Index

Abstract

A well-known conclusion in extant literature on remanufacturing is that the overall supply chain profits tend to be higher when the used products are recycled by the retailer. This article builds a model of a closed-loop supply chain consisting of a single retailer and a single manufacturer and analyzes the impact of recovery rate and remanufacturing rate on pricing strategy of closed-loop supply chains when consumer willingness to pay for new and remanufactured products differs. In the model, the retailer recycles all used products and the manufacturer exploits the used products recycled by the retailer to make remanufactured products. This article investigates the performance of supply chains with centralized and decentralized decisions, and the Stackelberg’s game model is deployed to find whether recovery rate and remanufacturing rate can significantly affect the product prices and output of supply chains when the consumer willingness to pay varies. Meanwhile, the rise in recovery rate and remanufacturing rate leads to increased overall profits in closed-loop supply chains. This further indicates that the optimal profits of closed-loop supply chains in centralized decisions are higher than those in decentralized decisions.

Keywords: Closed-loop supply chains, Remanufacturing, Pricing, Consumer willingness to pay.

Received: 27 February 2019 / Revised: 2 April  2019 / Accepted: 6 May 2019/ Published: 18 July 2019

Contribution/ Originality

This study is one of very few studies which have investigated the uncertainty of recovery rate and remanufacturing rate in the closed-loop supply chain of remanufacturing. It also considers that the uncertainty of preferences cannot be ignored in the pricing decision of remanufacturing production.


1. RESEARCH BACKGROUND

With social progress and development, remanufacturing is increasing steadily in our mundane lives. Currently, remanufacturing is defined as a production strategy for surplus value regained by repeatedly recycling the components with fine functions (Debo et al., 2005). Simply put, used products are collected and core useful components are dismantled to make new products, i.e. remanufactured products. In the 1960s, every country attached great importance to remanufacturing, and the USA initiated the 3R system (Reuse, Recycle, Remanufacture) from the industrial perspective, with a strategic focus on remanufacturing for developing new energy resources, new materials and biological technology and other emerging industries through innovation. From the perspective of environmental protection, Japan launched the 3R system (Reduce, Reuse, and Recycle) and its remanufacturing strategy centered on research and development and the emerging industries. In 2016, the Second Global Remanufacturing Innovation and Development Summit was held in Beijing, China. This conference focused on the development and future tendency of global remanufacturing industry. The development of remanufacturing industry was discussed and technological innovation in remanufacturing (including new products like unmanned aerial vehicles), remanufacturing robots and the application of 3D technology in remanufacturing components were also addressed. Currently, members in each node of supply chain have started to recycle and remanufacture. Closed-loop supply chains require that manufacturers take the production cost of remanufactured products and the cost of recycling used products into account, and then they determine the price of remanufactured and new products, in order to derive the optimal production to maximize the profits of the overall supply chain.
Willingness to Pay (WTP) is what consumers are willing to pay for certain goods and services, which is also the evaluation of a product and service. WTP in this article varies when consumers choose new and remanufactured products; in other words, consumers can differentiate new and remanufactured products. Shi et al. (2015) look at the competition in remanufacturing when the supply chain consist of manufacturers who use new products and remanufacturers who recycle core components, they find that WTP has a significant impact on the manufacturer's performance and the stability of Nash equilibrium. Since the remanufacturing technology develops relatively slowly and consumer awareness of remanufactured products is inadequate, the willingness to pay for remanufactured products is relatively low. However, recovery rate and remanufacturing rate can be a very beneficial perspective in the study of closed-loop supply chains of remanufacturing. In these perspectives, here the consumer willingness to pay varies; that is, consumers show different levels of acceptance of new and remanufactured products. Not all used products can be recycled and not all recycled products can be remanufactured, and as a result, the impact of recovery rate and remanufacturing rate on the pricing strategy of closed-loop supply chains are investigated.

2. LITERATURE REVIEW

The prior research has shown that early studies primarily focused on ideal status of the integrated system with one decision variable. Mcguire and Staelin (1983) among the earliest to work on supply chain pricing, first investigated the impact of product replacaement on the distribution structure of Nash equilibrium in duopoly. They noted that replacaement of products in most specifications can influence the structure of Nash equilibrium. The previous studies concerned with forward supply chains and decision issues of products or members of supply chains  (Mcguire and Staelin, 1983). With social progress and the development of remanufacturing technology, open supply chains have evolved into closed-loop supply chains. Closed-loop supply chains involve more independent participants than conventional supply chains, and thereafter much literature on closed-loop supply chains has concerned with competitive strategy or the interaction between two decision variables (Atasu et al., 2008; Mitra and Webster, 2008). However, Ferguson and Toktay (2006) build a model supporting manufacturers to recycle in the face of the threat of competition in the market of remanufactured products. Webster and Mitra (2007) looked into the impact of  recycling laws in the competitive state of manufacturers and re manufacturers. Zhao et al. (2013) discuss how a manufacturer and two competitive retailers make decisions on the wholesale price, the retail price and remanufacturing rate in the model of expected value. Based on remanufacturing literature, it has been shown that much of remanufacturing research has assumed that brand new products are made by the integrated manufacturer (Choi et al., 2013; Chuang et al., 2014). As such, this study assumes that all brand new products are made by the manufacturer. There has been research on remanufacturing plan and pricing strategy, such as Langella (2007); Li et al. (2013); Liang et al. (2009) and Wu (2012b) and many others. Xiong et al. (2013) and Shi et al. (2011) have depth studies of the pricing strategy of new and remanufactured products, and discuss the production and pricing strategy of new and remanufactured products in decentralized and centralized decisions. Conversely, the profitability of remanufacturing rests on the quantity and quality of recycled products and the demand for remanufactured products, which are affected by the price of remanufactured products (Guide et al., 2003). Wu (2012a) considers a supply chain consisting of a conventional manufacturer making new products, a manufacturer with reverse channel who remanufactures by using core components and a retailer, and examines the impact of the interaction between different prices and services on the profits of members of supply chain. Chen and Chang (2013) show that the pricing strategy is dependent on different markets (such as the market in different periods of product life cycles), the cost saved by remanufactured products and replacement coefficients.

Earlier studies have stated that new and remanufactured products are homogeneous, which does not conform to the reality. The current studies assume that there is discrepancy between new and remanufactured products; in other words, consumers can distinguish between them. There is difference in WTP for new and remanufactured products. Xiang et al. (2009)note that the cost savings from remanufacturing is inversely proportional to recycling cost of used products in centralized decisions when new products differ from remanufactured products. The increase in remanufacturing cost saved can stimulate recycling behavior. Michaud and Llerena (2011) examine the impact of characteristics of remanufactured products on consumer willingness to pay by auction experiments. They show that consumers tend to value remanufactured products less than conventional products; that is, the value of WTP of remanufactured products is less than that of conventional products. Guo et al. (2012a) show that the price of new and remanufactured products in centralized decisions is lower than that in decentralized decisions, thereby leading to higher profits for the overall supply chain when consumer willingness to pay for new and remanufactured products varies. Guo et al. (2012b) consider three modes in which the manufacturer recycles, the retailer recycles and the third party recycles when demand is uncertain and WTP for new and remanufactured products varies, noting that the profits of supply chains are maximal when a third party recycles.

Some studies have examined the impact of recovery rate and remanufacturing rate on the pricing of closed-loop supply chains. In remanufacturing, the supply of used products does not match the demand for remanufactured products, suggesting that there exists the problem of recycling and remanufacturing rates. Xiong and Li (2013) put forward the dynamic pricing strategy to balance the uncertainty between supply and demand. Li et al. (2015) build two models for remanufacturing and pricing strategy when the remanufacturing rate and the demand for remanufactured products are random: remanufacturing before and after pricing; and they find that it is more profitable to remanufacture after pricing. A well-known conclusion in the literature on recycling used products is that it is most effective for the retailer to recycle used products, because the retailer is close to consumers (Savaskan et al., 2004). In reverse supply chains, demand is uncertain and hence the recycling process of the retailer and the remanufacturing process of the manufacturer differ. Yan (2012) analyzes the problem through the two-period dynamic planning and examines the manufacturer’s expected profits when recovery rate and recycle price vary. Conversely, the optimal recycle price in the structure of decentralized recycle channels is invariably lower than that in centralized recycle channels (He, 2015). Xu and Wu (2011) discuss the impact of retail price and remanufacturing rate in centralized and decentralized decisions on the basis of the reverse supply chain consisting of one single manufacturer and one single retailer. They conclude that it is more profitable for centralized decision closed-loop supply chains. Agrawal et al. (2015) investigate whether and how remanufactured products influence the client’s perceived value of new products through an empirical study. They show that the preemptive strategy can prevent third parties from competing, but the remanufacturing profits tend to diminish. Currently, few studies have addressed pricing strategy of closed-loop supply chain relating to remanufacturing rate. Han et al. (2015) look at the impact of the random remanufacturing rate on the pricing strategy of supply chains via Stackelberg Game and show that if the manufacturer delays the pricing, the recycle price in centralized decisions is higher than that in decentralized decisions, and the sale price in centralized decisions is lower than that in decentralized decisions. Zhang and Ren (2016) look into closed-loop supply chains consisting of the original manufacturer, the retailer, and third party recycling. The third party recycles used products, and the new and remanufactured products are sold differently in the same market. The demand for new and remanufactured products depends on retail prices. 

3. MODEL DESCRIPTIONS

Like much of literature on remanufacturing, it is assumed that closed-loop supply chains are composed of a manufacturer and a retailer. WTP of new and remanufactured products differs, that is, consumers distinguish new and remanufactured products, and consumer preference for new and remanufactured products varies. In the model, the manufacturer serves as the leader in the channel, having the prominent channel advantage; the retailer serves as the follower. The manufacturer makes both new products and remanufactured products by using used products collected by the retailer, who sells new and remanufactured products made by the manufacturer. The Stackelberg game theory is deployed to consider the pricing models in centralized and decentralized decisions. Based on WTP, this study explores the impact of the uncertain recovery rate and remanufacturing rate discrepancy on the pricing strategy in closed-loop supply chains. Figure 1 shows the members in closed-loop supply chains, a single manufacturer and a single retailer, who form a closed loop.

3.1. Assumptions of the Model

Figure-1. Model structure of closed-loop supply chains.

Figure 1 shows the background of the model constructed. The main feature of the model is that the supply chain consists of a single manufacturer and a single retailer, neglecting other manufacturers and retailers and the competitive relationship between them. The manufacturer does not recycle used products but makes remanufactured products by using used products collected by the retailer. The manufacturer makes both new and remanufactured products, and the retailer sells both new and remanufactured products. For a better understanding of the model, the key assumptions are presented as follows.

Assumption 1: Consumer willingness to pay for new and remanufactured products differs, and consumers can distinguish new and remanufactured products, with the uniform distribution within [0, Q]. Without losing uniformity, it is assumed that the interval density is 1.

Additionally, it is assumed that all participants in the model are risk neutral, and demand profits, and have access to the same information. Only the pricing model in the single period is considered, and both supplier and retailer are rational decision-makers. The specific information of demand and cost and interpretations of parameters and decision variables can be found in Table 1.

Table-1. Parameters and decision variables.

3.2. Profits of Closed-Loop Supply Chains in Centralized Decisions

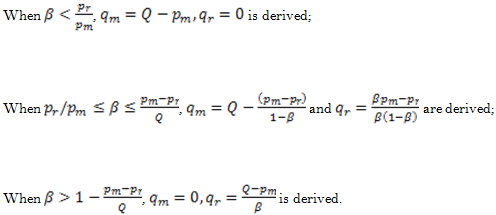
In this part, WTP of new and remanufactured products varies, and the centralized model is explored with uncertain recovery rate and remanufacturing rate. It is important to note that the centralized model means centralizing remanufacturing and recycling channels. The single manufacturer focuses on remanufacturing, while the single retailer focuses on recycling. Profits of the overall supply chain are the core. To maximize profits of the overall closed-loop supply chain, the manufacturer and the retailer serve as a unit to decide. According to the inverse demand function of new and remanufactured products, the following can be derived.

In this decision, WTP of new and remanufactured products differs, and the primary profits of supply chain are derived from the sale of new and remanufactured products, neglecting the inventory and stock-out problem. The recycle cost is considered when the retailer recycles; the disposal cost of remanufacturing is also considered when the remanufacturer makes remanufactured products. Other considerations are the uncertain recovery rate and remanufacturing rate and the salvage value of recycled products without being remanufactured.

The target function concerns optimization of the constraints, and therefore the Hessian Matrix in Equation 1 can be derived:

3.3. Profits of Closed-Loop Supply Chains in Decentralized Decisions

In the decentralized model of closed-loop supply chains, profits of participants come from the sale of new and remanufactured products. In decentralized decisions, according to the Stackelberg game theory, the manufacturer serving as a leader in the channel first determines the optimal price of new and remanufactured products. Here, it is assumed that all participants in the supply chain are risk neutral and seek profits, and they have access to the same information. The solution of the optimal pricing strategy of the retailer and the manufacturer is derived from backward induction.

3.3.1. The Retailer’s Profits in Decentralized Decisions

In this model, the retailer is the follower of the channel and the manufacturer is the leader. Both are independent and seek to maximize their respective profits. In this decision, when there is WTP discrepancy between new and remanufactured products, with uncertain recovery rate, the retailer’s main profits come from sales of new and remanufactured products. The issues of inventory and stock-out are not considered; instead, only the retailer’s recycling cost is taken into account. The retailer’s profits can be figured out through backward induction.

Below Equation 4  is the specific optimization problems.

3.3.2. The Manufacturer’s Profits in Decentralized Decisions

This part concerns the manufacturer’s decision problems in decentralized decisions. In this decision, when WTP of new and remanufactured products varies, the manufacturer’s profits come primarily from sales of new and remanufactured products with uncertain remanufacturing rate. Also, inventory and stock-out are not considered, and only the remanufacturing cost is taken into account. Below are the specific optimization problems:

4. ANALYSIS AND COMPARISON OF MODELS

The analyses above show that the price of new and remanufactured products in closed-loop supply chain varies in centralized and decentralized decisions and the profit of the entire supply chains also differ.

Table-2. The impact of changing parameters on optimal prices of products.

Table-3. The impact of changing parameters on optimal production of products.

5. NUMERICAL ANALYSES

For a clear understanding of parameter changes, parameter values are set to satisfy all the assumed conditions on the basis of numerical simulation and reality.

Figure-2. The impact of changing remanufacturing rate on the optimal price in centralized decisions.

Figure 2 shows that as the remanufacturing rate increases continuously, the optimal price of new and remanufactured products falls in centralized decisions. It also shows that with uncertain recovery rate, increase in remanufacturing rate leads to lower optimal price of new and remanufactured products. With the constantly rising remanufacturing rate, the extent of fall in the optimal price diminishes, indicating that the impact of remanufactuirng rate on the optimal price of new and remanufactured products reduces when the remanufactuirng rate increases to a certain extent. The figure illustrates that the price of new products is apprarently higher than that of remanufactured prices, because of the WTP discrepancy between new and remanufactured products. Consumers tend to prefer new products.

Figure-3. The impact of changing recovery rate on the price of new products in centralized decisions.

Figure-4. The impact of changing recovery rate on the price of remanufactured products in centralized decisions.

It can be seen from Figure 5 that optimal profit of the overall supply chain in centralized decision is evidently greater than in decentralized decision. In decentralized decisions, the profits of the manufacturer are higher than those of the retailer, because the manufacturer serves as the leader with obivious advantages in the channel. As the follower, the retailer can make a decision after the manufacturer. The manufacturer has some first-mover advantage, and thus the profits of the manufacturer are higher than those of the retailer. Also, the changing remanufacturing rate has a positive effect on the profits of supply chain in each decision. In other words, within a certain range, the increased remanufacturing rate leads to greater profits in supply chains, which proves the conclusions above.

Figure-6. The impact of changing recovery rate on optimal profits.

Figure 6 shows the impact of changing recovery rate on the optimal profits. It is clear that profits of the overall supply chains in centralized decisions are greater than those in decentralized decisions. In centralize decisions, profit of the retailer is lower than the manufacturer, which is consistent with the reality. WTP varies between new and remanufactured products, and with the fixed remanufacturing rate, as the leader, the remanufacturer has the first-mover advantage to set higher wholesale price to maximize profits, and therefore make the purchasing cost of the retailer increases. The demand for new and remanufactured products is balanced in the market, and the retailer’s price of new and remanufactured products cannot exceed the demand of the market. Thus, in decentralized decisions, profits of the manufacturer are greater than those of the retailer. The figure also shows that the rise in the recovery rate results in the increased optimal profits of supply chain members in each decision. With the rise in recovery rate, the rising range of profits slows down, which conforms to the reality. With the rise in recovery rate, the market tends to be saturating gradually.

From Figure 5 and Figure 6, it is evident that with varying recovery rate and remanufacturing rate, profits of supply chains in centralized decisions are apparently higher than those in decentralized decisions, which conforms to reality. In centralized decisions, to maximize profits the manufacturer and the retailer collaborate and make decisions as a whole, and adjust the sale price of new and remanufactured products to achieve optimal profits. In decentralized decisions, to maximize their individual profits, the manufacturer and the retailer would not take the profits of other supply chain members into account when they set the sale price and wholesale price for new and remanufactured products. At the moment, the sale price and wholesale price cannot achieve the equilibrium. It is bound to increase the retailer’s purchasing cost if the manufacturer maximizes the profit. The manufacturer’s profits diminish when the retailer maximizes its profit.

AS Figure 7,for a better understanding of the impact of recovery rate  on the optimal profits when WTP varies between new and remanufactured products, the numeric assumptions above are still deployed to construct a three-dimensional diagram that shows the effects of variations of both rates on the optimal profits. It depicts the impact of uncertain recovery rate and the remanufacturing rate on the total profits of supply chains with WTP. The diagram illustrates that the total profits of the manufacturer increase in centralized decisions when the remanufacturing rate and recovery rate are on the rise.

Figure-7. The impact of changing remanufacturing and recovery rate on optimal profits.

6. COORDINATING METHOD

The so-called supply chain coordination means that participants on the nodes of supply chains operate to achieve maximal profits on the basis of information-sharing and a risk-neutral approach. The analysis of the model and the numeric examples show that there is loss of system efficiency in decentralized decisions. Thus, in this study the contract of sharing profits is deployed to share profits and recycling cost so that the total profits of the closed-loop supply chains are coordinated; the dual margin effects of supply chains are eliminated, and the overall profits of supply chain in decentralized decision can approximate those in centralized decisions.

7. CONCLUSIONS

The pricing strategy in closed-loop supply chains is a major concern because the concept of sustainable development and cyclic economy conform to the demand of the market and consumers. Prior research has been concerned with the interactions among individual nodes in inverse supply chains, focusing on the discrepancy of WTP in profits of the overall supply chains and the impact of the recovery rate on the pricing strategy on the overall supply chain. Nonetheless, most previous studies have noted that all used products can be recycled and then they can be completely remanufactured. Few studies consider that the remanufacturing rate is not certain, and not all recycled products can be used for remanufacturing. This article constructs a model of the closed-loop supply chain consisting of a single manufacturer and a single retailer when WTP varies. It examines the impact of the change in the recovery rate and remanufacturing rate on the pricing strategy of closed-loop supply chains in centralized and decentralized decisions. In this model, the retailer recycles and the manufacturer engages in remanufacturing. The analyses of the model and examples show that in centralized and decentralized decisions, the rise in the remanufacturing rate leads to lower price and increased production of new and remanufactured products so as to satisfy the demand of varying consumers and maximize the profits of supply chains. The rise in the recovery rate results in lower price of new and remanufactured products in supply chains. At the moment, the change in the remanufacturing rate can affect the decrease of the price. The increased remanufacturing rate leads to greater decrease in prices. In terms of profits of closed-loop supply chains, the rise in the recovery rate results in increased optimal profits for the whole closed-loop supply chains in these two modes. At the same time, profits of supply chains in centralized decisions are greater than those in decentralized decisions. In decentralized decisions, the manufacturer serves as the leader in the channel, whose optimal profits are obviously greater than those of the retailer. The rise in the remanufacturing rate also results in increased optimal profits for the whole of the closed-loop supply chains. At the moment, profits of supply chains in centralized decisions are greater than those in decentralized decisions, which suggests that WTP for new and remanufactured products differs, the remanufacturing opportunity is conducive to the manufacturer and retailer in the node of supply chains and profitable for the overall supply chains. This article puts forward the coordinating method to address the efficiency loss in the supply chain system in decentralized decisions. On the basis of profit-sharing contracts, it is proposed that different wholesale prices tend to make the efficiency in decentralized decisions equal to the total profits in centralized decisions. This can practically shed light on enterprises which can maximize their profits through regulating wholesale prices.

However, there are some limitations in this study. This article only considers the closed-loop supply chain consisting of a single manufacturer and a single retailer; however, our future study can investigate complicated closed-loop supply chains composed of duopoly manufacturers and retailers, and also multiple manufacturers and retailers may compete. The impact of the remanufacturing rate and the recovery rate on the pricing strategy of closed-loop supply chains can also be examined in the context of competition. Meanwhile, it is assumed that all participants are risk neutral and pursue profits and have access to the same information; nevertheless, participants in reality may have asymmetrical information, and our future study may involve participants with asymmetrical information. This article merely considers the pricing strategy of closed-loop supply chains in a single period, whereas our future research may concern the pricing model in two periods.

Funding: This research was supported by the National Natural Science Foundation of China under Grant Nos. 71771080, 71172194, 71521061, 71790593, 71642006, 71473155, 71390335 and 71571065.
Competing Interests: The authors declare that they have no competing interests. 
Acknowledgement: All authors contributed equally to the conception and design of the study.

REFERENCES

Agrawal, V.V., A. Atasu and K. Van Ittersum, 2015. Remanufacturing, third-party competition, and consumers' perceived value of new products. Management Science, 61(1): 60-72.Available at: https://doi.org/10.1287/mnsc.2014.2099.

Atasu, A., M. Sarvary and L.N. Van Wassenhove, 2008. Remanufacturing as a marketing strategy. Management Science, 54(10): 1731-1746.Available at: https://doi.org/10.1287/mnsc.1080.0893.

Chen, J.-M. and C.-I. Chang, 2013. Dynamic pricing for new and remanufactured products in a closed-loop supply chain. International Journal of Production Economics, 146(1): 153-160.Available at: https://doi.org/10.1016/j.ijpe.2013.06.017.

Choi, T.-M., Y. Li and L. Xu, 2013. Channel leadership, performance and coordination in closed loop supply chains. International Journal of Production Economics, 146(1): 371-380.Available at: https://doi.org/10.1016/j.ijpe.2013.08.002.

Chuang, C.-H., C.X. Wang and Y. Zhao, 2014. Closed-loop supply chain models for a high-tech product under alternative reverse channel and collection cost structures. International Journal of Production Economics, 156: 108-123.Available at: https://doi.org/10.1016/j.ijpe.2014.05.008.

Debo, L.G., L.B. Toktay and L.N. Van Wassenhove, 2005. Market segmentation and product technology selection for remanufacturable products. Management Science, 51(8): 1193-1205.Available at: https://doi.org/10.1287/mnsc.1050.0369.

Ferguson, M.E. and L.B. Toktay, 2006. The effect of competition on recovery strategies. Production and Operations Management, 15(3): 351-368.

Fruchter, G.E. and S. Kalish, 1997. Closed-loop advertising strategies in a duopoly. Management Science, 43(1): 54-63.Available at: https://doi.org/10.1287/mnsc.43.1.54.

Guide, J.V.D.R., R.H. Teunter and L.N. Van Wassenhove, 2003. Matching demand and supply to maximize profits from remanufacturing. Manufacturing & Service Operations Management, 5(4): 303-316.Available at: https://doi.org/10.1287/msom.5.4.303.24883.

Guo, J., B. LI and M. NI, 2012a. Pricing strategies and coordination mechanism of closed-loop remanufacturing supply chain with WTP differentiation. Journal of System Management, 21(5): 617-624.

Guo, J.H., B.Y. Li and M. Ni, 2012b. The selection of remanufacturing recycling model based on uncertain demand and WTP differentiation. Soft Science, 26(4): 131-135.

Han, X.P., D.Y. Chen and D.H. Chen, 2015. Products difference pricing strategy of closed-loop supply chain with remanufacturing rate random. Control & Decision, 30(11): 2019-2024.

He, Y., 2015. Acquisition pricing and remanufacturing decisions in a closed-loop supply chain. International Journal of Production Economics, 163: 48-60.Available at: https://doi.org/10.1016/j.ijpe.2015.02.002.

Kuhn, H.W. and A.W. Tucker, 1951. Nonlinear programming. Proceedings of 2nd Berkeley Symposium Berkeley: University of California Press.

Langella, I.M., 2007. Heuristics for demand-driven disassembly planning. Computers & Operations Research, 34(2): 552-577.Available at: https://doi.org/10.1016/j.cor.2005.03.013.

Li, X., Y. Li and X. Cai, 2015. Remanufacturing and pricing decisions with random yield and random demand. Computers & Operations Research, 54: 195-203.Available at: https://doi.org/10.1016/j.cor.2014.01.005.

Li, X., Y.J. Li and S. Saghafian, 2013. A hybrid manufacturing/remanufacturing system with random remanufacturing yield and market-driven product acquisition. IEEE Transactions on Engineering Management, 60(2): 424-437.Available at: https://doi.org/10.1109/tem.2012.2215873.

Liang, Y., S. Pokharel and G.H. Lim, 2009. Pricing used products for remanufacturing. European Journal of Operational Research, 193(2): 390-395.

Mcguire, W. and R. Staelin, 1983. An industry equilibrium analysis of downstream vertical integration. Marketing Science, 27(1): 115-130.Available at: https://doi.org/10.1287/mksc.1070.0335.

Michaud, C. and D. Llerena, 2011. Green consumer behaviour: An experimental analysis of willingness to pay for remanufactured products. Business Strategy and the Environment, 20(6): 408-420.

Mitra, S. and S. Webster, 2008. Competition in remanufacturing and the effects of government subsidies. International Journal of Production Economics, 111(2): 287-298.Available at: https://doi.org/10.1016/j.ijpe.2007.02.042.

Savaskan, R.C., S. Bhattacharya and L.N. Van Wassenhove, 2004. Closed-loop supply chain models with product remanufacturing. Management Science, 50(2): 239-252.Available at: https://doi.org/10.1287/mnsc.1030.0186.

Shi, J., G. Zhang and J. Sha, 2011. Optimal production and pricing policy for a closed loop system. Resources, Conservation and Recycling, 55(6): 639-647.Available at: https://doi.org/10.1016/j.resconrec.2010.05.016.

Shi, L., Z. Sheng and F. Xu, 2015. The dynamics of competition in remanufacturing: A stability analysis. Economic Modelling, 50: 245-253.Available at: https://doi.org/10.1016/j.econmod.2015.07.002.

Webster, S. and S. Mitra, 2007. Competitive strategy in remanufacturing and the impact of take-back laws. Journal of Operations Management, 25(6): 1123-1140.Available at: https://doi.org/10.1016/j.jom.2007.01.014.

Wu, C.H., 2012a. Price and service competition between new and remanufactured products in a two-echelon supply chain. International Journal of Production Economics, 140(1): 496-507.Available at: https://doi.org/10.1016/j.ijpe.2012.06.034.

Wu, C.H., 2012b. Product-design and pricing strategies with remanufacturing. European Journal of Operational Research, 222(2): 204-215.Available at: https://doi.org/10.1016/j.ejor.2012.04.031.

Xiang, L.I., L.I. Yong-Jian and X.Q. Cai, 2009. Collection pricing decision in a remanufacturing system considering random yield and random demand. Systems Engineering-Theory & Practice, 29(8): 19-27.

Xiong, Y. and G. Li, 2013. The value of dynamic pricing for cores in remanufacturing with backorders. Journal of the Operational Research Society, 64(9): 1314-1326.Available at: https://doi.org/10.1057/jors.2012.124.

Xiong, Y., Y. Zhou, G. Li, H.-K. Chan and Z. Xiong, 2013. Don’t forget your supplier when remanufacturing. European Journal of Operational Research, 230(1): 15-25.Available at: https://doi.org/10.1016/j.ejor.2013.03.034.

Xu, B. and M. Wu, 2011. Decision models of product remanufacturing,pricing and analysis of supply chain coordination. Operations Research & Management Science, 20(2): 57-63.

Yan, N.N., 2012. Dynamic models and coordination analysis of reverse supply chain with remanufacturing. International Colloquium on Computing,communication, Control, and Management, 24(8): 1357-1363.Available at: https://doi.org/10.1016/j.phpro.2012.02.202.

Zhang, C.-T. and M.-L. Ren, 2016. Closed-loop supply chain coordination strategy for the remanufacture of patented products under competitive demand. Applied Mathematical Modelling, 40(13-14): 6243-6255.Available at: https://doi.org/10.1016/j.apm.2016.02.006.

Zhao, H., 2000. Raising awareness and signaling quality to uninformed consumers: A price-advertising model. Marketing Science, 19(4): 390-396.Available at: https://doi.org/10.1287/mksc.19.4.390.11788.

Zhao, J., W.Y. Liu and J. Wei, 2013. Pricing and remanufacturing decisions of a decentralized fuzzy supply chain. Discrete Dynamics in Nature & Society, 2013(2013): 1-10.

Views and opinions expressed in this article are the views and opinions of the author(s), International Journal of Management and Sustainability shall not be responsible or answerable for any loss, damage or liability, etc. caused in relation to/arising out of the use of the content.