Index

Abstract

Many people go for edible insects in sub-saharan Africa in order combat hunger and to satisfy appetite. Though, generally known as good source of proteins; if insects contain antinutrients in disproportionate levels, they can pose health risk to humans. This study therefore analysed the nutritional and antinutritional components of some insects commonly consumed around Wukari, Nigeria: Shea caterpillar – Cirina butyrospermi Vuillet (Lepidoptera: Saturniidae), Termite – Macrotermes bellicosus Smeathman (Isoptera: Termitidae), Cricket – Gryllus bimaculatus De Geer (Orthoptera: Gryllidae) and Grasshopper - Zonocerus variegatus (Orthoptera: Pyrgomorphidae) vis-à-vis African catfish – Clarias gariepinus Burchel (Siluriformes: Clariidae) which served as control. Proximate, mineral and the antinutrient component were analysed using standard procedures. Results revealed that grasshoppers had more moisture, fat and carbohydrate content than catfish. Also, cricket had an appreciable amount of protein, ash, and fibre content. However, the highest protein content was found in cricket, while grasshoppers contained the least protein. The mineral content analysis revealed that cricket had the highest calcium, magnesium, potassium, sodium and zinc content which differed significantly from catfish. The antinutrient analysis revealed that the least amount of tannins was in grasshoppers and phytates, in crickets. The amounts of antinutrients found in the insect samples are largely comparable to that in catfish. The insects assayed are healthy for human consumption and could serve as nutritional supplements. These findings revealed that the assayed insects contain high nutritional components which can substitute catfish in diets in the communities around the study area, and perhaps, beyond.

Keywords: Antinutritional, Cricket, Entomophagy, Grasshopper, Nutritional, Shea caterpillar, Termite.

Received: 28 November 2022 / Revised: 14 January 2023 / Accepted: 26 January 2023 / Published: 13 February 2023

Contribution/ Originality

The study evaluated the nutritional and antinutritional factors of four major edible insects in the study area vis-à-vis African catfish (C. gariepinus). Of the insects assayed, G. bimaculatus in particular, is largely comparable to catfish and can thus serve as substitute.

1. INTRODUCTION

Insect consumption (entomophagy) is an integral part of human existence [1, 2]. Evidence from fossil records reveals that various insects such as cicadas, larvae of beetles, locusts and grasshoppers were part of the diets of early humans [2]. About 2.5 million people consume insects today, while over 2000 species of edible insects are found worldwide [2]. In early Europe, various insects were consumed and sold in public markets [3]. Also, in the 19th century, aboriginals in USA and Canada, consumed crickets, beetles, ants, bees and caterpillars and in China, entomophagy dates back to over two millenniums [4] with 324 species in 11 orders documented as being utilised as food, feed or medicine [5]. In Africa, insects are a part of the culture and are regarded as a substantial part of many diets [2, 6]. About 470 edible insect species are found in Africa. These insects are distributed in eight orders namely; Blattodea, Coleoptera, Diptera, Hemiptera, Hymenoptera, Lepidoptera, Odonata and Orthoptera [3]. In Nigeria, entomophagy is a common cultural practice [5, 6]. In the Southeastern part of Nigeria, 17 insect species distributed in six orders are reported to be commonly consumed [7]. Also, of the 20 species of insects consumed in the South-south geopolitical zone of Nigeria, Macrotermes sp. and Rhynchophorus phoenicus are most preferred by inhabitants [8]. In Kwara, a north-central state, seven species of insects are consumed but Shea caterpillar, Termites and African palm weevil are widely accepted and sold in markets [9]. An inventory of edible insects in the North-central states of Nigeria revealed that Crickets, Termites, Palm weevils, Yam beetles, Caterpillars, Silkworms and Locusts are utilised as food [10]. Most insects consumed are harvested in the wild and their abundance varies according to the season of the year. Also, different stages of insects such as eggs, nymphs, larva, grubs and adults are consumed in Nigeria.

African catfish (Clarias gariepinus Burchel) is an important foodstuff in many delicacies in developing countries like Nigeria. It is easily digestible and considered as a healthy and cheap source of protein. It has advantage over other animal proteins because of its high palatability, tender flesh and low cholesterol [11]. It is estimated that catfish supplies 38.2% of animal protein in Nigeria [12]. Studies on the proximate composition of catfish show an appreciable amount of essential amino acids, polyunsaturated fats and minerals [13]  which enhances human health.

Recently, there has been renewed interest in using insects as a source of dietary nutrient requirements [14]. The vast possibilities of incorporating insects into the human diet have become more apparent due to the rising food insecurity in developing countries. According to the Food and Agriculture Organization of the United Nations (FAO) and the World Food Program (WFP), about 193 million people in over 50 countries are currently experiencing food insecurity [15].

Also, millions of people across Africa, Asia and the Americas are affected by the rising food prices, partly due to the post-pandemic  inflation rates experienced globally [16]. More so, there are reports on health problems associated with consuming animal protein, such as red meat. Furthermore, the environmental sustainability of food production practices is a growing concern to environmentalists. For these reasons, there is a need to incorporate alternative food sources in daily meals that will provide the necessary nutrients while preserving natural habitats and biodiversity.

Insects are considered suitable food alternatives to help curb food insecurity. Insects possess high essential amino acid contents and are rich in fibre and minerals [14, 17]. Also, commercial production of insects has economic advantages as large numbers can be produced quickly, and the insect production systems pose little or no adverse effect on the environment. Furthermore, insects are not only rich in protein, but their protein content can be healthy alternative to red meat protein. For example, the crude protein content of Lepidopterans and Orthopterans were 61% and 75%, respectively [3, 18]. In a comparative study of the nutritional contents of Beef, Chicken, Salmon and Pork with the nutrients found in Crickets and Yellow mealworms, the protein content in the insects ranged between 20-21%, whereas it ranged between 21-22 % in the animals analysed [3].  

However, there are risk factors associated with insect consumption that question the safety of insects for human consumption [17]. One risk factor is the presence of antinutrients. Plants commonly contain phytochemicals such as tannins and phytates and insects retain these antinutrients in their bodies after feeding [19]. These anti-nutritional factors inhibit the bioavailability of essential nutrients thereby disrupting metabolic processes in humans [20]. Also, allergic reactions associated with the presence of antinutrients in insects have been reported [21]. Given the risks associated when insects are consumed, this research seeks to evaluate the nutrients and antinutrients composition in Shea caterpillar, Termites, Crickets and Grasshoppers vis-à-vis catfish collected around Wukari, Taraba State, Nigeria.

2. MATERIALS AND METHODS

2.1. Test Sample Collection

Shea caterpillars (C. butyrospermi), Grasshoppers (Z. variegatus) and Crickets (G. bimaculatus) were purchased from farmers within few hours of collection from the wild in some communities around Wukari, Nigeria while Winged termites (Macrotermes bellicosus) were collected in the Federal University Wukari premises (7°50'41"N 9°45'56"E), using light traps placed over a bowl of water. Catfish was purchased in the fish market in Wukari, Taraba State. The catfish, grasshoppers, crickets and shea caterpillars were carefully degutted while the wings of the termites were removed. All test samples were thoroughly washed and dried in an oven at 65oC. Five hundred grams of each of the dried insect sample was ground to powder using a ceramic mortar and pestle and stored in air tight containers for the nutritional and antinutritional analyses. All analyses were conducted in Kappa Biotechnology Laboratories, Ibadan, Nigeria.

2.2. Digestion of Samples

Test samples were digested according to the method of the AOAC [22] as reported in Idowu, et al. [23]. First, 0.2 g of a powdered sample was measured, and 0.04 g CuSO4 catalyst, 1.1 g Na2SO4 tablet and 10 ml concentrated H2SO4 added to the powdered sample. The mixture was then heated on a burner until the colour of the digest became clear with a light blue-green colour. Finally, the solution was allowed to cool, poured into a volumetric flask and made up to 100 ml with distilled water.

2.3. Chemical Analyses

Proximate content (moisture, dry matter, fat, ash, crude fibre, crude protein and carbohydrate content) was analysed according to standard Association of Official Analytical Chemists (A.O.A.C.) methods, minerals (Ca, Mn, Mg, Fe, Cu, K, Zn and Na) were determined from digested samples using an Atomic Absorption Spectrophotometer, while the antinutrient component (tannins and phytates) was analysed using Joslyn [24]  method. The procedures are detailed below.

2.3.1. Moisture Content

The gravimetric method described by the AOAC [22]  was used to determine the moisture content. A moisture can was weighed and 5.0g of the powdered samples were added. The sample in the can was dried in the oven at 105°C for 3 h. Samples were cooled in a desiccator and then weighed. The cooled sample was then returned to the oven for further drying. Drying, cooling and weighing were done repeatedly at hourly intervals until there were no further diminutions in the weight (that is, constant weight was obtained). The amount of moisture lost was calculated and expressed as a percentage of the weight of sample analyzed. It was given by the expression below:

Where:          
W1 = Weight of empty moisture can.
W2 = Weight of empty can + Sample before drying.
W3 = Weight of empty can + Sample dried to constant weight.

2.3.2. Protein Content

To 10 ml of digested sample, 5 ml of 30% NaOH in a distillation flask was added. The mixture was distilled into 10 ml of 20% boric acid to collect the ammonia. The ammonia released turned the boric acid from red to a colourless liquid until about 50 ml was collected into a beaker. The boric acid was back titrated with 0.05M H2SO4. The titre value was recorded, and the protein was calculated from the percentage of nitrogen using the model below.          

Where: 
Vs = Volume of acid required to titrate sample.
Vb = Volume of acid required to titrate the blank.
Nacid = normality of acid 0.01 N.

The crude protein content was determined by multiplying the percentage nitrogen by a constant factor of 6.25, i.e.: % Crude Protein = % Nitrogen × 6.25.

2.3.3. Fat Content

To determine the fat content, 2 g of powdered sample was weighed into a beaker already containing normal hexane solution and placed in an extraction chamber for 4-6 h. The defatted sample was dried at 105 °C for 20 min. The samples were removed, placed in the desiccators for 30 mins to cool and reweighed. Fat content was calculated with the formular below.

2.3.4. Ash Content

A sample (5 g) in an ashing dish was placed in a muffle furnace at a temperature of 600 °C for 6h to incinerate until a light grey ash was obtained. It was then cooled in desiccators and weighed. Ash content was calculated as:

2.3.5. Crude Fibre Content

The sample was defatted with hexane in a soxhlet refluxing apparatus. One hundred ml of tricholoroacetic acid (TCA) reagent was added to 1 g of the defatted sample. The mixture was allowed to boil and refluxed for 40 min. The digest was filtered and the residue washed 6 times with hot distilled water. The filter paper with residue was transferred into a porcelain crucible which was dried in the oven at 100 °C overnight and then cooled and weighed. It was then ashed in a muffle furnace at 600 °C for 6 h, cooled and weighed again. Loss in weight during incineration is equivalent to the fibre content. This was calculated using the model below.

2.3.6. Carbohydrate Content

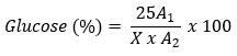
Forty five mililiter of each of the sample extracts was diluted to 450 ml with distilled water. One milliliter of each of the diluted filtrate was pipetted into different test tubes while 1 ml of water was pipetted into a test tube as a blank and 1 ml of glucose into a test tube as a standard. To each of the test tubes, 5 ml of freshly prepared 0.10% Anthrone reagent was added, closed and mixed thoroughly by gently shaking. Each tube was labelled and placed in a test tube rack, and both the test tubes and the rack were placed in water bath (30°C) for 12 min, removed and cooled to roots temperature. The absorbance of the samples and standard were read from a spectrophotometer at 630 nm against the blank. The green colour which shows the presence of glucose was stable for about 2 h. Total available carbohydrate as percentage glucose is calculated as shown below.

Where:                
X = Weight of sample (g).
A1 = Absorbance of diluted sample.
A2 = Absorbance of diluted standard.

2.3.7. Mineral Analyses

Mineral elements (Ca, Mn, Mg, Fe, Cu, K, Zn and Na) were determined from digested samples using an Atomic Absorption Spectrophotometer (AAS Buck 210Variable Giant Pulse[VGP] System). Concentrations of Na and K were determined using Corning 410 Flame Photometer [25]. The machines were first calibrated using the machine standards for each of the mineral elements. After the calibration for each of the mineral elements, the digested samples were individually passed through the machines for the calibrated element. Levels of each of the elements were displayed on the monitor screen of the machines and were printed at the end of the elemental readings.

2.3.8. Antinutritional Content Analysis

Tannin: Tannin content was determined using the method described by Joslyn [24]. A total of 0.5 g of ground sample was defatted with 5% ethyl for 15 min. The tannin in the defatted sample was then extracted with methanol and the absorbance at 760 nm was measured. Percentage tannin was calculated using the formula:

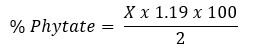
Phytate: Phytic acid content was however measured according to the method of Wheeler and Ferrel [26] using 2 g of the dried sample. Two grams of each sample was weighed into a 250 ml conical flask, and 100 ml of 2% concentrated hydrochloric acid (HCl) was used to soak each sample in the conical flask for 3 h. The mixture was then filtered through a double layer of hardened filter paper. Fifty mililitre of each filtrate was placed in a 250 ml beaker and 107 ml of distilled water was added. Ten mililitre of 0.3% Ammonium thiocyanate solution was added into each solution as indicator. This was titrated with standard FeCl3 solution containing 0.00195 g iron per ml. The end product was slightly brownish yellow in color, and this persisted for 5 min. Percentage phytate was calculated using the formula:

Where, X = Titre value × 0.00195.

2.4. Statistical Analysis

All data obtained were analysed using the Statistical Package for Social Sciences (SPSS) version 25.0. Data were presented as mean ± standard error of mean (SEM). Analysis of Variance (ANOVA) was conducted to determine significant difference in the proximate, minerals and anti-nutritional compositions between the insect species and catfish. Post hoc test was done using Tukey’s HSD (honestly significant difference) test. All statistical analyses were considered significant when the P value was less than 0.05 (p < 0.05).

3. RESULTS

The result of the proximate composition Table 1 reveals that the highest amount of moisture content was found in Grasshopper (Z. Variegatus) which differed significantly (p < 0.05) from the moisture content of Catfish (C. gariepinus) which served as control, Shea caterpillar (C. butyrospermi), Termite (M. bellicosus) and Cricket (B. bimaculatus). However, C. gariepinus had similar moisture content with B. bimaculatus, M. bellicosus and C. butyrospermi. Also, there was a significantly higher fat content in Z. variegatus when compared with C. gariepinus. Conversely, there was no significant difference (p > 0.05) in the amount of fat present in catfish, shea caterpillar termite and cricket. Furthermore, the protein content of all test samples differed significantly (p < 0.05) and cricket had a significantly higher amount of protein than all other insects and control. The ash content of grasshopper and termite were statistically comparable and there was a similar amount of ash in cricket, shea caterpillar and catfish. The carbohydrate content in all samples analysed differed significantly (p < 0.05). However, grasshoppers had an appreciable amount of carbohydrate in comparison with the control.

Table1. Proximate analysis (%) of selected edible insects and catfish found around Wukari, Nigeria.
Variables
Moisture Content (%)
Protein
(%)
Ether Extract - Fat (%)
Ash
(%)
Crude fibre
(%)
Carbohydrates - by difference
(%)
C. gariepinus
8.63±0.09a
17.80±0.12c
2.17±0.07a
6.17±0.09b
7.77±0.12c
5.745±0.03c
C. butyrospermi
8.73±0.09b
18.13±0.09d
2.03±0.09a
6.40±0.06bc
8.13±0.12d
5.66±0.02b
M. bellicosus
8.33±0.09a
16.23±0.09b
2.17±0.09a
5.63±0.12a
6.57±0.09b
6.11±0.02d
G. bimaculatus
8.53±0.16ab
19.37±0.09e
1.93±0.09a
6.57±0.09c
8.53±0.09e
5.50±0.02a
Z. variegatus
9.03±0.16c
14.43±0.09a
2.63±0.03b
5.43±0.12a
6.23±0.09a
6.22±0.02e
F-value
8.61
8.21
12.46
25.02
95.78
5.23
p-value
0.003
0.000
0.000
0.000
0.000
0.000

Note:

Mean values (±S.E) in the same row having the same superscripts are not significantly different at p < 0.05, N = 5.

The mineral composition of selected edible insects and catfish presented in Table 2 below reveals a higher content of Fe++, which differed significantly from the control. Cricket had the highest Ca++, Mg++, Mn++, K+, Na+, Cu++ and Zn++ content which differed significantly (p < 0.05) from the catfish.

Table2. Mineral composition present in selected edibles insects and catfish found around Wukari, Nigeria.
Variables
Fe++
(mg/100g)
Ca++ (mg/100g)
Mg++
(mg/100g)
Mn++
(mg/100g)
K+
(mg/100g)
Na+
(mg/100g)
Cu++
(mg/100g)
Zn++
(mg/100g)
C.
gariepinus
7.87±
0.01b
175.00±
5.77b
80.00±
2.89bc
0.02±
0.00abc
46.67±
1.67b
283.33±
6.01c
0.30±
0.06bc
0.37±
0.033ab
C.
butyrospermi
7.47±
0.09a
183.33±
4.41b
88.33±
4.41cd
0.03±
0.01bc
50.00±
2.89bc
303.33±
6.10d
0.37±
0.03c
0.40±
0.058b
M.
bellicosus
8.13±
0.12b
158.33±
4.41a
73.33±
1.67ab
0.02±
0.00ab
43.33±
1.67ab
258.33±
4.41b
0.23±
0.33ab
0.33±
0.033ab
G.
bimaculatus
7.17±
0.12a
193.33±
1.67c
93.33±
1.67d
0.03±
0.00c
55.00±
2.89c
316.67±
6.01d
0.40±
0.00c
0.53±
0.03c
Z.
variegatus
8.43±
0.09c
148.33±
1.67a
70.00±
2.89a
0.02±
0.00a
38.33±
1.667a
225.00±
2.89a
0.13±
0.33a
0.27±
0.03a
F-value
24.61
21.52
11.60
3.58
8.06
49.21
8.58
6.29
p-value
0.000
0.000
0.001
0.046
0.004
0.000
0.003
0.000

Note:

Mean values (±S.E) in the same row having the same superscripts are not significantly different at p < 0.05, N = 5.

The antinutrient content of all samples were evaluated and presented in Table 3. The result revealed that grasshoppers had the least amount of tannin which significantly (p < 0.05) differed from those in catfish. Shea caterpillar and cricket had comparable tannin content. Nonetheless, there was no significant difference (p > 0.05) in the amount of tannin present in catfish, cricket, shea caterpillar and termites. Also, the least phytate content was found in cricket which did not differ significantly from those in shea caterpillar and catfish.  Furthermore, the least tannin content which was recorded in grasshoppers differed significantly (p < 0.05) from the other test samples. However, there was no significant difference (p > 0.05) between the tannins in the shea caterpillar and the control.

Table 3. Antinutrients present in selected edible insects and catfish found around Wukari, Nigeria.
Variables
Tannins (mg/100g)
Phytates (mg/100g)
C. gariepinus
398.33±4.41bc
41.67±1.67bc
C. butyrospermi
423.33±7.26c
38.33±1.67ab
M. bellicosus
361.67±4.41b
48.33±1.67c
G. bimaculatus
443.33±7.26c
31.67±1.67a
Z. variegatus
303.33±32.19a
56.67±4.41d
F-value
12.98
15.00
p-value
0.001
0.000

Note:

Mean values (±S.E) in the same row having the same superscripts are not significantly different at p < 0.05, N = 5

4. DISCUSSION

This study determined the nutritional and antinutritional composition of some selected insects found around Wukari, Taraba State, Nigeria in comparison with catfish. The result of this study revealed that edible insects contained appreciable amount of nutrients and can supplement conventional foods like catfish, hence, insects could be a less expensive option to the protein source found in catfish. While crickets had the highest amount of protein, Ash and Fibre; Grashoppers had the highest amount of moisture, fats and carbohydrates.

Moisture content in food is an index of stability and contamination by microbes [27]. The higher the moisture content, the lower the shelf life. Hence, the overall low  moisture content (8.33 – 9.03%) of the insects evaluated in this study would assist in maintaining their quality. Idowu, et al. [23] reported moisture content of 11.42 – 15.57% in common edible insects in Abeokuta, Nigeria.

Our analyses revealed that the protein content in catfish, grasshopper, termites and shea caterpillar ranged between 14.4 –19.3%. In a study conducted by Oibiokpa, et al. [28], a higher range of 43.75 -75.08% was recorded. Also, in a similar study with 100 species of insects, protein of 13 – 77% was recorded [29]. The variation in protein content has been reported in various studies because factors such as stage of metamorphosis, diet and method of preparation could influence nutrient content [30]. Further, differences in food sources/origin of insect, environment or analytical procedures could be responsible. For example, in a study by Solomon and Oluchi [31], catfish fed with different diets had different protein content that ranged from 18.88-20.00%, reiterating the role diet plays in the protein content of organisms.  However among the selected insects analysed in this study, cricket had the highest protein content which significantly differed from protein in catfish while grasshoppers had the least protein. Our result corroborates those of Oibiokpa, et al. [28] and Oibiokpa, et al. [32]  who reported high protein content in crickets. Dietary proteins are essential macronutrients that provide nitrogen and indispensable amino acids that enable cells synthesize the proteins necessary for tissue growth and development. Results from this study imply that consuming insects can provide the recommended dietary protein need of humans.

Of all the insects analysed in this study, grasshoppers had a significant fat content implying that grasshoppers could be a rich source of fats in diets. This result contradicts the report of Rumpold and Schlüter [33] who showed that of all the edible insect orders, orthopterans has the lowest fat content while coleopterans contain higher fat content. However, other studies reported higher fat content in termites [23, 28]. One plausible reason for the disparity in fat content might be the season when insects were harvested which could affect fat content in insects [34].  Method of preparation and is also an important factor.

The amount of ash we found in the insects ranged from 5.43% in grasshoppers to 6.57% in Crickets. While this is higher than 2.59% in ants and 3.01% in termites reported by Chakravorty, et al. [35] in India, it is lower than 12.62% in an ant species (Oecophylla) reported by Abulude, et al. [36]. In any case, ash content is generally agreed to be a reflection of mineral composition. Crude fibre in foods enhances bowel movement and reduces the risk of gut cancers Oduor, et al. [37]. Fibre-rich foods are recommended for weight management. While the fibre content in our insect samples are lower than 20.13% reported in ants by Abulude, et al. [36], they are higher than an average of 2.50% reported by Banjo, et al. [38]  in ants. Interestingly however, is that, our shea caterpillar and cricket samples had higher fibre content than the catfish.

Considerable amount of carbohydrate was found in our insect samples (range: 5.50 – 6.11%). Though lower than 12.40% in edible black ants from Zhejiang region of China, it was higher than 3.80% in same species from Guizhou region as reported by Bhulaidok, et al. [39]. Differences in concentrations could be attributed to among others, differences in environment, health status of samples and/or method of analysis.

Of the essential macro minerals, Fe and Zn are of critical public health concern in the developing countries where a high proportion of nursing mothers, women and children have been shown to suffer deficiencies[40]. Our analyses reveal that a 100 g of the insect samples can provide appreciable amount of the elements vis-à-vis their recommended daily intake. Magnesium (Mg) is required for over 300 reactions in the human system. It aids the regulation of blood glucose, supports the immune system, and maintains heart rhythm and muscles and heart functions [41]. Of the minerals assessed, Na which is known to aid electrolyte balance [23] was the highest in concentration in all the insect samples. Though the essential macro elements have been shown to be obtainable from the insects in variable amounts, consuming them along with other foods rich in these elements can be helpful to human health.

It has been shown that, the presence of antinutrients (phytates and tannins) in food suppresses the availability of some minerals and the absorption of proteins to the body system [35]. Wide variations in the amount of phytates have been reported in insects. For example, Macrotermes subhyalinus had 15.6 – 130 mg/100 g; Coptotermes gestroi contained 25.05 mg/100 g; winged termites, 1128.23 mg/100g; worker termites, 2482.08 mg/100 g [42, 43] . The study conducted by Chakravorty, et al. [35] on Oecophylla smaragdina and Odontotermes sp. showed 171 and 14.23, respectively. While phytates in the insects we assayed (range: 31.67 – 56.67 mg/100 g) are largely lower than a number of those reported in the insects outlined above, it is far higher than those reported cereals, legumes, nuts and oilseeds as contained in Schlemmer, et al. [44].

The tannin content in our insect samples (303.33 – 443.33 mg/100 g) is comparable to the range (301.67 – 528.00 mg/100 g) reported by Shantibala, et al. [45] on Lethocerus indicus, Laccotrephes maculatus, Hydrophilus olivaceous, Cybister confusus and Crocothemes servillia. That notwithstanding, it is lower than what was reported for Odontotermes sp. (615.00±60.62 mg/100 g) by Chakravorty, et al. [35]. Tannin content of as low as 0.02 – 14.30 mg/100 g in edible insects have however, been reported [23, 46]. The wide differences in antinutrient content reported could largely be attributed to differences in analytical methods. However, that the antinutrient content in the insects assayed are largely comparable to those in the catfish apparently suggests that they are safe for consumption.

5. CONCLUSION

From the results of our chemical analyses, we conclude that C. butyrospermi, Z. variegatus and G. bimaculatus, M. bellicosus can be good nutritional supplements in the communities around Wukari, Taraba State, Nigeria. Aside enhancing food security and reducing pressure on conventional protein sources like fish, eating these insects can improve health as they contain appreciable amount of protein, fats, carbohydrates and minerals that have immense health benefits.

REFERENCES

[1]         E. Okrikata and O. A. Yusuf, "Diversity and abundance of insects in Wukari, Taraba State, Nigeria," International Biological and Biomedical Journal, vol. 2, no. 4, pp. 156-166, 2016.

[2]         A. van Huis and D. G. A. B. Oonincx, "The environmental sustainability of insects as food and feed a review," Agronomy for Sustainable Development, vol. 37, no. 5, p. 43, 2017/09/15 2017.  https://doi.org/10.1007/s13593-017-0452-8

[3]         A. M. Liceaga, "Processing insects for use in the food and feed industry," Current Opinion in Insect Science, vol. 48, pp. 32-36, 2021.  https://doi.org/10.1016/j.cois.2021.08.002

[4]         X. Chen, Y. Feng, and Z. Chen, "Common edible insects and their utilization in China," Entomological Research, vol. 39, no. 5, pp. 299-303, 2009.  https://doi.org/10.1111/j.1748-5967.2009.00237.x

[5]         Y. Feng et al., "Edible insects in China: Utilization and prospects," Insect Science, vol. 25, no. 2, pp. 184-198, 2018.  https://doi.org/10.1111/1744-7917.12449

[6]         O. T. Adeoye, O. J. Oyelowo, T. A. Adebisi-Fagbohungbe, and O. D. Akinyemi, "Eco-diversity of edible insects of Nigeria and its impact on food security," Journal of Biology and Life Science, vol. 5, no. 2, pp. 175-187, 2014.  https://doi.org/10.5296/jbls.v5i2.6109

[7]         C. Ebenebe, M. Amobi, C. Udegbala, A. Ufele, and B. Nweze, "Survey of edible insect consumption in south-eastern Nigeria," Journal of Insects as Food and Feed, vol. 3, no. 4, pp. 241-252, 2017.  https://doi.org/10.3920/jiff2017.0002

[8]         O. Okore, D. Avaoja, and I. Nwana, "Edible insects of the Niger Delta area in Nigeria," Journal of Natural Sciences Research, vol. 4, no. 5, pp. 1-9, 2014.

[9]         J. O. Fasoranti and D. O. Ajiboye, "Some edible insects of Kwara State, Nigeria," American Entomologist, vol. 39, no. 2, pp. 113-116, 1993.  https://doi.org/10.1093/ae/39.2.113

[10]       N. T. Meludu and M. N. Onoja, "Determinants of edible insects consumption level in Kogi State, Nigeria," Journal of Agricultural Extension, vol. 22, no. 1, pp. 156-170, 2018.  https://doi.org/10.4314/jae.v22i1.14

[11]       A. A. Eyo, "Fish processing technology in: The tropics." New Bussa Nigeria: National Institute of Fisheries and Freshwater Research, 2001, p. 403.

[12]       FAO, The state of world fisheries and aquaculture: Opportunities and challenges. Rome: Food and Agriculture Organization of the United Nations, 2016.

[13]       A. Aberoumand, "Effects of traditional fish processing methods on the proximate composition and ph of fish black pomfret Parastromateus Niger," Food Industry Slovak Journal of Food Sciences, vol. 14, pp. 271–276, 2020.  https://doi.org/10.5219/1294

[14]       S. Belluco, C. Losasso, M. Maggioletti, C. C. Alonzi, M. G. Paoletti, and A. Ricci, "Edible insects in a food safety and nutritional perspective: A critical review," Comprehensive Reviews in Food Science and Food Safety, vol. 12, no. 3, pp. 296-313, 2013.  https://doi.org/10.1111/1541-4337.12014

[15]       FAO, Urban food systems and COVID-19: The role of cities and local governments in responding to the emergency. Rome: Food and Agriculture Organization of the United Nations, 2020.

[16]       M. Nicola et al., "The socio-economic implications of the coronavirus pandemic (COVID-19): A review," International Journal of Surgery, vol. 78, pp. 185-193, 2020.  https://doi.org/10.1016/j.ijsu.2020.04.018

[17]       A. M. Liceaga, "Edible insects, a valuable protein source from ancient to modern times," Advances in Food and Nutrition Research, vol. 101, pp. 129-152, 2022.  https://doi.org/10.1016/bs.afnr.2022.04.002

[18]       O. Alamu, A. Amao, C. Nwokedi, O. Oke, and I. Lawa, "Diversity and nutritional status of edible insects in Nigeria: A review," International Journal of Biodiversity and Conservation, vol. 5, no. 4, pp. 215-222, 2013.

[19]       O. T. Omotoso, "An evaluation of the nutrients and some anti-nutrients in silkworm, bombyxmori l bombycidae: Lepidoptera," Jordan Journal of Biological Sciences, vol. 8, no. 1, pp. 45-50, 2015.  https://doi.org/10.12816/0026947

[20]       S. Imathiu, "Benefits and food safety concerns associated with consumption of edible insects," NFS Journal, vol. 18, pp. 1-11, 2020.  https://doi.org/10.1016/j.nfs.2019.11.002

[21]       O. Ladeji, C. U. Akin, and H. A. Umaru, "Level of antinutritional factors in vegetables commonly eaten in Nigeria," African Journal of Natural Science, vol. 7, pp. 71–73, 2004.

[22]       AOAC, Official methods of analysis of the association of official analytical chemists, 17th ed. Arlington: Association of Official Analytical Chemists, 2000.

[23]       A. B. Idowu, E. O. Oliyide, K. O. Ademolu, and J. A. Bamidele, "Nutritional and anti-nutritional evaluation of three edible insects consumed by the Abeokuta community in Nigeria," International Journal of Tropical Insect Science, vol. 39, no. 2, pp. 157-163, 2019.  https://doi.org/10.1007/s42690-019-00021-w

[24]       A. M. Joslyn, "Methods in food analysis physical chemical and instrumental methods of analysis," 2nd ed. San Francisco: Academic Press, 1970, pp. 1–3.

[25]       J. Bamidele, A. Idowu, K. Ademolu, and S. Bankole, "Diversity, abundance and tissue mineral composition of indigenous earthworm species of sawmills of Abeokuta, South-Western Nigeria," Mun Ent Zool, vol. 11, pp. 63-67, 2016.

[26]       E. Wheeler and R. Ferrel, "A method for phytic acid determination in wheat and wheat fractions," Cereal Chemistry, vol. 48, no. 3, pp. 312-320, 1971.

[27]       W. J. Scott, "Water relations of food spoilage microorganisms," Academic Press, vol. 7, pp. 83-127, 1957.  https://doi.org/10.1016/S0065-2628(08)60247-5

[28]       F. I. Oibiokpa, H. O. Akanya, A. A. Jigam, and A. N. Saidu, "Nutrient and antinutrient compositions of some edible insect species in Northern Nigeria," Fountain Journal of Natural and Applied Sciences, vol. 6, no. 1, pp. 9-24, 2017.  https://doi.org/10.53704/fujnas.v6i1.159

[29]       C. Xiaoming, F. Ying, Z. Hong, and C. Zhiyong, "Review of the nutritive value of edible insects forest insects as food: Humans bite back," in Proceedings of a Workshop on Asia-Pacific Resources and their Potential for Development, Chiang Mai, Thailand, 19-21 February, 2008 Food and Agricultural Organization of the United Nations, Rome, Italy, 2010, 2008.

[30]       C. L. R. Payne, P. Scarborough, M. Rayner, and K. Nonaka, "A systematic review of nutrient composition data available for twelve commercially available edible insects, and comparison with reference values," Trends in Food Science & Technology, vol. 47, pp. 69-77, 2016.  https://doi.org/10.1016/j.tifs.2015.10.012

[31]       R. J. Solomon and A. R. Oluchi, "Proximate analysis and nutritional value of African catfish Clarias gariepinus fed with local Telferia occidentales and Moringa oleifera and industrial feed coppens," Journal of Fish and Livestock Production, vol. 6, no. 2, pp. 1-6, 2018.  https://doi.org/10.4172/2332-2608.1000267

[32]       F. I. Oibiokpa, H. O. Akanya, A. A. Jigam, A. N. Saidu, and E. C. Egwim, "Protein quality of four indigenous edible insect species in Nigeria," Food Science and Human Wellness, vol. 7, no. 2, pp. 175-183, 2018.  https://doi.org/10.1016/j.fshw.2018.05.003

[33]       B. A. Rumpold and O. K. Schlüter, "Potential and challenges of insects as an innovative source for food and feed production," Innovative Food Science & Emerging Technologies, vol. 17, pp. 1-11, 2013.  https://doi.org/10.1016/j.ifset.2012.11.005

[34]       O. Schlüter et al., "Safety aspects of the production of foods and food ingredients from insects," Molecular Nutrition & Food Research, vol. 61, no. 6, p. 1600520, 2017.  https://doi.org/10.1002/mnfr.201600520

[35]       J. Chakravorty, S. Ghosh, K. Megu, C. Jung, and V. B. Meyer-Rochow, "Nutritional and anti-nutritional composition of Oecophylla smaragdina (Hymenoptera: Formicidae) and Odontotermes sp. (Isoptera: Termitidae): Two preferred edible insects of Arunachal Pradesh, India," Journal of Asia-Pacific Entomology, vol. 19, no. 3, pp. 711-720, 2016.  https://doi.org/10.1016/j.aspen.2016.07.001

[36]       F. Abulude, O. Folorunso, Y. Akinjagunla, S. Ashafa, and J. Babalola, "Proximate compositions, mineral levels and phytate contents of some alternative protein sources Cockroach, Periplaneta americana, soldier ants Oecophylla sp and Earthworm lubricus terrestics for use in animal feed formulation," Asian Journal of Animal and Veterinary Advances, vol. 2, no. 1, pp. 42-45, 2007.  https://doi.org/10.3923/ajava.2007.42.45

[37]       P. Oduor, M. H. Struszczyk, and M. G. Peter, "Characterisation of chitosan from blowfly larvae and some crustacean species from Kenyan marine waters prepared under different conditions," Discovery and Innovation, vol. 20, no. 2, pp. 129-136, 2008.

[38]       A. Banjo, O. Lawal, and E. Songonuga, "The nutritional value of fourteen species of edible insects in southwestern Nigeria," African Journal of Biotechnology, vol. 5, no. 3, pp. 298-301, 2006.

[39]       S. Bhulaidok, O. Sihamala, L. Shen, and D. Li, "Nutritional and fatty acid profiles of sun-dried edible black ants polyrhachis vicina roger," Maejo International Journal of Science and Technology, vol. 4, no. 1, pp. 101-112, 2010.

[40]       K. F. Michaelsen et al., "Choice of foods and ingredients for moderately malnourished children 6 months to 5 years of age," Food and Nutrition Bulletin, vol. 30, no. 3_suppl3, pp. S343-S404, 2009.  https://doi.org/10.1177/15648265090303s303

[41]       N.-E. L. Saris, E. Mervaala, H. Karppanen, J. A. Khawaja, and A. Lewenstam, "Magnesium: An update on physiological, clinical and analytical aspects," Clinica Chimica Acta, vol. 294, no. 1, pp. 1-26, 2000.  https://doi.org/10.1016/S0009-8981(99)00258-2

[42]       O. E. Ajayi, "Biochemical analyses and nutritional content of four castes of subterranean termites, macrotermes subhyalinus (Rambur) (Isoptera: Termitidae): Differences in digestibility and anti-nutrient contents among castes," International Journal of Biology, vol. 4, no. 4, pp. 54–59, 2012.  https://doi.org/10.5539/ijb.v4n4p54

[43]       T. J. Mathew, M. M. Ndamiso, E. Y. Shaba, S. Mustapha, S. S. Muhammed, and A. Adamu, IOSR Journal of Environmental Science and Toxicology and Food Technology, vol. 7, no. 1, pp. 71–75, 2013.  https://doi.org/10.33425/2639-9474.1227

[44]       U. Schlemmer, W. Frølich, R. M. Prieto, and F. Grases, "Phytate in foods and significance for humans: Food sources, intake, processing, bioavailability, protective role and analysis," Molecular Nutrition & Food Research, vol. 53, no. S2, pp. S330-S375, 2009.  https://doi.org/10.1002/mnfr.200900099

[45]       T. Shantibala, R. K. Lokeshwari, and H. Debaraj, "Nutritional and antinutritional composition of the five species of aquatic edible insects consumed in Manipur, India," Journal of Insect Science, vol. 14, no. 1, p. 14, 2014.  https://doi.org/10.1093/jis/14.1.14

[46]       I. Ifie and C. Emeruwa, "Nutritional and anti-nutritional characteristics of the larva of oryctes monoceros," Agriculture and Biology Journal of North America, vol. 2, no. 1, pp. 42-46, 2011.  https://doi.org/10.5251/abjna.2011.2.1.42.46

Views and opinions expressed in this article are the views and opinions of the author(s), International Research Journal of Insect Sciences shall not be responsible or answerable for any loss, damage or liability etc. caused in relation to/arising out of the use of the content.