usually by removing smaller trees. This aims to allow stem diameter growth rates of the remaining trees to accelerate. It takes some years for the crowns of the trees in the stand to expand after the thinning, then for shading of smaller by taller trees to redevelop and for a group of suppressed trees to reappear. Such practices and behaviour are described in forest silviculture texts [e.g. West [70], Chapters 7-8]. Thus, if tree growth behaviour is to be modelled properly, a form of model will be required that incorporates jointly the growth (or lack of it) behaviour of the group of suppressed trees as well as that of the larger trees.

In this work, we compare three ‘stick’ models that might be suitable to relate individual tree basal area growth rates to tree basal area in individual forest stands. The first is a ‘bent stick’ model. This function has two sections that describe the growth behaviour separately of both the suppressed and non-suppressed tree groups and which are joined by a smooth curve. The second is a ‘broken stick’ model, where the join between the two sections, each of which is a straight line, is direct with no smooth transition between them. These models have origins in various works [[71-74], Section 6.6], Dhôte [75]]. The third model is a ‘straight stick’, which is a simple straight line; that may be appropriate when no group of suppressed trees is present. Finally, an example is given to illustrate the potential use of such models in an individual tree growth modelling context.

2. DATA

Native blackbutt forests (Eucalyptus pilularis Smith ) extend along a coastal strip of subtropical eastern Australia over a latitudinal range of 25–37°S and inland to the Great Dividing Range. These forests are essentially even-aged monocultures containing only occasional individuals of other (usually eucalypt) species.

Data were available from permanent sample plots, established by the New South Wales and Queensland government forest services, in both native and plantation forests scattered over a latitudinal range of 26–30°S; these data were collated by Mattay and West [76]. Plot areas ranged over 0.06–0.2 ha. Many of the plots had been thinned from below once or more times during their lifespan; such thinnings would often have involved removal of about half the standing basal area of the plot.

Data were available also from 27 plots in an experimental blackbutt plantation located near Coffs Harbour (30°18′S, 153°08′E) that had been measured five times over 2.5–6.6 years of age [47, 77, 78]. The climate and many soils of the region are ideal for plant growth; intensively managed blackbutt plantations there may grow as fast as forests anywhere in the world.

At each measurement, the diameters at breast height (1.3 m) over bark of live trees in a plot were measured to give stem basal areas. Stem basal area growth rates were determined as the change per year in basal area between measurements.

The final data set contained data from 1,116 growth periods from 121 plots. Table 1 summarises the plot data. These data have been used previously to examine maximum tree growth rates in these forests [79].

Table 1. Minimum-mean-maximum values of various stand variables in the blackbutt data set used here.

Variable
Value
Age (yr)
3−24−61
Basal area (m2 ha-1)
0.1−20.2−70.1
Stocking density (stems ha-1)
55−417−2.012
Quadratic mean diameter (cm)
2−29−66
Growth period length (yr)
0.4−1.9−10.2

3. METHODS

3.1. Models

The ‘bent stick’ model derived from the work of Deleuze, et al. [43], who used it to describe individual tree basal area growth rates in relation to tree circumferences at breast height. It was modified slightly here to relate growth rates to tree basal areas, but that did not alter its properties in any appreciable way. The model (Equation 1) is:

Where ΔB is tree basal area growth rate (m2 yr‑1), B (m2) is tree basal area and p1, p2 and p3 are parameters.

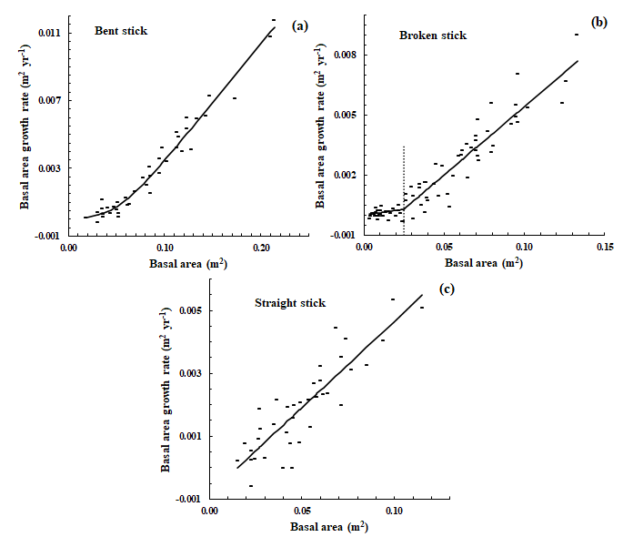
Figure 1(a) illustrates this function. The data shown there are for a plot that had been thinned at around 18 years of age. By some 19 years later, at the time of the growth period shown in the figure, it is apparent that a group of smaller trees, with basal areas less than about 0.06 m2, is displaying low growth rates relative to their sizes when compared to the larger trees in the plot. This is assumed to be a group of suppressed trees that is developing in the stand. Note that small trees may have negative growth rates; this is often observed in forest growth data and usually arises through measurement errors with small trees and/or stem shrinkage and swelling in response to differences in soil water availability at different times of measurement [80-82].

Figure 1. Scatter plots (-) of tree basal area growth rates against tree basal area for regrowth plot number 8, between 37-39 years of age (a) and 23-24 years of age (c) and for regrowth plot number 1009, between 24-26 years of age (b). The solid lines show the fit to the data in each case, determined using methods described in the text, for (a) the bent stick Model (1), (b) the broken stick Model (2) and (c) the straight stick Model (3). The dotted line in (b) indicates the tree basal area below which the broken stick model delimits the suppressed tree group from the non-suppressed.

The bent stick Model (1) appears to fit the data of Figure 1(a) well, showing a gradual transition from the trend apparent in the data for the non-suppressed group to the trend apparent in the data for the suppressed group. The model is such that, in the limit (as B→∞), it describes the growth of the non-suppressed group as the straight line,

ΔB = −p1p2 + p1B                                                                     (1a)

The parameter p3 (≥1) defines the shape of the function. The model passes through the origin so that it predicts that ΔB=0 when B=0. The parameter estimates for the line drawn in Figure 1(a) were p1=0.0705, p2=0.0542 and p3=1.070.

The broken stick Model (2) is a variation on models used by others [35, 45, 55, 71]. It is (Equation 2).

ΔB = q1 + q2(Bq4) + q3|Bq4|                                                                 (2)

where q1, q2, q3 and q4 are parameters. It describes two straight lines which intersect at B=q4. It is assumed here that trees with basal areas below that point constitute the group of suppressed trees and larger trees make up the non-suppressed group. The straight line, derived from this model, that defines growth of the non-suppressed trees (Bq4) is then given by Equation 2a as:

ΔB = q1 + (q2+q3) (Bq4)                                                                          (2a)

whilst the line defining growth of the suppressed trees (B<q4) is given by Equation 2b as:

ΔB = q1 + (q2−q3) (Bq4)                                                                          (2b)

Figure 1(b) illustrates the shape of this broken stick model when fitted to data from a regrowth plot which had never been thinned and had a stocking density at the time of measurement of 1,420 stems ha‑1. The parameter estimates of the model fitted in that case were q1=0.000303, q2=0.0402, q3=0.0281 and q4=0.0249. The group of suppressed trees there appears to be well developed below a basal area determined by the value estimated for q4; its position is shown by the vertical dotted line on the figure. Unlike Model (1), Model (2) provides a parameter value (q4) that clearly separates the suppressed group of trees from the non-suppressed group. As well, it does not necessarily pass through the origin.

Figure 1(c) is an example from the same plot as in Figure 1(a), but measured at an earlier age before there was any hint of the development of a group of suppressed trees. In that case, the straight stick model, a simple straight line, given by Equation 3 as:

ΔB = r1 + r2B                                                                               (3)

Where r1 and r2 are parameters, appears to be appropriate to describe growth of all trees. The fit to the data in that case is illustrated in Figure 1(c), where parameter estimates were r1=−0.000837 and r2=0.0549.

3.2. Heteroscedasticity

The first problem apparent with data sets such as those shown in Figure 1, is that the data may be heteroscedastic. In Figure 1(b), it appears that variation in tree growth rate increases progressively with tree size. That is less apparent in Figure 1(a) and not at all apparent in Figure 1(c). If least-squares regression analysis is to be used to fit models satisfactorily to such data, it will be necessary to apply weighted least-squares regression when this heteroscedasticity applies.

A method designed to offer a suitable relationship between variance of residuals and tree size was developed for each of the 1,116 growth data sets as follows. Firstly, an ordinary least-squares straight line relationship relating tree growth rate to tree size was determined, that is Model (3). For a case such as Plot 1009 in Figure 1(b), the presence of the group of suppressed trees means that model does not fit the data particularly well. However, it was felt that the scatter of the data about that line could be used to describe reasonably the heteroscedasticity in the data. The residuals from the relationships were considered in order of increasing tree size and the variance and mean tree size of each successive set of seven residuals determined.

Figure 2 shows a scatter plot of the natural logarithms of the variances so determined against the natural logarithms of mean tree sizes from the data of Figure 1(b). The fit to the data there suggests that the relationship between the variance of residuals in basal area growth rate (V, m4 yr‑2) and tree basal area might be determined for a growth period of a plot as

V = αBβ                                                                                                                                                     (4)

Where α and β are parameters. For the example in Figure 2, α=0.000159 and β=1.55. This process was repeated for all 1,116 growth periods. For cases such as that in Figure 1(c), where there was no group of suppressed trees and where there was little apparent trend of variance of residuals with changing tree size, there was indeed found to be no significant trend (at p=0.05). For that case, parameter estimates for Model (4) of α=0.115 and β=0 were most appropriate.

Figure 2. For the data of the plot growth period in Figure 1(b), a scatter plot (-) is shown of the natural logarithms [ln (∙)] of the variance of residuals from a straight line fit to the data against the natural logarithms of the mean basal areas of groups of seven residuals used to determine those variances. The solid line is the ordinary least-squares straight line fit to the data.

The results for each of the growth periods in the data set were then used subsequently to provide weights for use in weighted least-squares regression when fitting Models (1−3). In practice, for each observation a weight is required that is proportional to the reciprocal of the variance of the residuals at that point. Given Model (4), this means that the constant of proportionality, α, is unimportant and weights may be determined as 1/Bβ.  

3.3. Nonlinear Regression

Models (1) and (2) are both nonlinear in their parameters, whilst Model (3) is linear. Major texts [74, 83, 84] make clear that using least-squares regression to fit nonlinear models involves difficulties that are not encountered with linear models. In contrast with linear regression, the estimators in nonlinear regression are unbiased, normally distributed, minimum variance estimators only asymptotically. This can lead to substantial difficulties in achieving convergence to a satisfactory solution with the various algorithms that are used commonly to fit nonlinear regressions.

Methods are available to examine the estimation behaviour of nonlinear regression models. Firstly, ‘intrinsic’ nonlinearity measures the curvature of the solution locus of the problem. This is an issue inherent to the model and data set under consideration. Secondly, ‘parameter effects’ nonlinearity is a function of the way in which the parameters in the model are scaled. Various methods have been developed to examine these issues to see if they pose a problem for any particular model-data set combination. Further, when problems are encountered with parameter effects nonlinearity, it may be possible to ‘reparameterise’ the model in such a way that it then displays ‘close-to-linear’ behaviour so that standard methods, such as the Gauss-Newton method, may be applied to achieve rapid convergence to a set of parameter estimates with little bias. Ratkowsky [74] describes these matters and discusses solutions that might be possible.

Examination of data sets available here that contained a suppressed tree group suggested that these problems with parameter effects nonlinearity often applied with both Models (1) and (2). It was found that these problems could often be overcome through ‘expected value’ reparameterisations of both models; the theory and practice of this procedure are discussed in Ratkowsky [84], [Section 2.3]. In brief, it involves replacing parameters in the model with other parameters that are predicted values of the response variable calculated from specific values of the explanatory (i.e., regressor) variable. In practice, the specific values of the explanatory variable may be observed values in the data set under consideration, often the trees with the smallest and largest basal areas in the data sets considered here.

For Model (1), it was found necessary, largely by trial and error, to replace one of its parameters, p1, with an expected value parameter, z1. When the model was then fitted, an initial value for z1, as required by nonlinear regression fitting algorithms, was chosen as an observed tree basal area growth rate near the centre of the range of tree basal areas in the plot, with its corresponding observed tree basal area Bz1. The reparameterised model is shown by Equation 5 as:

ΔB = z1{B – p2p3 + [(p2p3+B)2 – 4p2B]½/ {Bz1 – p2p3 + [(p2p3+ Bz1)2 – 4p2 Bz1]½}             (5)

Once this model had been fitted satisfactorily, its parameter estimate z1 could be converted back to a value for p1, as in the original Model (1), as:

p1= 2z1/{Bz1 – p2p3 + [(p2p3+ Bz1)2 – 4p2 Bz1]½}                                                  (5a)

In the case of Model (2), it was found necessary to replace three of its parameters, q1, q2 and q3 with expected value parameters, y1, y2 and y3, respectively. Initial values for these three parameters were chosen, respectively, as the observed basal area growth rate in the data set concerned at the lowest stem basal area in the data set, B1, the observed growth rate for a mid-range basal area, B2 and the observed growth rate for the largest basal area in the data set, B3. The choice of which observations in the data set to use for this purpose is not crucial; any convenient trio might have been used, preferably spread over the range of the data and not close to the value of the parameter that was not to be changed (q4). The expected value reparameterisation of Model (2) is then shown in Equation 6 as

ΔB = {y1[(D|E|−E|D| + (|D|−|E|)(Bq4) + (ED)|Bq4|] +   
y2[(E|C|−C|E| + (|E|−|C|)(Bq4) + (CE)|Bq4|]  + 
y3[C|D|−D|C| + (|C|−|D|)(Bq4) + (DC)|Bq4|]}/A                                        (6)

where C=(B1−q4), D=(B2−q4), E=(B3−q4) and A = C(|D|−|E|) + D(|E|−|C|) + E(|C|−|(D|).

Once Model (6) has been fitted satisfactorily, its parameter estimates may be converted back to give those of the original (and simpler to use) Model (2) as:

q1 = [y1(D|E|−E|D|) + y2(E|C|−C|E|) + y3(C|D|−D|C|)]/A                        (6a)
q2 = [y1(|D|−|E|) + y2(|E|−|C|) + y3(|C|−|D|)]/A                                        (6b)
q3 = [y1(ED) + y2(CE) + y3(DC)]/A                                                  (6c)

whilst q4 remains unchanged.

3.4. Choosing the Models

Given the model forms being considered here, the first step in deciding which is the most appropriate for any data set is to determine if the simple Model (3) will be adequate. If not, then one of the more complex Models (1) or (2) may be needed. The decision to use either of the latter two models will depend on the presence of a suppressed group of trees.

To make the initial decision as to model choice, it was assumed firstly that no group of suppressed trees was present in the stand so that Model (3) would be appropriate. That model was then fitted by weighted least-squares linear regression, using weightings as described earlier. The need to use Model (2) was then explored. It was assumed that perhaps a group of suppressed trees was present in the stand and that the tree basal area that separated this group from the non-suppressed trees occurred at a basal area of q4 (m2). The choice of that value was quite arbitrary, but was usually chosen initially to be close to the smallest basal area that occurred in the data set under consideration. With that value chosen, Model (2) reduces to a linear regression with three parameters, q1, q2 and q3. That model could then be fitted using weighted least-squares linear regression. The statistical significance of the increase in the explained sum of squares by using Model (2) with that particular value of q4, over that obtained with Model (3), was then determined using the conventional extra sum of squares test. That process was then repeated, using other values for q4, to determine which value of q4 yielded the highest probability of significance. If that highest probability was less than some significance level considered appropriate (p≤0.05 was used here), it was then considered reasonable to suggest that a group of suppressed trees was indeed present in the stand and that Model (2) might be appropriate to apply in that stand, rather than the simpler Model (3). Computer programmes written by one of us (PWW) were used for this purpose. The value of q4 that was found to best improve the fit to the data was then used as an initial estimate for q4 in fitting the nonlinear Model (2), through its expected value reparameterisation (Model 6).

If it was decided that a suppressed group of trees was present, Model (6) was fitted and the original parameter values of Model (2), q1, q2 and q3, determined from this using Equations (6a-c). These values could then be used to give initial parameter values for use with Model (1), through its reparameterisation (Model 5). Its parameter p2 is the tree basal area at which ΔB=0 in Model (1a). Model (2a) predicts that basal area as Equation 7.

B = [(q2+q3)q4-q1]/(q2+q3)                                                          (7)

Which may then be used as an initial estimate of p2 for use in fitting Model (5). Trial and error suggested that an initial estimate of 1.0 for p3 seemed to serve well.

The procedure NLIN of the SAS® statistical package1 was used here to fit the weighted least-squares nonlinear regressions for Models (6) and then (5) when the presence of a suppressed group of trees deemed it appropriate to do so. As long as convergence was successful, which was not always the case as discussed later, the package provided estimates of the parameters, a measure of the degree of bias in each estimate [85] as well as the weighted residual sum of squares of the weighted model.

4. RESULTS

4.1. Fit to the Data

For the 1,116 growth periods for which data were available here, use of the reduced linear version of Model (2), as described in the previous Section, suggested that a suppressed group of trees was present in 155 cases. Using Model (6), the full Model (2) was then fitted to these cases. Successful convergence was obtained in only 145 of these. Visual inspection of the data in each case suggested that in some cases, both with and without convergence, there was in fact little evidence of the presence of a suppressed group of trees.

An example of such an unsuccessful case is illustrated in Figure 3, for a young, unthinned regrowth plot growing over 4−7 years of age with a stocking density of 983 stems ha‑1. The successful fit to the data of Model (2), as shown by the solid line, suggested there was a sharp break in the fitted model at a stem basal area of 0.00332 m2; above that point, the slope of the fitted line was less than that of the line below that point. Visual inspection suggests that a simple straight-line (Model 3) fits the data well, as shown on Figure 3, and there is no sign of the presence of a suppressed group of trees. In such a case, it seemed that, by chance, the data had led to an inappropriate judgement as to which was the most appropriate model to use. After visual inspection of the 155 cases, it was concluded that only 88 of them had converged successfully and did indeed have a suppressed group. The example of Figure 1(b) is such a case. These results stress the need to visually inspect the outcome of model fitting for each growth period being considered.

Figure 3. Scatter plot (-) of tree basal area growth rates against tree basal area for the unthinned plantation plot number 58, between 4−7 years of age. The solid line (____) is the fit to the data of Model (2) for which q1 = 0.00105, q2 = 0.258, q3 = −0.0554 and q4 = 0.00332. The dashed line (- - -) is the fit to the data of Model (3) for which r1 = 1.089×10‑5 and r2 = 0.2708.

Model (1) was then fitted (using Model 5) for the 88 cases for which Model (2) had been fitted successfully and for which a suppressed group was found to be present. Successful convergence was achieved in 78 of those cases. The estimates of the degree of bias in the parameter estimates for both Models (6) and (5) suggested there was little bias (generally <1%) in the expected value parameters. Other parameters generally had bias <5%, although occasionally more. The implication was that it is difficult to discern a parameterisation for these models that will prove completely satisfactory for all data sets.
Where satisfactory convergence was reached in both, Models (1) and (2) fitted the data well and quite similarly. This is illustrated in Figure 4 which shows results for two measurements of Plot 8 (Figures 1 a,c show other measurements for that plot). The fit to the data of both models is shown in Figure 4 and it is clear how little difference there is between them. However, over the 78 cases for which both models were fitted satisfactorily, Model (2) tended to fit slightly better than Model (1) with a 4.4% smaller weighted residual sum of squares on average. Both gave similar estimates of the slope of the straight line defining growth of the non-suppressed group of trees (see Equations 1a and 2a), although on average the estimate from Model (2) was 4.8% smaller.

Figure 4. Scatter plots (-) of tree basal area growth rates against tree basal area for regrowth plot number 8 between 29-31 years of age (a) and 47-49 years of age (b). The dotted lines (·····) are the fit to the data of Model (1) and the solid lines (____) are the fit to the data of Model (2).

For the 1,028 growth periods in which no suppressed group could be identified, it appeared that a simple straight line (Model 3) fitted the data adequately; an example of that is illustrated in Figure 1(c). It was perhaps unsurprising that there were this many cases from amongst the total 1,116 cases available here. Many growth periods were measured at young ages and many plots had been thinned at one time or another before measurement, reducing the likelihood of a suppressed group of trees developing.

4.2. A Practical Application

This paper was concerned with the practicalities of finding and fitting appropriate models to predict individual tree basal area growth rates against tree basal area with data sets for growth periods over no more than a few years. In this section an attempt is made to describe the use that might be made of such models as part of the development of a more general growth modelling system for a species of interest.

The example uses information from regrowth forest plot number 8 in the data set. This plot was measured 19 times between 18 and 63 years of age. Intervals between measurements were as short as one year and as long as 12 years. Growth periods between measurements varied over the range 1−3 years. The plot was thinned from below at some time shortly before its first measurement, from a stocking density of about 1,500 stems ha‑1 to 651 stems ha‑1. Over the next seven growth periods, there was little evidence of the presence of a group of suppressed trees as the stand gradually increased its density following the thinning. Then, in growth periods from 28 years of age on, a suppressed group started to appear and some mortality started amongst smaller trees, so that the stocking density had declined to 619 stems ha‑1 by 47 years of age. At some time during an interval then of 10 years, during which measurements ceased, the stand was thinned again to leave a residual stocking density of 476 stems ha‑1. No group of suppressed trees was evident in the next growth period, but had reappeared in the last growth period before measurements ceased.

Data from four growth periods of this plot were used as examples in earlier discussion. The data in Figure 1(c) are from an early measurement before any suppressed group of trees had developed. A suppressed group had developed at the times of the three later measurement periods shown in Figures 1(a) and 4. The fits to the data of all of Models (1–3) are illustrated in those figures.

Appropriate models were fitted for each of the other 14 growth periods of this plot. For this example, results are shown that were obtained by fitting either Model (2) or Model (3), whichever was appropriate for the growth period concerned, depending on the presence or absence of a suppressed group of trees. Figure 5 shows a scatter plot of the estimates obtained for the slope of the relationship between growth rate and tree basal area for the non-suppressed trees against plot age at the start of each of the 18 growth periods. Indicated on the figure is which of Model (2) or (3) was used as deemed appropriate for the data set concerned. When Model (2) was used, that slope was determined as (q2+q3) (see Equation 2a) and as r2 when Model (3) was used.

These results suggest that tree growth rates of non-suppressed trees tended to decline as age increased. This is a phenomenon well known in studies of tree growth behaviour [e.g. [79, 86, 87]]. Of course, stand variables other than age (variables such as stand basal area, biomass or density) might well be used in addition to age as part of such studies. Results such as these might prove useful during studies of tree growth dynamics. In such studies, growth behaviour of suppressed trees is generally of lesser interest than that of non-suppressed trees. The use of Model (2) allows their growth rate to be estimated appropriately, as illustrated in Figure 5. Model (2) has the advantage over Model (1) of clearly delimiting the group of suppressed trees if it exists; this may aid development of mortality models, since it is amongst those trees that mortality generally occurs most frequently.

Figure 5. For 18 growth periods of regrowth plot number 8, a scatter plot against stand age at the start of a growth period of the slope of the relationship between tree basal area growth rate and tree basal area. Results for non-suppressed trees in the plot were determined using Models (2a) (O) or (3) as found appropriate for the growth period concerned. The solid line (____) appeared to model their trend satisfactorily; its equation was Slope=1.468Age‑0.984. Where a suppressed group was present, the slope of their relationship was determined using Model (2b) The dashed line (- - -) modelled their trend; its equation was Slope=0.02881−0.00047Age.

5. DISCUSSION AND CONCLUSIONS

In this work, we related tree stem basal area growth rate to stem basal area. Other work has often considered diameter growth rate in relation to diameter. However, stem diameters and basal areas are simply converted to each other. It seems that both may be used in growth studies, resulting in only minor differences in conclusions [West [34]; Shifley [88]; Lynch and Zhang [89]]. West and others [West and Smith [47]; West, et al. [55]] considered diameter growth rate in relation to diameter in stands of even-aged, monoculture eucalypt forest. They used a model similar in structure to the broken stick Model (2), but which included a quadratic term to allow a curvilinear relationship to be described. However, there seemed no evidence in the present work that anything other than linear terms were required (Figures 1, 4) when basal area growth rate was being used.

Other measures of tree size are often considered in studies of tree growth behaviour. Biomass of the whole tree or of its parts is used commonly, as is the volume of wood in tree stems, a variable of particular interest for forest management purposes. These tend to be measured less commonly than tree diameters, hence basal areas, in forestry data sets. In any case, stem basal area generally relates closely to tree biomass [[90], Chapter 7] and the ready availability of tree diameter measurements perhaps explains why they are used so often in studies of growth behaviour.

The emphasis in the present work was the development of models that could fit data from individual stands when a group of suppressed trees was present. Various functions have been used by other authors in attempting to relate growth rates of individual tree diameters, basal areas or, indeed, other growth variables to plant size in individual stands. As found here, a simple straight line (Model 3) may suffice when no group of suppressed individuals is present in a stand; this is often the case for young or less dense stands. In older or denser stands, curvilinear functions have been often used. These show the growth trend in, but do not delimit clearly, the group of suppressed trees when it is present. Such functions have included simple quadratic functions [West [8]; West [32]; [34]; West [41]; Hara [50]; Hara [51]; Hara [52]]. Zeide [36] listed a number of other functions that have been used widely; tests here of several of those suggested they often fitted the data as well as the curvilinear Model (1) used here, but they did not allow estimates of the slope of the straight line relationship between growth rate and size as does Model (1) (see Equation 1a).

Broken stick models that clearly delimit a suppressed group of trees from a non-suppressed group have been used in other examples [47, 55]. It is of interest that the curvilinear bent stick Model (1) used here is quite easily transformed to the broken stick model used by West and Borough [35]; to do so requires setting the parameter p3=1 and introducing an intercept term to the model. The resulting model defines a suppressed group of trees with a horizontal line relationship between growth rate and tree size: that was appropriate for West and Borough [35] who used data from an unthinned, plantation experiment of radiata pine (Pinus radiata D. Don) in which such a heavily suppressed group of trees was present consistently.

The general conclusion from the results and this discussion is that if a group of suppressed trees is present in a stand, both the bent and broken stick models (Models 1 and 2, respectively) may be used to fit the data well and determine satisfactorily the slope of the growth against size relationship for the non-suppressed trees. If an intercept term is added to the bent stick Model (1), its limitation that it passes through the origin can be removed; some simple tests with data here showed that including that intercept would render an even closer fit to that of the broken stick Model (2) shown in Figure 4. However, the bent stick model retains a curvilinear form as its fit to the data transitions from the non-suppressed to the suppressed group. Whilst this is perhaps more biologically realistic than the sharp break that occurs with the broken stick model, that sharp break provides a clear estimate of the tree size that separates the two groups, a variable that might be of interest in further model development. None of the other curvilinear functions referred to above [e.g. Zeide [37]] has a form that is sufficiently flexible to describe growth satisfactorily over the suppressed and non-suppressed groups; such functions become less and less capable of doing so as the suppressed group becomes more heavily suppressed and the slope of their part of the growth relationship approaches zero.

One difficulty that does arise with the use of the bent and broken stick models is that they are nonlinear in their parameters. To achieve satisfactory convergence of the least-squares algorithms available to fit nonlinear regression models, it may be necessary to reparameterise the models. That process can be quite complex, as was found for the models considered here. Even then, it was not found possible to obtain a satisfactory, successfully converged result for every data set that was used in the present work. These issues are discussed formally and in detail by Ratkowsky [74]; Ratkowsky [84], work that has informed approaches taken in the algorithms used to fit nonlinear regressions in statistical packages such as SAS.

The present work has considered growth behaviour only in even-aged monoculture forest. Growth rates are likely to be rather more difficult to deal with in the more complex, uneven-aged, multi-species forests. Both the different ages of trees and the different physiological characteristics, such as shade tolerance, of different species will inevitably affect how growth rates change with tree size [e.g. [15, 91-94]]. In such cases it is less likely that a suppressed group of trees will develop that is quite distinct from a non-suppressed group; trees with different physiological capabilities and at different successional stages may form rather less well defined groupings. Under those circumstances, one or other curvilinear function might be more appropriate to relate tree growth rates to tree sizes [e.g. [14, 16, 95, 96]]. For these more complex forests, it has sometimes been found that growth rate declines with increasing tree size instead of progressively increasing [e.g. [16, 97, 98]]. In these forests, bigger trees are often likely to be older trees; it is well known that tree growth rates decline with age (hence size), probably as a consequence of increasing respiratory costs incurred by larger trees West [79]. Ricker and Río [99] developed a function to describe tree relative diameter growth rates in relation to tree diameters that allowed several size groups of trees to be identified in a stand; this might present an option to deal with more groupings than just suppressed and non-suppressed groups.

The overall conclusion here is that the bent and broken stick models considered have considerable potential for use in relating individual tree growth rates to tree sizes in even-aged, monoculture forest stands when a group of smaller, suppressed trees is present in the stand. The broken stick model provides a clear estimate of the tree size in the stand below which that group occurs. If no suppressed group is present, a simple straight line model may suffice. These models provide parameter estimates that may then be related to other stand variables (e.g. Figure 5). This allows model development to continue to provide, ultimately, a growth model for individual trees that may be used widely across the forest population under consideration.

Funding: This study received no specific financial support.  

Competing Interests: The authors declare that they have no competing interests.

Authors’ Contributions: Both authors contributed equally to the conception and design of the study.

Acknowledgement: The data used here were kindly made available by the state forest services of Queensland and New South Wales.

REFERENCES

[1]          J. K. Vanclay, Modelling forest growth and yield. Wallingford UK: CAB International, 1994.

[2]          A. R. Weiskittel, D. W. Hann, J. A. Kershaw, and J. K. Vanclay, Forest growth and yield modelling. Oxford: Wiley-Blackwell, 2011.

[3]          H. E. Burkhart and M. Tome, Modeling forest trees and stands. Dordrecht: Springer Science+Business Media, 2012.

[4]          A. D. Sullivan and J. L. Clutter, "A simultaneous growth and yield model for loblolly pine," Forest Science, vol. 18, p. 76−86, 1972.

[5]          I. Ferguson and J. Leech, "Generalized least squares estimation of yield functions," Forest Science, vol. 24, pp. 27-42, 1978.

[6]          D. Alder, "A distance-independent tree model for exotic conifer plantations in East Africa," Forest Science, vol. 25, pp. 59-71, 1979.

[7]          R. L. Bailey, "Individual tree growth derived from diameter distribution models," Forest Science, vol. 26, pp. 626-632, 1980.

[8]          P. W. West, "Simulation of diameter growth and mortality in regrowth eucalypt forest of Southern Tasmania," Forest Science, vol. 27, pp. 603-616, 1981.

[9]          D. E. Hilt, "Individual-tree diameter growth model for managed, even-aged, upland oak stands," Res. Paper NE-533, Broomall, Pa., US Department of Agriculture Forest Service, Northeastern Forest Experiment Station1983.

[10]        V. C. Lessard, R. E. McRoberts, and M. R. Holdaway, "Diameter growth models using Minnesota forest inventory and analysis data," Forest Science, vol. 47, pp. 301-310, 2001.

[11]        D. C. Bragg, D. W. Roberts, and T. R. Crow, "A hierarchical approach for simulating northern forest dynamics," Ecological Modelling, vol. 173, pp. 31-94, 2004.Available at: https://doi.org/10.1016/j.ecolmodel.2003.08.017.

[12]        T. Masaki, S. Mori, T. Kajimoto, G. Hitsuma, S. Sawata, M. Mori, K. Osumi, S. Sakurai, and T. Seki, "Long-term growth analyses of Japanese cedar trees in a plantation: Neighborhood competition and persistence of initial growth deviations," Journal of Forest Research, vol. 11, pp. 217-225, 2006.Available at: https://doi.org/10.1007/s10310-005-0175-6.

[13]        O. M. Bollandsås and E. Naesset, "Weibull models for single-tree increment of Norway spruce, Scots pine, birch and other broadleaves in Norway," Scandinavian Journal of Forest Research, vol. 24, pp. 54-66, 2009.Available at: https://doi.org/10.1080/02827580802477875.

[14]        N. Rüger, U. Berger, S. P. Hubbell, G. Vieilledent, and R. Condit, "Growth strategies of tropical tree species: Disentangling light and size effects," PloS one, vol. 6, p. e25330, 2011.Available at: https://doi.org/10.1371/journal.pone.0025330.

[15]        X. Chi, Z. Tang, Z. Xie, Q. Guo, M. Zhang, J. Ge, G. Xiong, and J. Fang, "Effects of size, neighbors, and site condition on tree growth in a subtropical evergreen and deciduous broad-leaved mixed forest, China," Ecology and Evolution, vol. 5, pp. 5149-5161, 2012.

[16]        S. B. Acquah and P. L. Marshall, "Assessing differences in competitive effects among tree species in central British Columbia, Canada," Forests, vol. 11, pp. 1-21, 2020.Available at: https://doi.org/10.3390/f11020167.

[17]        P. W. West and D. A. Ratkowsky, "Simulation studies comparing fixed effect and mixed models in data sets with multiple measurements in individual sampling units," Journal of Statistical Computation and Simulation, vol. 92, pp. 81-100, 2022.Available at: https://doi.org/10.1080/00949655.2021.1931212.

[18]        H. Burkhart and R. Tennent, "Site index equations for radiata pine in New Zealand," New Zealand Journal of Forestry Science, vol. 7, pp. 408-416, 1977.

[19]        H. Burkhart and R. Tennent, "Site index equations for Douglas fir in Kaingaroa forest," New Zealand Journal of Forestry Science, vol. 7, pp. 417-419, 1977.

[20]        H. Schreuder, W. Hafley, and F. Bennett, "Yield prediction for unthinned natural slash pine stands," Forest Science, vol. 25, pp. 25-30, 1979.

[21]        A. Grassia and E. S. DeBoer, "Some methods of growth curve fitting," Mathematical Scientist, vol. 5, p. 91−103, 1980.

[22]        G. L. Somers, R. G. Oderwald, W. R. Harms, and O. G. Langdon, "Predicting mortality with a Weibull distribution," Forest Science, vol. 26, pp. 291-300, 1980.

[23]        P. W. West, "Functions to estimate tree height and bark thickness of Tasmanian regrowth eucalypts," Australian Forest Research (Australia), vol. 12, p. 183−190, 1982.

[24]        J. L. Clutter, W. R. Harms, G. H. Brister, and J. W. Reney, "Stand structure and yields of site-prepared loblolly pine plantations in the lower coastal plains of the Carolinas, Georgia, and North Florida," Gen. Tech. Rep. SE-27, Asheville NC, US Department of Agriculture Forest Service, Southeastern Forest Experiment Station1984.

[25]        Q. V. Cao, "A method to distribute mortality in diameter distribution models," Forest Science, vol. 43, pp. 435-442, 1997.

[26]        Q. V. Cao, "A method to derive a tree survival model from any existing stand survival model," Canadian Journal of Forest Research, vol. 49, pp. 1598-1603, 2019.Available at: https://doi.org/10.1139/cjfr-2019-0171.

[27]        P. Newton, Y. Lei, and S. Zhang, "Stand-level diameter distribution yield model for black spruce plantations," Forest Ecology and Management, vol. 209, pp. 181-192, 2005.Available at: https://doi.org/10.1016/j.foreco.2005.01.020.

[28]        D. Zhao, B. Borders, M. Wang, and M. Kane, "Modeling mortality of second-rotation loblolly pine plantations in the Piedmont/Upper Coastal Plain and Lower Coastal Plain of the Southern United States," Forest Ecology and Management, vol. 252, pp. 132-143, 2007.Available at: https://doi.org/10.1016/j.foreco.2007.06.030.

[29]        R. Thapa and H. E. Burkhart, "Modeling stand-level mortality of loblolly pine (Pinus taeda L.) using stand, climate, and soil variables," Forest Science, vol. 61, pp. 834-846, 2015.Available at: https://doi.org/10.5849/forsci.14-125.

[30]        P. W. West, D. A. Ratkowsky, and A. W. Davis, "Problems of hypothesis testing of regressions with multiple measurements from individual sampling units," Forest Ecology and Management, vol. 7, pp. 207-224, 1984.Available at: https://doi.org/10.1016/0378-1127(84)90068-9.

[31]        P. W. West, A. W. Davis, and D. A. Ratkowsky, "Approaches to regression analysis with multiple measurements from individual sampling units," Journal of Statistical Computation and Simulation, vol. 26, pp. 149-175, 1986.

[32]        P. W. West, "Application of regression analysis to inventory data with measurements on successive occasions," Forest Ecology and Management, vol. 71, pp. 227-234, 1995.Available at: https://doi.org/10.1016/0378-1127(94)06103-p.

[33]        D. Aikman and A. Watkinson, "A model for growth and self-thinning in even-aged monocultures of plants," Annals of Botany, vol. 45, pp. 419-427, 1980.Available at: https://doi.org/10.1093/oxfordjournals.aob.a085840.

[34]        P. W. West, "Use of diameter increment and basal area increment in tree growth studies," Canadian Journal of Forest Research, vol. 10, pp. 71-77, 1980.Available at: https://doi.org/10.1139/x80-012.

[35]        P. W. West and C. J. Borough, "Tree suppression and the self-thinning rule in a monoculture of Pinus radiata D. Don," Annals of Botany, vol. 52, pp. 149-158, 1983.Available at: https://doi.org/10.1093/oxfordjournals.aob.a086560.

[36]        B. Zeide, "Accuracy of equations describing diameter growth," Canadian Journal of Forest Research, vol. 19, pp. 1283-1286, 1989.Available at: https://doi.org/10.1139/x89-195.

[37]        B. Zeide, "Analysis of growth equations," Forest Science, vol. 39, pp. 594-616, 1993.

[38]        M. Yokozawa and T. Hara, "Global versus local coupling models and theoretical stability analysis of size-structure dynamics in plant populations," Ecological Modelling, vol. 118, pp. 61-72, 1999.Available at: https://doi.org/10.1016/s0304-3800(99)00049-6.

[39]        V.-P. Ikonen, S. Kellomäki, H. Väisänen, and H. Peltola, "Modelling the distribution of diameter growth along the stem in Scots pine," Trees, vol. 20, pp. 391-402, 2006.Available at: https://doi.org/10.1007/s00468-006-0053-7.

[40]        T. Nord-Larsen, C. Damgaard, and J. Weiner, "Quantifying size-asymmetric growth among individual beech trees," Canadian Journal of Forest Research, vol. 36, pp. 418-425, 2006.Available at: https://doi.org/10.1139/x05-255.

[41]        P. W. West, "Comparative growth rates of several eucalypts in mixed-species stands in Southern Tasmania," New Zealand Journal of Forest Science, vol. 11, pp. 45-52, 1981.

[42]        P. W. West and G. H. R. Osier, "Growth response to thinning and its relation to site resources in Eucalyptus regnans," Canadian Journal of Forest Research, vol. 25, pp. 69-80, 1995.Available at: https://doi.org/10.1139/x95-009.

[43]        C. Deleuze, O. Pain, J.-F. Dhôte, and J.-C. Hervé, "A flexible radial increment model for individual trees in pure even-aged stands," Annals of Forest Science, vol. 61, pp. 327-335, 2004.Available at: https://doi.org/10.1051/forest:2004026.

[44]        C. A. Carlson, H. E. Burkhart, H. L. Allen, and T. R. Fox, "Absolute and relative changes in tree growth rates and changes to the stand diameter distribution of Pinus taeda as a result of midrotation fertilizer applications," Canadian Journal of Forest Research, vol. 38, pp. 2063-2071, 2008.Available at: https://doi.org/10.1139/x08-050.

[45]        A. Hevia, J. G. Álvarez-González, and J. Majada, "Comparison of pruning effects on tree growth, productivity and dominance of two major timber conifer species," Forest Ecology and Management, vol. 374, pp. 82-92, 2016.Available at: https://doi.org/10.1016/j.foreco.2016.05.001.

[46]        S. O'Rourke, M. Mac Siúrtáin, and G. Kelly, "Characterizing dependence of Irish Sitka spruce stands using spatio-temporal sum-metric models," Forest Science, vol. 62, pp. 490-502, 2016.Available at: https://doi.org/10.5849/forsci.15-083.

[47]        P. W. West and R. G. B. Smith, "Inter-tree competitive processes during early growth of an experimental plantation of Eucalyptus pilularis in sub-tropical Australia," Forest Ecology and Management, vol. 451, p. 117450, 2019.Available at: https://doi.org/10.1016/j.foreco.2019.117450.

[48]        K. Fukumoto, T. Nishizono, F. Kitahara, and K. Hosoda, "Evaluation of individual distance-independent diameter growth models for Japanese cedar (Cryptomeria japonica) trees under multiple thinning treatment," Forests, vol. 11, pp. 1-13, 2020.Available at: https://doi.org/10.3390/f11030344.

[49]        J. L. Stape, C. Silva, and D. Binkley, "Spacing and geometric layout effects on the productivity of clonal Eucalyptus plantations," Trees, Forests and People, vol. 8, p. 100235, 2022.Available at: https://doi.org/10.1016/j.tfp.2022.100235.

[50]        T. Hara, "A stochastic model and the moment dynamics of the growth and size distribution in plant populations," Journal of Theoretical Biology, vol. 109, pp. 173-190, 1984.Available at: https://doi.org/10.1016/s0022-5193(84)80002-8.

[51]        T. Hara, "Dynamics of stand structure in plant monocultures," Journal of theoretical Biology, vol. 110, pp. 223-239, 1984.Available at: https://doi.org/10.1016/s0022-5193(84)80055-7.

[52]        T. Hara, "Effects of density and extinction coefficient on size variability in plant populations," Annals of Botany, vol. 57, pp. 885-892, 1986.Available at: https://doi.org/10.1093/oxfordjournals.aob.a087173.

[53]        T. Hara, "Effects of the mode of competition on stationary size distribution in plant populations," Annals of Botany, vol. 69, pp. 509-513, 1992.Available at: https://doi.org/10.1093/oxfordjournals.aob.a088380.

[54]        T. Hara, M. Kimura, and K. Kikuzawa, "Growth patterns of tree height and stem diameter in populations of Abies veitchii, A. mariesii and Betula ermanii," The Journal of Ecology, vol. 79, pp. 1085-1098, 1991.Available at: https://doi.org/10.2307/2261100.

[55]        P. W. West, D. R. Jackett, and C. J. Borough, "Competitive processes in a monoculture of Pinus radiata D. Don," Oecologia, vol. 81, pp. 57–62, 1989.

[56]        D. Binkley, O. C. Campoe, M. Gspaltl, and D. I. Forrester, "Light absorption and use efficiency in forests: Why patterns differ for trees and stands," Forest Ecology and Management, vol. 288, pp. 5-13, 2013.Available at: https://doi.org/10.1016/j.foreco.2011.11.002.

[57]        A. O'Grady, A. Eyles, D. Worledge, and M. Battaglia, "Seasonal patterns of foliage respiration in dominant and suppressed Eucalyptus globulus canopies," Tree Physiology, vol. 30, pp. 957-968, 2010.Available at: https://doi.org/10.1093/treephys/tpq057.

[58]        M. E. Fernández, E. F. Tschieder, F. Letourneau, and J. E. Gyenge, "Why do Pinus species have different growth dominance patterns than Eucalyptus species? A hypothesis based on differential physiological plasticity," Forest Ecology and Management, vol. 261, pp. 1061-1068, 2011.Available at: https://doi.org/10.1016/j.foreco.2010.12.028.

[59]        E. F. Tschieder, M. E. Fernández, T. M. Schlichter, M. A. Pinazo, and E. H. Crechi, "Influence of growth dominance and individual tree growth efficiency on Pinus taeda stand growth. A contribution to the debate about why stands productivity declines," Forest Ecology and Management, vol. 277, pp. 116-123, 2012.Available at: https://doi.org/10.1016/j.foreco.2012.04.025.

[60]        O. C. Campoe, J. L. Stape, Y. Nouvellon, J.-P. Laclau, W. L. Bauerle, D. Binkley, and G. Le Maire, "Stem production, light absorption and light use efficiency between dominant and non-dominant trees of Eucalyptus grandis across a productivity gradient in Brazil," Forest Ecology and Management, vol. 288, pp. 14-20, 2013.Available at: https://doi.org/10.1016/j.foreco.2012.07.035.

[61]        M. Gspaltl, W. Bauerle, D. Binkley, and H. Sterba, "Leaf area and light use efficiency patterns of Norway spruce under different thinning regimes and age classes," Forest Ecology and Management, vol. 288, pp. 49-59, 2013.Available at: https://doi.org/10.1016/j.foreco.2011.11.044.

[62]        S. A. Ex and F. W. Smith, "Wood production efficiency and growth dominance in multiaged and even-aged ponderosa pine stands," Forest Science, vol. 60, pp. 149-156, 2014.Available at: https://doi.org/10.5849/forsci.12-010.

[63]        J. Gyenge and M. E. Fernández, "Patterns of resource use efficiency in relation to intra-specific competition, size of the trees and resource availability in ponderosa pine," Forest Ecology and Management, vol. 312, pp. 231-238, 2014.Available at: https://doi.org/10.1016/j.foreco.2013.09.052.

[64]        P. W. West, "Use of the Lorenz curve to measure size inequality and growth dominance in forest populations," Australian Forestry, vol. 81, pp. 231-238, 2018.Available at: https://doi.org/10.1080/00049158.2018.1514578.

[65]        D. A. Perry, The competition process in forest stands. In M.G.R.Cannell, and J.E. Jackson. (eds.). Trees as Crop Plants. Abbots Ripton, Huntingdonshire, England: Institute of Terrestrial Ecology, 1985.

[66]        L. Wichmann, "Annual variations in competition symmetry in even-aged Sitka spruce," Annals of Botany, vol. 88, pp. 145-151, 2001.Available at: https://doi.org/10.1006/anbo.2001.1445.

[67]        K. Glencross, P. West, and J. D. Nichols, "Species shade tolerance affects tree basal area growth behaviour in two eucalypt species in thinned and unthinned even-aged monoculture," Australian Forestry, vol. 79, pp. 157-167, 2016.Available at: https://doi.org/10.1080/00049158.2016.1160354.

[68]        P. W. West, K. Glencross, and J. D. Nichols, "Modelling growth behaviour in monoculture in subtropical eastern Australia of two eucalypt species that differ in shade tolerance," Southern Forests: A Journal of Forest Science, vol. 78, pp. 283-287, 2016.Available at: https://doi.org/10.2989/20702620.2016.1207133.

[69]        P. W. West and D. A. Ratkowsky, "Problems with models assessing influences of tree size and inter-tree competitive processes on individual tree growth: A cautionary tale," Journal of Forestry Research, vol. 33, pp. 565-577, 2022.Available at: https://doi.org/10.1007/s11676-021-01395-9.

[70]        P. W. West, Growing plantation forests, 2nd ed. Switzerland: Springer International Publishing, 2014.

[71]        D. W. Bacon and D. G. Watts, "Estimating the transition between two intersecting straight lines," Biometrika, vol. 58, pp. 525-534, 1971.Available at: https://doi.org/10.1093/biomet/58.3.525.

[72]        D. Griffiths and A. Miller, "Hyperbolic regression-a model based on two-phase piecewise linear regression with a smooth transition between regimes," Communications in Statistics-Theory and Methods, vol. 2, pp. 561-569, 1973.Available at: https://doi.org/10.1080/03610927308827098.

[73]        D. G. Watts and D. W. Bacon, "Using an hyperbola as a transition model to fit two-regime straight-line data," Technometrics, vol. 16, pp. 369-373, 1974.Available at: https://doi.org/10.1080/00401706.1974.10489205.

[74]        D. A. Ratkowsky, Nonlinear regression modeling. New York: Marcel Dekker, 1983.

[75]        J. F. Dhôte, "Modeling the growth of regular beech stands: Dynamics of social hierarchies and factors of production," Annals of Forest Science, vol. 48, pp. 389–416, 1991.

[76]        J. P. Mattay and P. W. West, "A collection of growth and yield data from eight eucalypt species growing in even-aged monoculture forest," User Series No 18, Canberra, CSIRO Division of Forestry, CSIRO1994.

[77]        P. W. West and R. G. B. Smith, "Effects of tree spacing on branch-size development during early growth of an experimental plantation of Eucalyptus pilularis in subtropical Australia," Australian Forestry, vol. 83, pp. 39-45, 2020.Available at: https://doi.org/10.1080/00049158.2020.1715016.

[78]        P. W. West, D. A. Ratkowsky, and R. G. B. Smith, "Factors controlling individual branch development during early growth of an experimental plantation of Eucalyptus pilularis in sub-tropical Australia," Trees, vol. 35, pp. 395-405, 2021.Available at: https://doi.org/10.1007/s00468-020-02040-4.

[79]        P. W. West, "Modelling maximum stem basal area growth rates of individual trees of Eucalyptus pilularis Smith," Forest Science, vol. 67, pp. 633-636, 2021.Available at: https://doi.org/10.1093/forsci/fxab047.

[80]        D. Sheil, "A critique of permanent plot methods and analysis with examples from Budongo Forest, Uganda," Forest Ecology and Management, vol. 77, pp. 11-34, 1995.Available at: https://doi.org/10.1016/0378-1127(95)03583-v.

[81]        T. Baker, K. Affum-Baffoe, D. F. R. P. Burslem, and M. D. Swaine, "Phenological differences in tree water use and the timing of tropical forest inventories: Conclusions from patterns of dry season diameter change," Forest Ecology and Management, vol. 171, pp. 261-274, 2002.Available at: https://doi.org/10.1016/s0378-1127(01)00787-3.

[82]        R. Chitra-Tarak, L. Ruiz, S. Pulla, H. Dattaraja, H. Suresh, and R. Sukumar, "And yet it shrinks: A novel method for correcting bias in forest tree growth estimates caused by water-induced fluctuations," Forest Ecology and Management, vol. 336, pp. 129-136, 2015.Available at: https://doi.org/10.1016/j.foreco.2014.10.007.

[83]        N. R. Draper and H. Smith, Applied regression analysis, 2nd ed. New York: Wiley, 1981.

[84]        D. A. Ratkowsky, Handbook of nonlinear regression models. New York: Marcel Dekker, 1990.

[85]        M. Box, "Bias in nonlinear estimation," Journal of the Royal Statistical Society: Series B (Methodological), vol. 33, pp. 171-190, 1971.

[86]        M. Ryan, D. Binkley, and J. H. Fownes, "Age-related decline in forest productivity: Pattern and process," Advances in Ecological Research, vol. 27, pp. 213-262, 1997.Available at: https://doi.org/10.1016/s0065-2504(08)60009-4.

[87]        P. W. West, "Do increasing respiratory costs explain the decline with age of forest growth rate?," Journal of Forestry Research, vol. 31, pp. 693-712, 2020.Available at: https://doi.org/10.1007/s11676-019-01020-w.

[88]        S. R. Shifley, "A generalized system of models forecasting central states tree growth," Research Paper NC-279, St. Paul, Minnesota, US Department of Agriculture Forest Service, North Central Forest Experiment Station1987.

[89]        T. B. Lynch and D. Zhang, "On relative maxima of diameter growth, basal area growth, volume growth, and mean annual increment for individual trees," Forest Science, vol. 57, pp. 353-358, 2011.

[90]        P. W. West, Tree and forest measurement, 3rd ed. Switzerland: Springer International Publishing, 2015.

[91]        D. I. Forrester, C. Ammer, P. J. Annighöfer, I. Barbeito, K. Bielak, A. Bravo-Oviedo, L. Coll, M. del Río, L. Drössler, and M. Heym, "Effects of crown architecture and stand structure on light absorption in mixed and monospecific Fagus sylvatica and Pinus sylvestris forests along a productivity and climate gradient through Europe," Journal of Ecology, vol. 106, pp. 746-760, 2018.Available at: https://doi.org/10.1111/1365-2745.12803.

[92]        M. Del Río, H. Pretzsch, I. Alberdi, K. Bielak, F. Bravo, A. Brunner, S. Condés, M. J. Ducey, T. Fonseca, and N. von Lüpke, "Characterization of the structure, dynamics, and productivity of mixed-species stands: review and perspectives," European Journal of Forest Research, vol. 135, pp. 23-49, 2016.

[93]        E. F. Gray, I. J. Wright, D. S. Falstera, A. S. Eller, C. E. Lehmann, M. G. Bradford, and L. A. Cernusak, "Leaf: Wood allometry and functional traits together explain substantial growth rate variation in rainforest trees," AoB PLANTS, vol. 11, p. plz024, 2019.

[94]        F. J. Bongers, "Functional-structural plant models to boost understanding of complementarity in light capture and use in mixed-species forests," Basic and Applied Ecology, vol. 55, p. 64−73, 2021.

[95]        Y. Yang, S. Huang, S. X. Meng, G. Trincado, and C. L. VanderSchaaf, "A multilevel individual tree basal area increment model for aspen in boreal mixedwood stands," Canadian Journal of Forest Research, vol. 39, pp. 2203-2214, 2009.Available at: https://doi.org/10.1139/x09-123.

[96]        M. I. Ishihara, Y. Konno, K. Umeki, Y. Ohno, and K. Kikuzawa, "A new model for size-dependent tree growth in forests," PloS One, vol. 11, p. e0152219, 2016.Available at: https://doi.org/10.1139/x09-123.

[97]        D. Sánchez-Gómez, M. A. Zavala, D. B. Van Schalkwijk, I. R. Urbieta, and F. Valladares, "Rank reversals in tree growth along tree size, competition and climatic gradients for four forest canopy dominant species in Central Spain," Annals of Forest Science, vol. 65, p. 605, 2008.Available at: https://doi.org/10.1051/forest:2008040.

[98]        C. Kuehne, M. Russell, A. Weiskittel, and J. Kershaw Jr, "Comparing strategies for representing individual-tree secondary growth in mixed-species stands in the Acadian Forest region," Forest Ecology and Management, vol. 459, p. 117823, 2020.Available at: https://doi.org/10.1016/j.foreco.2019.117823.

[99]        M. Ricker and R. D. Río, "Projecting diameter growth in tropical trees: A new modeling approach," Forest Science, vol. 50, pp. 213-224, 2004.

Views and opinions expressed in this article are the views and opinions of the author(s), Journal of Forests shall not be responsible or answerable for any loss, damage or liability etc. caused in relation to/arising out of the use of the content.


Footnote:

1. Documentation for the SAS statistical package is available at https://support.sas.com/en/documentation.html (accessed May 2022).