Index

Abstract

Commodities have become a new tool for global diversification among stocks, currencies, and other assets. Their dynamics and statistical characteristics have become crucial to financial research. Furthermore, in the connected world of today, the importance of uncertainties is greater than ever. This article examines the comovements between energy commodities and the influence of uncertainty measures through the bi, partial and multiple wavelet techniques. We show the significance of uncertainties by highlighting their influence on financial decisions.  To measure uncertainty, we use GEPU, OVX, and VIX. By using the wavelet approaches, we examine how energy commodities interact in both the time and frequency domains, which helps us better comprehend interdependencies. The results show that most energy commodities display high comovements in the short-, and long-terms, except with natural gas. According to the partial wavelet, OVX has the most significant impact on the connectedness amongst energy commodities. For the wavelet multiple cross-correlations, Petroleum maximises the multiple cross-correlations at most scales (short, medium and long terms) followed by Brent crude with a potential to lead or lag. These findings have substantial policy implications for policymakers as well as meaning for investors.

Keywords: Bi-wavelet, Energy commodity, Multiple wavelet, Partial wavelet, Time-Frequency domain, Uncertainty measures.

Received: 28 November 2022 / Revised: 20 January 2023/ Accepted: 31 January 2023/ Published:17 February 2023

Contribution/ Originality

We contribute to literature by investigating the partial impact of uncertainty indices on the highly interconnected individual energy commodities as well as the degree of integration in the midst of uncertainty indices simultaneously in time and frequency domain using the wavelet approaches.

1. INTRODUCTION

Every State, institution, or individual economic entity throughout the world relies heavily on energy commodities. Energy commodities like natural gas and oil are key inputs in a wide range of modern economies' industrial processes and affect marketplaces and participants who operate on them (Halkos & Tsirivis, 2019; Vacha & Barunik, 2012).

In recent times, connectedness within energy markets, as well as with other commodities has inspired a large body of research due to its importance and ramifications for the economy (Albulescu, Tiwari, & Ji, 2020; Badshah, Demirer, & Suleman, 2019; Czech & Wielechowski, 2021; Elsayed, Nasreen, & Tiwari, 2020; Rehman, Bouri, Eraslan, & Kumar, 2019) . Commodities have also become a useful instrument for the worldwide diversification of bonds, currencies, and stocks and studying the statistical and dynamic characteristics of energy commodities is an essential component of financial analysis for investment decisions. However, the partial impact of uncertainties on the comovements between energy commodities and their degree of integration have not been investigated by prior studies. This nexus is needed to ascertain the degree to which diversification, safe haven, or hedge benefits could be investigated within the energy commodities in tandem with the uncertainty indices.

Uncertainty is an inherently unobservable term that has a significant impact on economic environment. According to Driesprong, Jacobsen, and Maat (2008), uncertainty over energy commodities has a significant impact on the economy because they are critical to various sectors. Adjustments in interest rates, downstream inflationary pressures, and transfer of income between importing and exporting oil economies resulting in exchange currency volatility are all caused by uncertainties (Albulescu, Demirer, Raheem, & Tiwari, 2019; Lizardo & Mollick, 2010).

Furthermore, uncertainties in energy commodities reduce aggregate output, investment, long-term consumption, and production cost changes leading to unexpected price shocks which lead to alterations in money demand and rebalancing of the industrial structural mix (Andreasson, Bekiros, Nguyen, & Uddin, 2016; Elder & Serletis, 2010; Zhu, Chen, Hau, & Chen, 2021) . West Texas Intermediate (WTI) oil, electricity, heating oil, emissions and natural gas are exchange-traded resources with persistent short- and long-term price swings (Benedetto, Giunta, & Mastroeni, 2016).  These swings reflect the unpredictability of energy commodities in the financial markets and across the economy (Benedetto, Mastroeni, Quaresima, & Vellucci, 2020). This has also induced researchers to examine comovements of energy commodities with other uncertainty indices (Andreasson et al., 2016; Asafo-Adjei., Adam, & Darkwa, 2021; Badshah et al., 2019; Dimitrios Bakas & Triantafyllou, 2019; Huang, Li, Zhang, & Chen, 2021; Su, Lu, & Yin, 2018) .

Specifically, we employ three uncertainty indices to show the volatilities within the energy commodities, volatilities from other financial markets, and volatilities from external policy shocks. These are – US economic policy uncertainty (EPU), crude oil volatility index (OVX), and the Chicago Board Options Exchange (CBOE) Volatility Index (VIX).

Economic policy uncertainty deals with the future status of an economy in terms of monetary policy, fiscal policy, and regulations. Pastor and Veronesi (2012)’s theory indicated that unpredictability in government economic policies leads to asset price correlation and increased volatility. Frankel (2008) demonstrated the significance of monetary policy in determining commodity prices. The connection between EPU and commodity prices was also strengthened by Frankel's argument on monetary policy as an element of economic policy.

In addition, economic policy uncertainties have a range of concerns such as conflicts in regulations, conflicts over inequality of income distribution, fluctuations in global prices, and others (Mokni, Al-Shboul, & Assaf, 2021). EPU tends to influence volatilities in energy markets (Adekoya, Oliyide, & Noman, 2021; Oliyide, Adekoya, & Khan, 2021). For instance, the volatility of oil prices is mainly fueled by political uncertainty – United States (US) and Iran sanctions, terrorists attacks in the Arab nations, etc. and of course the covid-19 (which crashed the crude oil market). Kang, Ratti, and Vespignani (2017) separate non-US from US oil supply shocks and investigate their various effects on the US EPU. It was discovered that oil supply shocks in the US have a positive impact on EPU, but a negative impact on non-US supply shocks. However, Reboredo and Uddin (2016) found no joint movement between energy prices and EPU after financial pressure is controlled.

The crude oil implied volatility index (OVX), published by CBOE, is a clear and accurate indicator of energy shocks, specifically, oil price shocks (Dutta, Bouri, & Saeed, 2021). It is widely considered a more direct and accurate gauge of oil prices volatility than historical price series, bringing a fresh viewpoint to the study of oil price volatility (Campos, Cortazar, & Reyes, 2017; Maghyereh, Awartani, & Bouri, 2016).

Importantly, OVX provides relevant data for projecting crude oil price volatility, making it a valuable volatility tool for investors and regulators (Chatrath, Miao, Ramchander, & Wang, 2015; Dutta et al., 2021; Troster, Bouri, & Roubaud, 2019) . Furthermore, because the OVX options and futures are available now, investors can take advantage of extra profit potential by investing in these products when the oil market is volatile. As a result, OVX research is more realistic. According to Dutta (2017), the OVX index, which measures oil market volatility, has a considerable impact on clean energy market performance. OVX, therefore, has a potential influence on other energy commodities due to the increased integration among the energy commodities.

The US stock market volatility index (VIX) is a key indicator of global stock market uncertainty. VIX, also known as fear index, has become one of the most widely watched financial market metrics (Bašta & Molnár, 2019). Because of the VIX index's enormous popularity and significance, analogous indexes have been developed for other equities (Bugge, Guttormsen, Molnár, & Ringdal, 2016), as well as commodities (Birkelund, Haugom, Molnár, Opdal, & Westgaard, 2015).

As a result, research based on implied volatility can aid the understanding of how risk expectations are transferred from one market to the next (Dutta, 2018). Such research is becoming more common; for example, Sari, Soytas, and Hacihasanoglu (2011) discovered that VIX has a large lowering long run influence on oil prices. In addition, Bouri (2015) argues that shocks in oil prices can be transmitted into equity markets, resulting in acute financial market instability and long-term economic disruptions. Because uncertainties could migrate from the US VIX to energy industries and crude oil, using VIX is critical. For example, Liu, Ji, and Fan (2013) establish that the US VIX is a force driving OVX. Maghyereh et al. (2016) also show that there is a strong link between the US VIX and the OVX. This suggests that VIX has a considerable influence on energy markets.

While many works have been conducted in this field, the majority centered on the effect of a single uncertainty index on commodity markets (Al-Thaqeb & Algharabali, 2019; Albulescu, Demirer, Raheem, & Tiwari, 2018; Andreasson et al., 2016; Bakas & Triantafyllou, 2020; Frimpong et al., 2021; Karabulut, Bilgin, & Doker, 2020; Zhu et al., 2021) . However, different uncertainty indices have been revealed to have both a positive and negative nexus with energy commodities (Zhu, Huang, Wang, & Hau, 2020). To minimize the myopic view of the uncertainty-energy markets nexus, a reasonable number of uncertainty indices should be employed to examine the comovements with energy markets.

Using news implied volatility (NVIX), Su et al. (2018) examined the global influence of oil prices and three typical oil shocks. The outcome reveals that oil prices play a long run  significant  impact on NVIX. They also discovered that the rules of co-movement between news-based uncertainty and prices of oil vary in frequency and time. The authors did not consider the role played by OVX and EPU which has a considerable effect on energy commodities (Al-Yahyaee, Rehman, Mensi, & Al-Jarrah, 2019).

Bakas and Triantafyllou (2020) investigated the World Pandemic Uncertainty Index (WPUI) impact on commodity market volatility using vector autoregression (VAR) model and report a significant negative influence of WPUI on the oil market. Similarly, the research by Zhu et al. (2020) investigated the time-frequency connectedness of Chinese commodity markets, EPU and WTI from 2004 to 2020 using connectedness networks and rolling window wavelet vector autoregression and documented that connectedness amongst commodities, oil and EPU become stronger as the time frame rises. Besides that, the net interconnectivity of WTI and EPU was affirmative, signaling that WTI and EPU are information contributors and will have an impact on financial markets over time. This is similar to the study of Wang and Kong (2021). The analysis was restricted to the use of only EPU as an uncertainty index without considering other forms of uncertainty indices.

Few researches, however, have examined the influence of different uncertainty indicators on commodity markets (Bilgin, Gozgor, Lau, & Sheng, 2018; Dutta et al., 2021; Huang et al., 2021; Qin, Su, Hao, & Tao, 2020; Xu, Fu, & Lau, 2021) investigated the asymmetric uncertainty measure effect on gold by analyzing the determinants of gold prices on four uncertainty indicators using Autoregressive Distributed Lag Model (ARDL) model. The findings suggest that a rise in gold prices is linked to a deterioration of economic policy uncertainty. When economic policy conditions improve, however, prices of gold are less likely to decline. The study of Bilgin et al. (2018), however, concentrated on precious metals, still creating a myopic view of the uncertainty-energy nexus.

Applying wavelet methodology, Qin et al. (2020) explored the time-varying connections between U.S., monetary, trade, and fiscal EPUs and oil prices. The empirical finding reveals that EPU has both negative and positive implications on oil prices, indicating that the US economy's policy uncertainty might affect the oil market. The positive impact on EPU demonstrates that the oil bull market increases policy uncertainties. Notwithstanding, despite the limited use of the uncertainty indices, the findings provided on the coronavirus pandemic were  premature. Xu et al. (2021) present a unique index of world market for energy uncertainties and evaluate its effect on oil pricing by employing a Factor Augmented Vector Autoregression model. The findings show that real oil prices are sensitive to aggregate energy market uncertainty shocks, and are particularly influenced in the case of unexpectedly high demand for alternative energy sources.

The impact of many uncertainty indices on only one commodity was the subject of these publications. To fully understand the influence of uncertainties in the energy markets (Crude oil, Petroleum, Gasoline, Natural Gas, Brent crude, and Heating oil), the current article investigates three categories of uncertainty shocks: stock market volatility (VIX), crude oil volatility index (OVX) and economic policy uncertainty (EPU).

Subsequently, empirical literature have examined price volatility among metal, agriculture and energy commodities prices using methods like factor models, Generalized Autoregressive Conditional Heteroskedasticity (GARCH) (Dynamic Conditional Correlation (DCC)-GARCH, Asymmetric Dynamic Conditional Correlation (ADDC)-GARCH, Exponential GARCH, Integer-valued  GARCH), Entropy, VAR model, Copula, ARDL, etc. (Albulescu et al., 2020; Badshah et al., 2019; Barbaglia, Wilms, & Croux, 2016; Benedetto et al., 2016; Czech & Wielechowski, 2021; Ji, Bouri, Roubaud, & Kristoufek, 2019; Naeem, Balli, Shahzad, & De Bruin, 2020) with few employing wavelet (Frimpong et al., 2021; Mensi, Rehman, & Vo, 2020; Raza, Shahbaz, Amir-ud-Din, Sbia, & Shah, 2018; Rehman. & Kang, 2021) .

The conditional relationships among energy commodity futures traded on the New York Mercantile Exchange were assessed by Marzo and Zagaglia (2008), who found the association between crude oil and natural gas futures increased from 1990 to 2005. However, the relationship is poor in two-thirds of the sample, implying that these two commodity futures have quite different pricing mechanisms.

Vacha and Barunik (2012) reveal that crude oil, heating oil and gasoline strongly comoves from 1993 to 2010 using a wavelet coherence technique. Natural gas also appears to be unrelated to the other commodities, according to the researchers. The study of Vacha and Barunik (2012) does not reveal the current situation of the impact of COVID-19 period on the nexus between uncertainty indices and energy commodities. Lin and Li (2015) used the Vector Error Correction Model (VECM) to investigate spillovers and price between oil and natural gas markets volatility in the US, Europe, and Japan and find that these markets decoupled following the global financial crisis. This study did not consider the time-frequency connectedness for the uncertainty indices and energy commodities.

Employing a time domain connectedness metric, Elsayed et al. (2020) examined the trends of spillovers of stock prices with seven main global energy market volatilities. The study's major conclusions are that shocks from oil are exogenous and that its volatility has a minor impact on financial markets worldwide. The returns of the World Energy and Stock Indices are important volatility transmitters in the clean energy industry. Furthermore, the paper by Albulescu et al. (2020) discovered a greater connection between other commodities and energy at lower tails, by using a copula-based, Kendall's tau technique to evaluate local non-linear dependency areas with an emphasis on local co-movements. They concluded that exceptional market bull events can provide risk management diversification solutions to the energy market.

Wavelet techniques, for the purpose of analysis, are employed for a good assessment of nonlinear time-frequency connections between series in bi-wavelet analysis. We also apply partial wavelets as an extension of wavelet techniques to assess the influence of uncertainty on energy commodities comovements. Financial traders can use this approach to zanalyze short-, medium-, and long-term comovements, and policymakers can use it to analyze long-run comovements dynamics. In this scenario, the wavelet coherence technique tends to effectively assess comovements throughout diverse times and frequencies, from high to low frequency (Al-Yahyaee et al., 2019; Nkrumah-Boadu, Owusu Junior, Adam, & Asafo-Adjei, 2022).

Previous studies on the co-movement of energy commodities used methodologies that lacked the desirable qualities of Polanco-Martínez and Fernández-Macho (2014) wavelet multiple cross-correlations (WMCC) and wavelet multiple correlations (WMC). There are several benefits to using this strategy. Apart from the usual benefits of wavelet approaches, the multivariate wavelets framework based on the Maximal Overlap Discrete Wavelet Transform (MODWT) provides a variety of extra advantages (Fernández-Macho, 2012).

This approach integrates everything into one graphic, making it easier to analyze the data. Second, pinpointing the time lag at which the strongest correlation values are concentrated is easy. Furthermore, on the right side of each wavelet scale, the name of the variable that maximizes the numerous cross-correlations against a linear combination of the other variables is indicated directly (Asafo-Adjei, Owusu Junior, & Adam, 2021; Owusu Junior et al., 2021; Tweneboah & Alagidede, 2018) . This method is unquestionably an appropriate and competent empirical tool since it provides useful information on both the frequency components and time-lags of the degree of integration among energy commodities and uncertainties. Due to the relevance of speculative, policymaking and investing information for decision-making, it can be quite beneficial to be able to retrieve such information from non-stationary price rewards (Owusu Junior, Tweneboah, & Adam, 2019; Owusu Junior, Adam, & Tweneboah, 2017; Tweneboah & Alagidede, 2018; Tweneboah, Owusu Junior, & Oseifuah, 2019) . This is done to accurately describe market participants' various investment time-frequencies (Asafo-Adjei et al., 2021), which is consistent with the Heterogenous Market Hypothesis (HMH) (Müller et al., 1997). Again, according to Lo (2004) Adaptive Market Hypothesis (AMH), markets fluctuate as a result of structural changes and events, and with time for market efficiency.

Accordingly, the significance of COVID-19 cannot be underestimated in this study report as it has had a massive impact on energy markets, with carbon emissions and primary energy falling at the fastest rates ever seen. In 2020, primary energy usage declined by 4.5 percent, the greatest drop since 1945. Oil was the main driver of the drop in energy use, accounting for about three-quarters of the net decrease, though natural gas and coal also saw large drops. The United States, India, and Russia were the countries with the greatest reductions in energy use. China had the greatest rise (2.1%) and was one of only a few countries in 2019 that had an increase in the consumption of energy (BP Statistical Review of World Energy, 2021). International commodity prices also plummeted due to the pandemic (Bildirici, Guler Bayazit, & Ucan, 2020; Czech, Wielechowski, Kotyza, Benešová, & Laputková, 2020; Goodell, 2020; Okorie & Lin, 2020; Rajput et al., 2021; Zhang, Hu, & Ji, 2020) . Thus, the coronavirus has been connected to an extraordinary shock that has disturbed the distribution of commodities (Ezeaku & Asongu, 2020). One of the catastrophic stock market collapses ever occurred in March 2020 (Mazur, Dang, & Vega, 2021), which was significantly worse than the downturn of the stock market during the global financial crisis, which mirrored the asset price bubble bursting (Anand, Puckett, Irvine, & Venkataraman, 2013).

Numerous researches have been conducted on the influence of the COVID-19 on commodity market (Ashraf, 2020; Benzid & Chebbi, 2020; Czech & Wielechowski, 2021; He, Sun, Zhang, & Li, 2020) . Rajput et al. (2021) detected a dramatic decline in the demand and supply of commodities, energy included, as a result of the pandemic. According to Wagner (2020), COVID-19 is a terrifying and unique risk that has spurred irrational investment behavior. Despite the presence of panic and volatility on commodity markets, movements in commodity prices have been supported by reasonable economic predictions.

The reaction  of the energy commodity market to COVID-19 was studied by Czech and Wielechowski (2021). They believe that variations in stock market volatility have a considerable detrimental impact on the energy commodity market. Moreover, the findings suggest that a spike in the Global Stringency Index causes a drop in the energy index, however, the effect is only noticeable following the shock on the third day.

Specifically in this study, we reveal the extent of coronavirus shocks on the comovements between energy commodities vis-à-vis the influence of important uncertainties indices on the comovements. The COVID-19 period shocks were examined from the episodes of time-frequency analysis between 2019 and 2021. The analysis through the wavelet method inclusive of the COVID-19 period contributes to financial markets' diverse participants’ investment horizons.

We contribute to prior literature on the comovements between the energy markets in many ways. We focus on energy commodities because of the growing importance of energy in tandem with the rise of the futures and options markets (Su et al., 2018). First, we investigate the partial impact of uncertainty indices on highly interconnected energy commodities. This is done to explain the reason for the highly integrated energy commodities (Huang et al., 2021). Second, we examine the degree of integration among energy commodities in the midst of uncertainty indices simultaneously while revealing the extent of lead-lag relationships. To comprehend the distinct impact of uncertainty shocks on commodity pricing, OVX, EPU and VIX indices are employed.  Third, the estimations are performed at time and/or frequency domain considering the wider application of the wavelet approaches. This study aims to unearth new information on the comovements and degree of integration between/and among major energy commodities amid uncertainties on a time-frequency scale, as well as the implications for hedging and diversification.

The results show a high intensity of the comovements between Petroleum and Brent crude oil.  Most energy commodities display high uncertainties from 2014 to 2021 in the short-, and long-term, except with natural gas comovements. This renders diversification within these markets practically impossible. OVX has the most significant impact on the comovements between the energy commodities as it is directly related to energy commodities, and as a result, shocks from one energy commodity cause a contagion to the other, which heightens immediate volatility indices in the energy commodity markets. In addition, VIX is the next volatility transmitter on the comovements between about 10 energy commodities. This indicates that the US EPU has less likelihood of transmitting shocks in the comovements between the energy commodities relative to the other uncertainties. The outcome from the wavelet multiple indicates that Petroleum and Brent crude oil have fluctuating coefficients from 0.97 to 0.99 at diverse time frames demonstrating the highest degrees of co-movement. There is also very high connectivity between the markets in the short to long-terms. This is due to the fact that daily returns in one of these markets may be explained to a degree of roughly 99% by the other markets from intraweek up to scale 64 daily interdependence in energy commodities and uncertainty indices. At most scales, petroleum maximizes several cross-correlations from a linear combination of the remaining markets. In the short and medium run, Brent crude comes in second.

The remaining parts of this paper will be arranged in the following manner. The methods and materials used in this investigation will be explained in Section 2. Section 3 discusses the findings, and Section 4 wraps up the report.

2. MATERIALS AND METHODS

2.1. Wavelet Analysis

The study looks at the co-movement between energy commodities and the impact of uncertainty measures utilizing bivariate, partial and multiple wavelet analyses. The wavelet coherence, partial wavelet coherence (PWC) and wavelet multiple cross-correlations (WMCC) and correlations (WMC) (Gençay, Selçuk, & Whitcher, 2001) are addressed in this section. These techniques have a better feature extraction purpose which also has noise reduction and data compression (Li, Li, Yuan, & Yu, 2020; Pal & Mitra, 2019; Wu, Zhu, Xu, & Yang, 2020) .

2.2. Wavelet Coherence

The absolute value squared of normalizing a wavelet cross spectrum to a single wavelet power spectrum is known as Wavelet Transform Coherence (Grinsted, Moore, & Jevrejeva, 2004). As a result, the wavelet coefficient squared is indicated as:

A score around indicates a weak association, while the one close to 1 denotes a strong relationship. When looking at the time-frequency domain of the series, wavelet shows full co-movement. Furthermore, bias in the wavelet cross spectrum and power, as well as MWC and PWC, are eliminated by the wavelet coherence's normalizing function. Coherence is a useful tool for studying co-movement in the energy markets.

2.3. Phase Difference

We have  describing the phase differences in energy markets. In line with Bloomfield et al. (2004); Wu et al. (2020) and Li et al. (2020), Equation 2 is given as:

As the phase difference between x(t) and y (t) where  represents the imaginary operator and  the real operator. The effects of the wavelet coherence gap are determined by the dimensional phase pattern in the wavelet coherence map. Dimensional arrows are used to separate various phase patterns. If x(t) and y(t) are out-phase, the arrow points to the left (right). Similarly, a downward (upward) pointing arrows signifies that x(t) or y(t) is lagging.

2.4. Partial Wavelet (PWC)

PWC helps in solving “pure” correlation issues between markets. It also removes the effect of a third variable z(t) on the wavelet coherence between x(t) and y(t) (Wu et al., 2020). The partial wavelet technique presents the degree of distortion in the comovements of two variables through time and frequency and does not necessarily dwell on providing causal relationships. We employ the PWC to examine the comovements between energy commodities relative to uncertainty measures – VIX, EPU, OVX (Frimpong et al., 2021; Huang et al., 2021). This is necessary to know the level to which these uncertainty measures can distort or impact the nexus between energy commodities.

The PWC can be defined as:

2.5. Wavelet Multiple

For an extensive presentation of methods, kindly see Boateng et al. (2022), Owusu Junior et al. (2021).

2.6. Empirical Data

The study employed daily prices of Energy Commodity and uncertainty measures. Energy commodities selected for this study comprise; Gasoline, Brent crude, Petroleum, Heating oil, Natural gas, and Crude oil WTI. On the other side, the uncertainty measures are Stock volatility index (VIX), Crude oil volatility (OVX) and Economic policy uncertainty (EPU). The daily data span from July 7th, 2014 to March 31st, 2021 yielding a total of 1676 observations after merging the data to have common dates. This sample period is enough to investigate the nexus among the variables across time and frequency using the wavelet approaches (Asafo-Adjei. et al., 2021). The proposed period was preferred to include the emergence of the coronavirus pandemic. The data on energy commodity and uncertainty measures were obtained from investing.com.

Figure 1. Plots of returns series and indices prices.

Figure 1 presents the graphical representations of price and return series for a few chosen energy commodities and uncertainty metrics. It is possible to assess how changes in energy commodities across the sample period reflect the commodities' inherent price instability. The stationarity of the returns, however, validates the stylized reality of energy returns.

The descriptive statistics for WTI, Heating oil, Petroleum, Natural Gas, Brent crude, Gasoline, EPU, OVX and VIX are shown in Table 1. The returns of the energy commodities and uncertainty metrics are all expressed in United State Dollars. The uncertainty measures have positive average daily returns. The only energy commodity with a positive average daily return is Crude oil WTI, while all other energy commodities have negative average daily returns. OVX outperforms the competition in terms of average daily returns. The standard deviation of Crude oil WTI is the highest and the lowest for Heating oil. This shows that WTI Crude oil is more volatile than the other commodities. The EPU has the largest standard deviation among the uncertainty measurements. A high amount of risk exists in these markets as evidenced by the standard deviation. Heating oil, Brent crude oil, gasoline, and petroleum all show left-skewness whereas the rest show right-skewness, indicating an asymmetric distribution. The data analysis's kurtosis is significantly over 3, indicating the distribution's non-normality by way of its high peaks and fat tails (leptokurtic). The Shapiro-Wilk test for normality determines that the distribution is not normal since it rejects the null hypothesis for all indices.

Table 1. Summary statistics.
Variables
Mean
Std. dev.
Skewness
Kurtosis
Jarque-bera
Norm. W
Brentcrude
-0.001
0.026
-0.795
17.024
13910.34***
0.894
CrudeoilWTI
0.000
0.032
0.259
26.460
38453.73***
0.811
Gasoline
0.000
0.027
-1.413
23.580
30135.39***
0.843
Heatingoil
0.000
0.022
-0.379
9.756
3227.878***
0.935
Naturalgas
0.000
0.031
0.250
7.140
1214.082***
0.955
Petroleum
0.000
0.026
-1.580
28.456
45950.03***
0.847
EPU
0.000
0.597
0.100
5.361
392.1311***
0.982
VIX
0.000
0.085
1.336
10.213
4132.253***
0.921
OVX
0.001
0.063
1.791
35.405
74228.39***
0.828

Note:

[***] indicates non-normal distribution at significance at 1%. Normtest W indicates non-normal distribution.

3. RESULTS AND DISCUSSION

3.1. Time-Frequency Domain

Gouhier, Grinsted, Simko, Gouhier, and Rcpp (2013) biwavelet package gives the codes and interpretations for the analyses.  Right- and left-pointing arrows indicate movement in the same and opposite directions respectively of the financial time series. Left downwards and right upwards arrows mean that the first variable leads. Furthermore, the right downwards and the left upwards arrows show that the second variable leads. The variable to respond to shocks first is the one that leads and vice versa for the variable that lags. The surface color indicates the intensity of the interdependence between the paired series. Red shows parts with significant interactions, whereas blue denotes a lower correlation. The interpretations of the scales are “2–4 days (intra week scale), 4–8 days (weekly scale), 8–16 days (fortnightly scale), 16–32 days (monthly scale), 32–64 days (monthly to quarterly scale), 64–128 days (quarterly to biannual scale), and 128–256 days (biannual to annual scale)” Figures 2 to 5, (Asafo-Adjei et al., 2020; Asafo-Adjei et al., 2021; Owusu Junior et al., 2017; Tweneboah, 2019; Tweneboah et al., 2019) .

Figure 2. Bi-wavelet and partial wavelet coherence between energy commodities with uncertainty measures.

Figure 2 shows the comovements between energy commodities using the bi-wavelet technique, and further provides the influence of uncertainties on the comovements through the partial wavelet. For this reason, we employ six commodities – Crude oil, Gasoline, Petroleum, natural gas, Heating oil, and Brent, and three uncertainty indices – EPU, VIX and OVX. The analysis is presented based on 15 possible combinations of energy commodities. The uncertainty indices are therefore set as controls for each possible combination through the partial wavelet. 

A careful look at Figure 2 depicts that there are high comovements between the energy commodities, and are mostly positive throughout the time-frequency. The intensity of the comovements between the energy commodities reduce as follows – Petroleum-Brent, Heating oil-Petroleum, WTI-Petroleum, Heating oil-Brent, WTI-Brent, Petroleum-Gasoline, WTI-Heating oil, Brent-Gasoline, Heating oil-Gasoline, Brent-Gasoline, Natural gas-Brent, Natural gas-Gasoline, Heating oil-Natural gas, WTI-Natural gas and then Petroleum-Natural gas. This indicates that most energy commodities display high uncertainties from 2014 to 2021 in the short-, and long-term, except for with natural gas comovements. This renders diversification within these markets practically impossible. Consequently, one commodity is likely to transfer or heighten risk within another commodity, except for natural gas which offers diversification benefits with the remaining commodities (Sensoy, Hacihasanoglu, & Nguyen, 2015) . These findings are in line with the study by Vacha and Barunik (2012) ; Albulescu et al. (2020) and Raza et al. (2018) .

Moreover, we notice some diversification potentials for most energy commodities in the medium term (2019-2021). This supports the tendency for COVID-19 pandemic period to offer most financial assets with diversification benefits (Owusu Junior et al., 2021).

This is to say, COVID-19 has altered the dynamics of most markets. The strong and low comovements between most of the energy commodities in time-frequency domain are illustrative of the HMH (Müller et al., 1997) and the AMH (Lo, 2004).

This is because the patterns of interdependencies between the commodities are significantly explained by each other for most time-frequency. Consequently, this may cause an arbitrage where investors can study the pattern of significant comovements to determine their assets allocation and portfolio choices which contradicts the efficient market hypothesis. However, the right-pointing arrows for most commodities are suggestive of homogeneous market dynamics of increasing risks or risk transmission.

In the short-term, WTI, Heating oil, Brent and Petroleum lead at most times. Specifically, the most dominating leading energy commodity is WTI, which leads almost all the commodity indices in the short-term. This is followed by Heating oil which leads Petroleum, Brent and Gasoline, whereas petroleum leads Gasoline and Brent. Brent on the other hand leads only Gasoline.

It can be observed that WTI, Heating oil, Brent, Petroleum and Gasoline lead in the medium and long terms. Thus, natural gas lags the other energy commodities throughout most time-frequency. The heterogeneity in the leading or lagging commodities dynamics across time-frequencies explains the HMH and AMH.

The outcome from Figure 2 on the partial wavelet technique is not surprising. We found that OVX has the most significant effect on the comovements between the energy commodities.

This is because, the OVX is directly related to energy commodities (Benedetto et al., 2020) , and as a result, shocks from one energy commodity cause a contagion to the other, which heightens immediate volatility indices in the energy commodity markets. Consequently, the OVX is capable of transmitting more shocks to the energy commodities as compared to the other uncertainty indices. This assertion contradicts the outcome of Amoako, Asafo-Adjei, Mintah Oware, and Adam (2022) who found that VIX rather has the strongest impact on the comovements between Brazil, Russia, India, China and South Africa (BRICS) stock returns and energy commodities across time and frequency. This is not surprising due to the fact that the US VIX is directly related to equity markets to which BRICS markets are highly susceptible.

In addition, VIX is the next volatility transmitter on the comovements between 6 energy commodities. This indicates that the US EPU has less likelihood of transmitting shocks in the comovements between the energy commodities relative to the other uncertainties. This finding contradicts the study of Qin et al. (2020) . From the aforesaid, OVX better explains the volatilities in the energy markets whereas US EPU is the least volatility transmitter. Table 2 presents the summary of the results.

Table 2. Summary of results.
 Comovements Short-term Medium-term Long-term
Crude oil WTI – Heating oil WTI leads WTI leads WTI leads
Crude oil WTI- Petroleum WTI leads except 2015 & 2017 where Petroleum leads Aside 2015 where petroleum leads, WTI leads WTI leads except in 2017 where Petroleum leads
Crude oil WTI- Natural gas N/A WTI leads WTI leads
Crude oil WTI- Brent crude oil WTI leads Aside 2016 where Brent leads, WTI leads Heating oil leads
Crude oil WTI- Gasoline WTI leads Except for 2016 where Gasoline leads, WTI leads Heating oil leads in 2014 to 2016
Heating oil- Petroleum Heating oil leads Heating leads except for 2019 to 2021 where Heating oil leads Heating oil leads except in 2017 and 2018
Heating oil- Natural gas N/A Heating oil leads Heating oil leads except in 2017 and 2018
Heating oil- Brent crude oil Heating oil leads Brent leads except for 2015 and 2016 where heating oil leads Brent leads in 2014 to 2016 only
Heating oil- Gasoline Heating oil leads Heating oil leads Gasoline leads in 2017 to 2018 only
Natural gas- Brent crude oil N/A Brent leads only in 2014 Brent leads only in 2014 to 2016
Natural gas- Gasoline Natural Gas leads except 2017 where Gasoline leads Gasoline leads only in 2014 and 2015
Natural gas leads only in 2017
Gasoline leads only in 2014 to 2016
Brent crude Oil – gasoline Brent leads Gasoline leads in 2016 to 2017 Gasoline leads only in 2015 to 2017
Petroleum- Natural gas N/A Petroleum leads Petroleum leads
Petroleum – Brent crude oil Petroleum leads Brent leads Brent leads
Petroleum- Gasoline Petroleum leads Petroleum leads Gasoline leads only in 2015 to 2017

Note:

 WTI means West Texas Intermediate and N/A means not applicable.

3.2. Frequency Domain

The meaning of the scales in Figure 3, 4 and 5, are the same as indicated under section 3.1  (Tweneboah, 2019):  Tweneboah et al. (2019).

3.2.1. Bivariate Contemporaneous Correlations (BCC)

The horizontal axis provides the combinations for calculating wavelet correlation coefficients.

The commonalities between the pairs of energy commodities-uncertainty indices nexus weaken as we shift from left to right. The wavelet scales on the vertical axis represent time intervals. The purpose of the bivariate contemporary correlation matrix in this paper addresses the comovements between the realizations of two possible combinations of time series in the wavelet scale. At 7 wavelet scales, the BCCs are considered. Presented beneath each Figure are the codes for the variables.

Figure 3 displays the wavelet correlation matrix for each of the three uncertainty indices with energy commodities across seven scales. This does not appear to differ considerably from the analysis in Figure 2. Specifically, Petroleum and Brent crude oil demonstrate the maximum degrees of co-movement with fluctuating coefficients from 0.97 to 0.99 at various time frames with an average of 0.98 indicating the absence of extreme correlation figures. Generally, the comovements between the energy commodities are strong ranging from 0.6 to 0.97, except natural gas (Sensoy et al., 2015). This means that, in the short-, medium-, and long-term, the advantages of portfolio diversification are lessened among energy commodities other than natural gas. This suggests that a natural-based portfolio has the potential for diversification. Notwithstanding, comovements between the energy commodities and uncertainty indices are more negative from the short-, medium-, and long-terms. This suggests that EPU, OVX and VIX drive more uncertainty among the energy commodities, than the one transmitted by individual commodities. Consequently, investors can hedge against volatilities in the energy commodities using the uncertainty indices.

Comovements between energy commodities and EPU

The variables codes are EPU (C1), WTI (C2), Heating oil (C3), Petroleum (C4), Natural Gas (C5), Brent crude (C6) and Gasoline (C7)

Comovements between energy commodities and OVX

The variables codes are OVX (C1), WTI (C2), Heating oil (C3), Petroleum (C4), Natural Gas (C5), Brent crude (C6) and Gasoline (C7)

Comovements between energy commodities and VIX

The variables codes are VIX (C1), WTI (C2), Heating oil (C3), Petroleum (C4), Natural Gas (C5), Brent crude (C6) and Gasoline (C7)

Figure 3. Wavelet bivariate correlations matrix.

3.2.2. Wavelet Multiple Correlation (WMC)

From the short to the long-term dynamics, a consistent level of relationship between the variables was revealed in Figure 4 and Table 3. Although it shows how the variables are connected overall, it does not always show which variable is leading or lagging. The degree of integration is relatively high as 0.99 for the daily return series. There is a very high association between the markets from the short-, medium-, and long-terms. This is due to the fact that daily returns in one of these markets may be explained to a degree of roughly 99% by the other markets up to scale 64 daily interdependence in the energy commodities and uncertainty indices. It can be inferred that the high integration among the markets is due to the already existing high interconnectedness among the energy commodities.

Figure 1 . Wavelet multiple correlations between energy commodities and uncertainty indices.

Table 1 . Wavelet multiple correlations.
Scale
WMC ‘lower’
Correlation
WMC ‘upper’
WMC ‘lower’
Correlation
WMC ‘upper’
OVX and energy
VIX and energy
1
0.9766
0.9796
0.9821
0.9768
0.9797
0.9822
2
0.9728
0.9775
0.9814
0.9716
0.9765
0.9806
3
0.9733
0.9796
0.9844
0.9727
0.9791
0.9841
4
0.9694
0.9792
0.9859
0.9697
0.9794
0.9860
5
0.9885
0.9934
0.9962
0.9872
0.9927
0.9958
6
0.9952
0.9979
0.9991
0.9964
0.9984
0.9993
7
0.9962
0.9989
0.9997
0.9965
0.9990
0.9997
EPU and energy
All variables
1
0.9767
0.9796
0.9822
0.9768
0.9797
0.9823
2
0.9716
0.9765
0.9806
0.9729
0.9776
0.9815
3
0.9722
0.9788
0.9838
0.9743
0.9804
0.9850
4
0.9691
0.9790
0.9857
0.9711
0.9803
0.9866
5
0.9872
0.9926
0.9958
0.9885
0.9934
0.9962
6
0.9952
0.9979
0.9991
0.9970
0.9987
0.9994
7
0.9962
0.9989
0.9997
0.9965
0.9990
0.9997

 Note:

We present WMC values among energy commodities and uncertainties across frequencies. The values indicate high integration even in the midst of uncertainties.

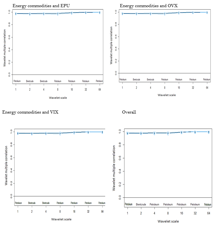
3.2.3. Wavelet Multiple Cross-Correlation (WMCC)

Table 4 depicts the WMCC coefficients for seven wavelet scales. The scales on the y-axis in Figure 5 have identical meanings to those mentioned earlier in the wavelet multiple correlation analysis. The x-axis, on the other hand, reflects the series' lag length. In this situation, the positive and negative lags are each 10 days. To affirm the potential lagging and leading variables, we need both negative and positive data. Localisations at negative lag indicate the leading variable and lagging variable for positive lag at the respective scales. There is no lead or lag at the zero lag of localization (dashed) lines (Owusu Junior et al., 2021).

From Figure 5 Petroleum maximizes the multiple cross-correlations from a linear combination of the remaining markets at most scales. This is followed by Brent crude in the short to medium-terms. Petroleum and Brent crude have the capacity to lead or lag the other markets. In addition to this, Petroleum leads the remaining markets in the long-term for the interdependencies between the energy commodities and VIX as well as all the variables. This signifies that in the long-term, Petroleum leads all the remaining 8 markets, and it is considered the first to respond to shocks. None of the uncertainty indices has the potential to lag or lead. This supports the assertion made by Owusu Junior et al. (2021) that when there are strong interdependencies among markets, it becomes difficult for uncertainties to penetrate among the highly interconnected markets. But the adverse impact of these uncertainty indices on the commodities may become stronger and severe, with successful penetration as revealed from the bivariate case.

  Energy commodities and EPU

Energy commodities and OVX

Energy commodities and VIX

   All variables

Figure 5. Wavelet multiple cross-correlation between energy commodities and uncertainty measures.

Table 2 . Wavelet multiple cross-correlations.
Scale
Localisations
Time lag (Days)
Leading/Lagging variables
Localisations
Time lag (Days)
Leading/Lagging variables
EPU and energy
OVX and energy
1
0.980
0
Brent crude
0.980
0
Brent crude
2
0.977
0
Petroleum
0.978
0
Petroleum
3
0.979
0
Brent crude
0.980
0
Brent crude
4
5
0.979
0
Brent crude
0.979
0
Brent crude
0.993
0
Petroleum
0.993
0
Petroleum
6
0.998
0
Petroleum
0.998
0
Petroleum
7
0.999
0
Petroleum
0.999
0
Petroleum
VIX and energy
All variables
1
0.980
0
Brent crude oil
0.980
0
Brent crude oil
2
0.977
0
Petroleum
0.978
0
Petroleum
3
0.979
0
Brent crude oil
0.980
0
Brent crude oil
4
0.979
0
Brent crude oil
0.980
0
Petroleum
5
0.993
0
Petroleum
0.993
0
Petroleum
6
0.998
0
Petroleum
0.999
0
Petroleum
7
0.999
-1
Petroleum
0.999
-1
Petroleum
Note: We present WMCC values among energy commodities and uncertainties across frequencies. The values indicate either a leading or lagging variables even in the midst of uncertainties. A 0 lag indicates a potential for each variable to lead or lag whereas a negative lag shows an actual lead.

4. CONCLUSIONS

The energy commodity market is characterized by uncertainty and price volatility. This paper applied bi-wavelet, partial wavelet and wavelet multiple techniques to investigate the comovement and degree of integration between energy commodities and the influence of multiple uncertainty measures based on daily data from 2014 to 2021.

From the bi-wavelet technique, the results showed that, in the short-term, WTI, Heating oil, Brent and Petroleum lead at most times. Specifically, the most dominating leading energy commodity is WTI, which leads almost all the commodity indices in the short-term. We found that OVX has the greatest impact on the comovements between the commodities. This is because, the OVX is directly related to energy commodities, and as a result, shocks from one energy commodity cause a contagion to the other, which heightens immediate volatility indices in the energy commodity markets. The work suggests possible diversification opportunities for energy commodities investors in the medium term. They may also inform policymakers as well as governments to effectively regulate their financial markets to suit the energy commodities instability market dynamics. The outcome from the wavelet multiple indicates that Petroleum and Brent crude oil have coefficients between 0.97 to 0.99 at different time scales, an average of 0.98, revealing the absence of extreme correlation figures. There is also  very significant integration between the markets because daily returns in one of these markets can be explained by the other markets by about 99%.. Petroleum again maximizes the WMCC from a linear combination of the remaining markets at most scales. This is followed by Brent crude. Findings from this study imply that policy makers should secure countries' specific energy commodities against uncertainties especially OVX and VIX. Additionally, policies on energy commodities should be finetuned to consider the significant impact of external shocks. This paper concentrated on only energy commodities and three measures of uncertainty. Further research can look at agricultural commodities, metals, cryptocurrencies, etc. The uncertainty measures could also be expanded to include macroeconomic uncertainty, monetary EPU, fiscal EPU, trade EPU, news-based uncertainty, and pandemic uncertainty among others.  Other studies can also consider the flow of information between uncertainties and energy commodities through appropriate decomposition techniques.

Funding: This study received no specific financial support.  

Competing Interests: The authors declare that they have no competing interests.

Authors’ Contributions: All authors contributed equally to the conception and design of the study.

REFERENCES

Adekoya, O. B., Oliyide, J. A., & Noman, A. (2021). The volatility connectedness of the EU carbon market with commodity and financial markets in time-and frequency-domain: The role of the US economic policy uncertainty. Resources Policy, 74, 102252. https://doi.org/10.1016/j.resourpol.2021.102252

Al-Thaqeb, S. A., & Algharabali, B. G. (2019). Economic policy uncertainty: A literature review. The Journal of Economic Asymmetries, 20, e00133. https://doi.org/10.1016/j.jeca.2019.e00133

Al-Yahyaee, K. H., Rehman, M. U., Mensi, W., & Al-Jarrah, I. M. W. (2019). Can uncertainty indices predict Bitcoin prices? A revisited analysis using partial and multivariate wavelet approaches. The North American Journal of Economics and Finance, 49, 47-56. https://doi.org/10.1016/j.najef.2019.03.019

Albulescu, C. T., Demirer, R., Raheem, I. D., & Tiwari, A. K. (2018). On the interaction between oil and commodity currencies: The role of economic policy uncertainty.

Albulescu, C. T., Demirer, R., Raheem, I. D., & Tiwari, A. K. (2019). Does the US economic policy uncertainty connect financial markets? Evidence from oil and commodity currencies. Energy Economics, 83, 375-388. https://doi.org/10.1016/j.eneco.2019.07.024

Albulescu, C. T., Tiwari, A. K., & Ji, Q. (2020). Copula-based local dependence among energy, agriculture and metal commodities markets. Energy Economics, 202, 117762. https://doi.org/10.1016/j.energy.2020.117762

Amoako, G. K., Asafo-Adjei, E., Mintah Oware, K., & Adam, A. M. (2022). Do volatilities matter in the interconnectedness between world energy commodities and stock markets of BRICS? Discrete Dynamics in Nature and Society, 1030567 https://doi.org/10.1155/2022/1030567

Anand, A., Puckett, A., Irvine, P., & Venkataraman, K. (2013). Market crashes and institutional trading: Evidence from US equities during the financial crisis of 2007-08. Journal of Financial Economics, 108, 773-797.

Andreasson, P., Bekiros, S., Nguyen, D. K., & Uddin, G. S. (2016). Impact of speculation and economic uncertainty on commodity markets. International Review of Financial Analysis, 43, 115-127. https://doi.org/10.1016/j.irfa.2015.11.005

Asafo-Adjei, E., Agyapong, D., Agyei, S. K., Frimpong, S., Djimatey, R., & Adam, A. M. (2020). Economic policy uncertainty and stock returns of Africa: A wavelet coherence analysis. Discrete Dynamics in Nature and Society, 8846507. https://doi.org/10.1155/2020/8846507

Asafo-Adjei, E., Adam, A. M., & Darkwa, P. (2021). Can crude oil price returns drive stock returns of oil producing countries in Africa? Evidence from bivariate and multiple wavelet Macroeconomics and Finance in Emerging Market Economies, 1-19. https://doi.org/10.1080/17520843.2021.1953864

Asafo-Adjei, E., Owusu Junior, P., & Adam, A. M. (2021). Information flow between Global Equities and Cryptocurrencies: A VMD-based entropy evaluating shocks from COVID-19 pandemic. Complexity, 4753753. https://doi.org/10.1155/2021/4753753

Ashraf, B. N. (2020). Stock markets’ reaction to COVID-19: Cases or fatalities? Research in International Business and Finance, 54, 101249. https://doi.org/10.1016/j.ribaf.2020.101249

Badshah, I., Demirer, R., & Suleman, M. T. (2019). The effect of economic policy uncertainty on stock-commodity correlations and its implications on optimal hedging. Energy Economics, 84, 104553. https://doi.org/10.1016/j.eneco.2019.104553

Bakas, D., & Triantafyllou, A. (2019). Volatility forecasting in commodity markets using macro uncertainty. Energy Economics, 81, 79-94. https://doi.org/10.1016/j.eneco.2019.03.016

Bakas, D., & Triantafyllou, A. (2020). Commodity price volatility and the economic uncertainty of pandemics. Economics Letters, 193, 109283. https://doi.org/10.1016/j.econlet.2020.109283

Barbaglia, L., Wilms, I., & Croux, C. (2016). Commodity dynamics: A sparse multi-class approach. Energy Economics, 60, 62-72. https://doi.org/10.1016/j.eneco.2016.09.013

Bašta, M., & Molnár, P. (2019). Long-term dynamics of the VIX index and its tradable counterpart VXX. Journal of Futures Markets, 39(3), 322-341. https://doi.org/10.1002/fut.21974

Benedetto, F., Giunta, G., & Mastroeni, L. (2016). On the predictability of energy commodity markets by an entropy-based computational method. Energy Economics, 54, 302-312. https://doi.org/10.1016/j.eneco.2015.12.009

Benedetto, F., Mastroeni, L., Quaresima, G., & Vellucci, P. (2020). Does OVX affect WTI and Brent oil spot variance? Evidence from an entropy analysis. Energy Economics, 89, 104815. https://doi.org/10.1016/j.eneco.2020.104815

Benzid, L., & Chebbi, K. (2020). The impact of COVID-19 on exchange rate volatility: Evidence through GARCH model. Available at SSRN 3612141, 1-15. https://dx.doi.org/10.2139/ssrn.3612141

Bildirici, M., Guler Bayazit, N., & Ucan, Y. (2020). Analyzing crude oil prices under the impact of covid-19 by using lstargarchlstm. Energies, 13(11), 1-18. https://doi.org/10.3390/en13112980

Bilgin, M. H., Gozgor, G., Lau, C. K. M., & Sheng, X. (2018). The effects of uncertainty measures on the price of gold. International Review of Financial Analysis, 58, 1-7. https://doi.org/10.1016/j.irfa.2018.03.009

Birkelund, O. H., Haugom, E., Molnár, P., Opdal, M., & Westgaard, S. (2015). A comparison of implied and realized volatility in the Nordic power forward market. Energy Economics, 48, 288-294. https://doi.org/10.1016/j.eneco.2014.12.021

Bloomfield, D. S., McAteer, R. J., Lites, B. W., Judge, P. G., Mathioudakis, M., & Keenan, F. P. (2004). Wavelet phase coherence analysis: Application to a quiet-sun magnetic element. The Astrophysical Journal, 617(1), 623-632. https://doi.org/10.1086/425300

Boateng, E., Asafo-Adjei, E., Addison, A., Quaicoe, S., Yusuf, M. A., & Adam, A. M. (2022). Interconnectedness among commodities, the real sector of Ghana and external shocks. Resources Policy, 75, 102511. https://doi.org/10.1016/j.resourpol.2021.102511

Bouri, E. (2015). Oil volatility shocks and the stock markets of oil-importing MENA economies: A tale from the financial crisis. Energy Economics, 51, 590-598. https://doi.org/10.1016/j.eneco.2015.09.002

BP Statistical Review of World Energy. (2021). BP statistical review of world energy. Retrieved from: https://www.bp.com/content/dam/bp/business-sites/en/global/corporate/pdfs/energy-economics/statistical-review/bp-stats-review-2021-full-report.pdf .

Bugge, S. A., Guttormsen, H. J., Molnár, P., & Ringdal, M. (2016). Implied volatility index for the Norwegian equity market. International Review of Financial Analysis, 47, 133-141. https://doi.org/10.1016/j.irfa.2016.07.007

Campos, I., Cortazar, G., & Reyes, T. (2017). Modeling and predicting oil VIX: Internet search volume versus traditional mariables. Energy Economics, 66, 194-204. https://doi.org/10.1016/j.eneco.2017.06.009

Chatrath, A., Miao, H., Ramchander, S., & Wang, T. (2015). The forecasting efficacy of risk-neutral moments for crude oil volatility. Journal of Forecasting, 34(3), 177-190. https://doi.org/10.1002/for.2331

Czech, K., & Wielechowski, M. (2021). Energy commodity price response to COVID-19: Impact of epidemic status, government policy, and stock market volatility. International Journal of Energy Economics and Policy, 11(3), 443-453. https://doi.org/10.32479/ijeep.11025

Czech, K., Wielechowski, M., Kotyza, P., Benešová, I., & Laputková, A. (2020). Shaking stability: COVID-19 impact on the Visegrad Group countries’ financial markets. Sustainability, 12(15), 6282. https://doi.org/10.3390/su12156282

Driesprong, G., Jacobsen, B., & Maat, B. (2008). Striking oil: Another puzzle? Journal of Financial Economics, 89(2), 307-327. https://doi.org/10.1016/j.jfineco.2007.07.008

Dutta, A. (2017). Oil price uncertainty and clean energy stock returns: New evidence from crude oil volatility index. Journal of Cleaner Production, 164, 1157-1166. https://doi.org/10.1016/j.jclepro.2017.07.050

Dutta, A. (2018). Oil and energy sector stock markets: An analysis of implied volatility indexes. Journal of Multinational Financial Management, 44, 61-68.

Dutta, A., Bouri, E., & Saeed, T. (2021). News-based equity market uncertainty and crude oil volatility. Energy Economics, 222, 119930. https://doi.org/10.1016/j.energy.2021.119930

Elder, J., & Serletis, A. (2010). Oil price uncertainty. Journal of Money, Credit and Banking, 42(6), 1137-1159. https://doi.org/10.1111/j.1538-4616.2010.00323.x

Elsayed, A. H., Nasreen, S., & Tiwari, A. K. (2020). Time-varying co-movements between energy market and global financial markets: Implication for portfolio diversification and hedging strategies. Energy Economics, 90, 104847. https://doi.org/10.1016/j.eneco.2020.104847

Ezeaku, H., & Asongu, S. (2020). Covid-19 and Cacophony of coughing: Did International commodity Prices catch influenza? European Xtramile Centre of African Studies WP/20/040, 1-16. https://dx.doi.org/10.2139/ssrn.3636399

Fernández-Macho, J. (2012). Wavelet multiple correlation and cross-correlation: A multiscale analysis of Eurozone stock markets. Physica A: Statistical Mechanics and its Applications, 391(4), 1097-1104. https://doi.org/10.1016/j.physa.2011.11.002

Frankel, J. A. (2008). The effect of monetary policy on real commodity prices. Asset Prices and Monetary Policy, 291.

Frimpong, S., Gyamfi, E. N., Ishaq, Z., Kwaku Agyei, S., Agyapong, D., & Adam, A. M. (2021). Can global economic policy uncertainty drive the interdependence of agricultural commodity prices? Evidence from Partial Wavelet Coherence Analysis. Complexity, 1-13. https://doi.org/10.1155/2021/8848424

Gençay, R., Selçuk, F., & Whitcher, B. (2001). Differentiating intraday seasonalities through wavelet multi-scaling. Physica A: Statistical Mechanics and its Applications, 289(3-4), 543-556. https://doi.org/10.1016/S0378-4371(00)00463-5

Goodell, J. W. (2020). COVID-19 and finance: Agendas for future research. Finance Research Letters, 35, 101512. https://doi.org/10.1016/j.frl.2020.101512

Gouhier, T. C., Grinsted, A., Simko, V., Gouhier, M. T. C., & Rcpp, L. (2013). Package ‘biwavelet. Spectrum, 24, 2093-2102.

Grinsted, A., Moore, J. C., & Jevrejeva, S. (2004). Application of the cross wavelet transform and wavelet coherence to geophysical time series. Nonlinear Processes in Geophysics, 11(5/6), 561-566. https://doi.org/10.5194/npg-11-561-2004

Halkos, G. E., & Tsirivis, A. S. (2019). Effective energy commodity risk management: Econometric modeling of price volatility. Economic Analysis and Policy, 63, 234-250. https://doi.org/10.1016/j.eap.2019.06.001

He, P., Sun, Y., Zhang, Y., & Li, T. (2020). COVID–19’s impact on stock prices across different sectors—An event study based on the Chinese stock market. Emerging Markets Finance and Trade, 56(10), 2198-2212. https://doi.org/10.1080/1540496X.2020.1785865

Huang, J., Li, Y., Zhang, H., & Chen, J. (2021). The effects of uncertainty measures on commodity prices from a time-varying perspective. International Review of Economics & Finance, 71, 100-114. https://doi.org/10.1016/j.iref.2020.09.001

Ji, Q., Bouri, E., Roubaud, D., & Kristoufek, L. (2019). Information interdependence among energy, cryptocurrency and major commodity markets. Energy Economics, 81, 1042-1055. https://doi.org/10.1016/j.eneco.2019.06.005

Kang, W., Ratti, R. A., & Vespignani, J. L. (2017). Oil price shocks and policy uncertainty: New evidence on the effects of US and non-US oil production. Energy Economics, 66, 536-546. https://doi.org/10.2139/ssrn.2899963

Karabulut, G., Bilgin, M. H., & Doker, A. C. (2020). The relationship between commodity prices and world trade uncertainty. Economic Analysis and Policy, 66, 276-281. https://doi.org/10.1016/j.eap.2020.05.001

Li, R., Li, S., Yuan, D., & Yu, K. (2020). Does economic policy uncertainty in the US influence stock markets in China and India? Time-frequency evidence. Applied Economics, 52(39), 4300-4316. https://doi.org/10.1080/00036846.2020.1734182

Lin, B., & Li, J. (2015). The spillover effects across natural gas and oil markets: Based on the VEC–MGARCH framework. Applied Energy, 155, 229-241. https://doi.org/10.1016/j.apenergy.2015.05.123

Liu, M. L., Ji, Q., & Fan, Y. (2013). How does oil market uncertainty interact with other markets? An empirical analysis of implied volatility index. Energy Economics, 55, 860-868. https://doi.org/10.1016/j.energy.2013.04.037

Lizardo, R. A., & Mollick, A. V. (2010). Oil price fluctuations and US dollar exchange rates. Energy Economics, 32(2), 399-408. https://doi.org/10.1016/j.eneco.2009.10.005

Lo, A. W. (2004). The adaptive markets hypothesis. The Journal of Portfolio Management, 30(5), 15-29. https://doi.org/10.3905/jpm.2004.442611

Maghyereh, A. I., Awartani, B., & Bouri, E. (2016). The directional volatility connectedness between crude oil and equity markets: New evidence from implied volatility indexes. Energy Economics, 57, 78-93. https://doi.org/10.1016/j.eneco.2016.04.010

Marzo, M., & Zagaglia, P. (2008). A note on the conditional correlation between energy prices: Evidence from future markets. Energy Economics, 30(5), 2454-2458. https://doi.org/10.1016/j.eneco.2008.01.007

Mazur, M., Dang, M., & Vega, M. (2021). COVID-19 and the march 2020 stock market crash. Evidence from S&P1500. Finance Research Letters, 38, 101690. https://doi.org/10.1016/j.frl.2020.101690

Mensi, W., Rehman, M. U., & Vo, X. V. (2020). Spillovers and co-movements between precious metals and energy markets: Implications on portfolio management. Resources Policy, 69, 101836. https://doi.org/10.1016/j.resourpol.2020.101836

Mokni, K., Al-Shboul, M., & Assaf, A. (2021). Economic policy uncertainty and dynamic spillover among precious metals under market conditions: Does COVID-19 have any effects? Resources Policy, 74, 102238. https://doi.org/10.1016/j.resourpol.2021.102238

Müller, U. A., Dacorogna, M. M., Davé, R. D., Olsen, R. B., Pictet, O. V., & Von Weizsäcker, J. E. (1997). Volatilities of different time resolutions—analyzing the dynamics of market components. Journal of Empirical Finance, 4(2-3), 213-239. https://doi.org/10.1016/S0927-5398(97)00007-8

Naeem, M. A., Balli, F., Shahzad, S. J. H., & De Bruin, A. (2020). Energy commodity uncertainties and the systematic risk of US industries. Energy Economics, 85, 104589. https://doi.org/10.1016/j.eneco.2019.104589

Nkrumah-Boadu, B., Owusu Junior, P., Adam, A., & Asafo-Adjei, E. (2022). Safe haven, hedge and diversification for African stocks: cryptocurrencies versus gold in time-frequency perspective. Cogent Economics & Finance, 10(1), 2114171.

Okorie, D. I., & Lin, B. (2020). Crude oil price and cryptocurrencies: Evidence of volatility connectedness and hedging strategy. Energy economics, 87, 104703. https://doi.org/10.1016/j.eneco.2020.104703

Oliyide, J. A., Adekoya, O. B., & Khan, M. A. (2021). Economic policy uncertainty and the volatility connectedness between oil shocks and metal market: An extension. International Economics, 167, 136-150. https://doi.org/10.1016/j.inteco.2021.06.007

Owusu Junior, P., Adam, A. M., Asafo-Adjei, E., Boateng, E., Hamidu, Z., & Awotwe, E. (2021). Time-Frequency domain analysis of investor fear and expectations in stock markets of BRIC economies. Heliyon, e08211. https://doi.org/10.1016/j.heliyon.2021.e08211

Owusu Junior, P., Frimpong, S., Adam, A. M., Agyei, S. K., Gyamfi, E. N., Agyapong, D., & Tweneboah, G. (2021). COVID-19 as information transmitter to global equity markets: Evidence from CEEMDAN-Based transfer entropy approach. Mathematical Problems in Engineering, 8258778. https://doi.org/10.1155/2021/8258778

Owusu Junior, P. O., Tweneboah, G., & Adam, A. M. (2019). Interdependence of major exchange rates in Ghana: A wavelet coherence analysis. Journal of African Business, 20(3), 407-430. https://doi.org/10.1080/15228916.2019.1583973

Owusu Junior, P., Adam, A. M., & Tweneboah, G. (2017). Co-movement of real exchange rates in the West African Monetary Zone. Cogent Economics & Finance, 5(1), 1351807. https://doi.org/10.1080/23322039.2017.1351807

Pal, D., & Mitra, S. K. (2019). Oil price and automobile stock return co-movement: A wavelet coherence analysis. Economic Modelling, 76, 172-181. https://doi.org/10.1016/j.econmod.2018.07.028

Pastor, L., & Veronesi, P. (2012). Uncertainty about government policy and stock prices. The journal of Finance, 67(4), 1219-1264. https://doi.org/10.1111/j.1540-6261.2012.01746.x

Polanco-Martínez, J. M., & Fernández-Macho, F. J. (2014). Package W2CWM2C: Description, features, and applications. Computing in Science & Engineering, 16(6), 68-78. https://doi.org/10.1109/MCSE.2014.96

Qin, M., Su, C. W., Hao, L. N., & Tao, R. (2020). The stability of US economic policy: Does it really matter for oil price? Energy Economics, 198, 117315. https://doi.org/10.1016/j.energy.2020.117315

Rajput, H., Changotra, R., Rajput, P., Gautam, S., Gollakota, A. R., & Arora, A. S. (2021). A shock like no other: coronavirus rattles commodity markets. Environment, Development and Sustainability, 23(5), 6564-6575.

Raza, S. A., Shahbaz, M., Amir-ud-Din, R., Sbia, R., & Shah, N. (2018). Testing for wavelet based time-frequency relationship between oil prices and US economic activity. Energy, 154, 571-580. https://doi.org/10.1016/j.energy.2018.02.037

Reboredo, J. C., & Uddin, G. S. (2016). Do financial stress and policy uncertainty have an impact on the energy and metals markets? A quantile regression approach. International Review of Economics & Finance, 43, 284-298. https://doi.org/10.1016/j.iref.2015.10.043

Rehman, M. U., Bouri, E., Eraslan, V., & Kumar, S. (2019). Energy and non-energy commodities: An asymmetric approach towards portfolio diversification in the commodity market. Resources Policy, 63, 101456. https://doi.org/10.1016/j.resourpol.2019.101456

Rehman, M. U., & Kang, S. H. (2021). A time–frequency comovement and causality relationship between Bitcoin hashrate and energy commodity markets. Global Finance Journal, 49, 100576. https://doi.org/10.1016/j.gfj.2020.100576

Sari, R., Soytas, U., & Hacihasanoglu, E. (2011). Do global risk perceptions influence world oil prices? Energy Economics, 33(3), 515-524. https://doi.org/10.1016/j.eneco.2010.12.006

Sensoy, A., Hacihasanoglu, E., & Nguyen, D. K. (2015). Dynamic convergence of commodity futures: Not all types of commodities are alike. Resources Policy, 44, 150-160. https://doi.org/10.1016/j.resourpol.2015.03.001

Su, Z., Lu, M., & Yin, L. (2018). Oil prices and news-based uncertainty: Novel evidence. Energy Economics, 72, 331-340. https://doi.org/10.1016/j.eneco.2018.04.021

Torrence, C., & Compo, G. P. (1998). A practical guide to wavelet analysis. Bulletin of the American Meteorological Society, 79(1), 61-78. https://doi.org/10.1175/1520-0477(1998)079%3C0061:APGTWA%3E2.0.CO;2

Troster, V., Bouri, E., & Roubaud, D. (2019). A quantile regression analysis of flights-to-safety with implied volatilities. Resources Policy, 62, 482-495. https://doi.org/10.1016/j.resourpol.2018.10.004

Tweneboah, G. (2019). Dynamic interdependence of industrial metal price returns: Evidence from wavelet multiple correlations. Physica A: Statistical Mechanics and its Applications, 527, 121153. https://doi.org/10.1016/j.physa.2019.121153

Tweneboah, G., & Alagidede, P. (2018). Interdependence structure of precious metal prices: A multi-scale perspective. Resources Policy, 59, 427-434. https://doi.org/10.1016/j.resourpol.2018.08.013

Tweneboah, G., Owusu Junior, P., & Oseifuah, E. K. (2019). Integration of Major African Stock Markets: Evidence from multi-scale wavelets correlation. Academy of Accounting and Financial Studies Journal, 23(6), 1-15.

Vacha, L., & Barunik, J. (2012). Co-movement of energy commodities revisited: Evidence from wavelet coherence analysis. Energy Economics, 34(1), 241-247. https://doi.org/10.1016/j.eneco.2011.10.007

Wagner, A. F. (2020). What the stock market tells us about the post-COVID-19 world. Nature Human Behaviour, 4(5), 440-440.

Wang, Y., & Kong, D. (2021). Economic policy uncertainty and the energy stock market: Evidence from China. Energy Research Letters, 3(1), 28171. https://doi.org/10.46557/001c.28171

Wu, K., Zhu, J., Xu, M., & Yang, L. (2020). Can crude oil drive the co-movement in the international stock market? Evidence from partial wavelet coherence analysis. The North American Journal of Economics and Finance, 53, 101194. https://doi.org/10.1016/j.najef.2020.101194

Xu, B., Fu, R., & Lau, C. K. M. (2021). Energy market uncertainty and the impact on the crude oil prices. Journal of Environmental Management, 298, 113403. https://doi.org/10.1016/j.jenvman.2021.113403

Zhang, D., Hu, M., & Ji, Q. (2020). Financial markets under the global pandemic of COVID-19. Finance Research Letters, 36, 101528. https://doi.org/10.1016/j.frl.2020.101528

Zhu, H., Huang, R., Wang, N., & Hau, L. (2020). Does economic policy uncertainty matter for commodity market in China? Evidence from quantile regression. Applied Economics, 52(21), 2292-2308. https://doi.org/10.1080/00036846.2019.1688243

Zhu, H., Chen, W., Hau, L., & Chen, Q. (2021). Time-frequency connectedness of crude oil, economic policy uncertainty and Chinese commodity markets: Evidence from rolling window analysis. The North American Journal of Economics and Finance, 57, 101447. https://doi.org/10.1016/j.najef.2021.101447

Views and opinions expressed in this article are the views and opinions of the author(s), International Journal of Management and Sustainability shall not be responsible or answerable for any loss, damage or liability etc. caused in relation to/arising out of the use of the content.