Index

Abstract

The purpose of this study is to evaluate the impact of corporate social responsibility (CSR) from economic, employee, social and environmental dimensions in a hypothetical company setup. This study employs the fuzzy analytic hierarchy process (FAHP) in which the elements of the pairwise comparison matrix are expressed by triangular fuzzy elements. Furthermore, the classical non-fuzzy methods, such as the eigenvector and geometric mean, were also employed to calculate the weights of the fuzzy comparison matrices. First, some existing literature on CSR and its impact on the internal and external environments were explored. Second, the FAHP goal and the criteria were established, and this was followed by the pairwise comparison using the linguistic scale. Next is the computation of the geometric magnitude and weight of each criterion. Thereafter, the defuzzified and normalized weights were obtained. In the order of priority of CSR activities and their impact on the four identified criteria, alternative 1 (company 1) is ranked first, followed by alternative 2 (company 2), and alternative 3 (company 3) is ranked last. The implementation of CSR activities for companies 1 and 2 reflect positively in their internal and external environments, although to varying degrees. This study provides a practical guided approach for the use of the FAHP for solving a multi-criteria decision, such as ranking the impact of CSR activities in relation to certain criteria. The outcome of this study can guide organizations in making informed decisions regarding the implementation of CSR activities.

Keywords: CSR, Environments, FAHP, Internal and external, Multi-criteria decision.

Received: 1 September 2022 / Revised: 28 December 2022/ Accepted: 8 March 2023/ Published: 5 April 2023

Contribution/ Originality

The novelty of this study lies in the application of the FAHP for the evaluation of the impact of an organization’s CSR activities on the internal and external environments, which has not been sufficiently highlighted in the existing literature.

1. INTRODUCTION

Corporate social responsibility (CSR), according to the European Union Report (2002),is a charitable concept through which an organization integrates the environmental and social needs of the host environment (customers and employees) into its business plan and budgetary allocations in order to impact them in a positive manner. The Commission of the European Communities (2001) defines CSR as a concept whereby an organization voluntarily decides to enhance the host society and the shareholders. The host community needs to ensure that the environment is conducive for efficient organizational operation and, in return, the organization needs to ensure that the operation of the business does not impact the environment negatively through effective CSR activities. Through the implementation of CSR activities, organizations can also contribute positively to the environmental and social well-being of the host community and its customers. For organizations meet their targets and bottom line goal of profitability, they also need to cater to the social well-being of their employees through carefully designed and implemented CSR activities. Gherghina and Vintila (2016) posited that CSR is an indication of an organization’s reaction to social pressures, stakeholders’ needs, social needs, and environmental needs. In addition, corporate social responsibility is a model whereby organizations take responsibility for the effect of their activities on the business environment and take necessary steps to appease stakeholders and enhance the host environment (Obalola, Omoteso, & Adelopo, 2009).

A valuable and robust relationship with shareholders can promote competitiveness and improve the reputation of the organization in a direct manner via the opinions of the stakeholders (Andrija, 2017). Godfrey, Merrill, and Hansen (2009) stressed that there is a link between the implementation of CSR activities and shareholders’ perceptions. The motivation for this study stems from the fact that the banking sector can promote CSR activities within their internal and external environments. In return, this can bring significant improvements to the relationship between customers and employees, an organization’s goodwill and reputation, its relationship with stakeholders and the host environment, business innovation, and risk and human resource management processes, among others.

The theory underpinning this study is the triple bottom line (TBL) theory, which is a CSR model that integrates the three aspects of organizational performance – social, economic and environmental – to obtain sustainable results (Brin & Nehme, 2019). The emphasis of the TBL theory is on sustainability, whereby organizations can achieve sustained profits with long-term social and environmental impacts (Brin & Nehme, 2019). The aim of this study is to examine the impact of an organization’s CSR activities. This study will aid the decision making process of an organization in relation to the economic, employee, social and environmental dimensions. The research questions addressed in this study are as follows:

The rest of the paper is organized as follows: the second section presents an overview of the existing literature, the third section presents the methodology employed in this study, the fourth section comprises the results and discussion, and the last section presents the conclusion and recommendations drawn from the outcome of the study.

2. LITERATURE REVIEW

This section reviews some selected literature on the links between CSR and management control systems (MCS), CSR and organizational performance, and CSR and corporate fraud.

2.1. The Link Between Corporate Social Responsibility and Management Control Systems

The relationship between MCS and CSR is that MCS can plan, direct and implement CSR activities (Arjaliès & Mundy, 2013; Jamali & Neville, 2011; Khojastehpour & Johns, 2014; Kornfeldova, 2011; Kornfeldová & Myšková, 2012; Uvaneswaran, Zemen, & Ahmed, 2019). MCS can also support the translation of CSR activities into purposeful actions through the mobilization of resources, employees’ motivation, and the integration of stakeholders’ opinions. In terms of performance measurement, MCS can monitor the implementation of CSR activities vis-à-vis the organization’s objectives. Hosoda (2017) stated that MCS can ensure that the social and environmental aspects of CSR reflect in the organization’s top-down approach and that the stakeholder-centered approach is integrated into CSR activities through policy implementation. The interactive control system can facilitate discussions among the management, stakeholders and employees so that stakeholders’ opinions can be translated into CSR actions. The informal control system can also provide support for the formal control system in the implementation of CSR activities (Hosoda, 2017).

MCS can use CSR as a strategy to analyze certain organization’s activities in order to implement strategic management practices to minimize risk (Semenova, 2021). Semenova further stated that internal management controls are responsible for the implementation and control of CSR activities. Arjaliès and Mundy (2013) investigated the role of MCS in the management of CSR activities. The outcome of this study shows that MCS is responsible for the management of the opportunities and threats associated with the implementation of CSR. An organization’s MCS is also responsible for the implementation of risk management processes to realize strategic CSR objectives. This finding is in line with that of Gond, Grubnic, Herzig, and Moon (2012), who stated that an integrated MCS can drive the achievement of strategic objectives, thus helping to achieve sustainability. Rodgers, Söderbom, and Guiral (2015) stated that CSR can help to improve the corporate ethical position, thus improving the internal controls. The authors further stated that this can enhance corporate internal governance, enable quick detection of fraud motives and mitigate fraud-related cases. Akinbowale, Klingelhöfer, and Zerihun (2022a) indicated that a functional organization can enhance the development of operational risk measures, HR control, a healthy organization–customer relationship and innovativeness. The management of CSR activities through a robust MCS can promote an organization’s ethical corporate culture. Furthermore, the opportunities, threats and risks associated with CSR implementation can be managed through an organization’s MCS.

2.2. Corporate Social Responsibility and Organizational Performance

CSR is a model that succinctly explains the link between an organization and the business environment, in which stakeholders characterize a significant factor (Castelo, Delgado, Sá, & Sousa, 2014). According to Camilleri (2017), business ethics, corporate accountability, corporate social performance (CSP), the organization’s responsibility, corporate sustainability, corporate value, stakeholder engagement, and stakeholder theory are related to CSR. These concepts stimulate robust connections among the banking sector, the business environment and stakeholders. Well implemented CSR is one of the determinants of an organization’s sustainability amid competition (Van De Ven & Jeurissen, 2005). Hence, CSR is one of the core factors that can engineer a viable business operation (Albareda, Lozano, & Ysa, 2007). This is because the positive goodwill of an organization can significantly promote its financial performance (Rindova, Williamson, Petkova, & Sever, 2005). Positive goodwill here refers to the valuable intangible assets of an organization and can be influenced through well implemented CSR (Boyd, Bergh, & Ketchen Jr, 2010). The difference in the performance of some companies based on CSR is generated by developing positive opinions, beliefs, and consciousness among the shareholders and the host environment (Barin & Boehe, 2008). However, it could be challenging for competitive organizations to successfully differentiate between organizations that are socially responsible and the ones that are not (Johansen & Nielsen, 2011).

Some previous works have established a significant relationship between the implementation of CSR and an organization’s values, growth, performance (having assisted organizations to gain more visibility), reputation and better stakeholder responses (Aguinis & Glavas, 2012; Attig, El Ghoul, Guedhami, & Suh, 2013; Cho, Chung, & Young, 2019; Gherghina & Vintila, 2016; Hu, Chen, Shao, & Gao, 2018; Salvi, Doronzo, Giakoumelou, & Petruzzella, 2019; Tarigan, Hatane, Stacia, & Widjaja, 2019). Yang (2016) explained that the effect of CSR on society, an organization’s profitability, and value are low in the short term but significant in the long term.

There have been divergent findings on the correlation between the implementation of CSR and the performance of an organization. For instance, Dowell, Hart, and Yeung (2000) established a significant correlation between an organization’s value and global environmental standards using a higher Tobin’s Q ratio1 for organizations which adopts a single, rigid, global environmental standard. The study refutes the opinion that the adoption of a global environmental standard by organizations is a liability capable of translating into a market depression. Bird, Hall, Momentè, and Reggiani (2007) established a negative correlation between CSR and an organization’s performance using the market value as an indicator. A similar finding was reported by Vance (1975), who established a negative relationship between CSR implementation and an organization’s financial performance. This finding is in line with the neo-classical view, which suggests that the cost incurred through CSR activities puts an organization at a competitive disadvantage. Anderson and Frankle (1980) reported that social disclosure involving effective communication of an organization’s CSR undertakings has a significant impact on the organization’s market value. Aupperle, Carroll, and Hatfield (1985) could not find any correlation between the implementation of CSR activities and the financial performance of an organization. However, Horváthová (2010) stated that a positive correlation exists between environmental performance and the performance of selected organizations using a meta-analysis approach, carried out for the period between 2008 and 2009, whereas the remaining studies show a negative relationship between environmental and organizational performance.

Guenster, Bauer, Derwall, and Koedijk (2011)reported a slightly irregular relationship between the CSR activities that relate to the environment and organizational performance as well as the market value, using the market value, eco-efficiency scores and operating performance as the key performance indicators for environmental and organizational performance. Lioui and Sharma (2012) submitted that there is a negative correlation between the environmental ratings and an organization’s performance using the Tobin’s Q ratio, and Marsat and Williams (2013) also reported a negative correlation between an organization’s market value and environmental performance. Cheung, Tan, Ahn, and Zhang (2010) established a significant relationship between CSR and market value with the aid of the CSR scores, provided by Credit Lyonnais Securities (Asia), between 2001 and 2004. By investigating the correlation that exists between social corporate performance (SCP) and corporate financial performance (CFP) from a stakeholder perspective, Akpinar, Jiang, Gómez-Mejía, Berrone, and Walls (2008) and Choi, Kwak, and Choe (2010) established a positive correlation between the shareholders’ weighted CSR index and CFP using return on assets (ROA), return on equity (ROE) and Tobin’s Q ratio as measuring indicators.

Schuler and Cording (2006) highlighted some theories which propose that CSP and CFP are directly related to each other. These are private costs theory, good management theory, managerial guile theory, stakeholder contract costs theory, private costs theory, and affordability theory. However, except for the managerial guile theory, the models did not take into consideration the effect of information about the organizations’ social practices and the stakeholders’ decision processes. Gherghina and Vintila (2016) claimed that the combination of the good management theory and stakeholder contract costs theory has a significant correlation on CSP and CFP, while the private costs theory indicates a negative relationship.

In terms of an organization’s value, Jo and Harjoto (2011) established a significant correlation between CSR engagement and the organization’s value using the industry-adjusted Tobin’s Q ratio. Nelling and Webb (2009) established a direct correlation between CSR and CSP using a time series fixed effects approach. On the contrary, Surroca, Tribó, and Waddock (2010) argued that no correlation exists between CSR and CSP based on data which comprises 599 companies from 28 countries. Similarly, Crisóstomo, De Souza Freire, and De Vasconcellos (2011) found a strong negative correlation between CSR and an organization’s value for selected organizations in Brazil. The CSR index was established using the data made available by the Brazilian Institute of Social and Economic Analysis (IBASE) on three CSR areas, namely employee relationship, external social delivery, and environmental performance.

The link between CSR implementation and cyber fraud incidents in financial institutions is that the latter is a threat to the former. This is because cyber fraud incidents may exert a direct influence on the services and social responsibilities of a bank. An increase in this threat may put CSR in further jeopardy, which may eventually result in a decline in CSR activities and the loss of reputation. Liao, Chen, and Zheng (2019) found that the implementation of CSR activities is an ethical behavior that reduces financial misconduct in corporate organizations. Harjoto (2017) stated that the implementation of CSR activities can strengthen the moral values of management and employees with a reduction in the likelihood of corporate fraud occurrence or its severity.

A study carried out by Andrija (2017) on the CSR model and the roles of stakeholders between 2006 and 2015 revealed the significance of CSR to internal and external stakeholders. To external stakeholders, an organization that is socially responsible shows its potential for improvement regarding consumers’ satisfaction and trust, building a good reputation, retention of valuable employees, and effective immunity against certain risks (Martínez & Del Bosque, 2013). To internal stakeholders, a socially responsible organization may benefit from improved profit margin, economic growth, employee motivation, and customer satisfaction and loyalty. This can promote the business activities directly, improve competitive advantage and achieve superior performance (Torugsa, O’Donohue, & Hecker, 2012). This submission agrees with the opinion of Ali, Kashif, Syed, Jamil, and Maria (2010), who stated that a higher level of CSR implementation positively impacts the employees’ allegiance with significant improvement in the efficacy of business processes. Table 1 summarizes the outcome of the literature review on the effect of CSR implementation on an organization’s performance.

Table 1. Effect of CSR implementation on organizational performance.
Author Indicator Outcome
Dowell et al. (2000) Stock market performance Positive
Bird et al. (2007) Market value Negative
Horváthová (2010) Financial performance Positive and negative
Guenster et al. (2011) Organizational performance and market value Slightly positive
Lioui and Sharma (2012) Return on assets and corporate financial performance Negative
Lioui and Sharma (2012) Research and development Positive
Marsat and Williams (2013) Shareholders’ value Negative
Frooman (1997) Shareholders’ value Negative
Ullmann (1985); Waddock and Graves (1997) Corporate, social, and financial performance Positive
Jones (1995); Wood (1991); Davis (1973) Corporate social performance Positive
Cheung et al. (2010) Market valuation Positive
Gherghina and Vintila (2016) Organizations’ value Positive
Akpinar et al. (2008) Corporate financial performance Positive
Preston and O'bannon (1997) Corporate, social and financial performance Positive
Carroll (1979) Corporate and financial performance Positive
Choi et al. (2010) Corporate and financial performance Positive
Jo and Harjoto (2011) Internal and external corporate governance Positive
Nelling and Webb (2009) Financial performance Weak but positive
Surroca et al. (2010) Financial performance No relationship
Crisóstomo et al. (2011) Firm value Negative
Vance (1975) Financial performance Negative
Aupperle et al. (1985) Financial performance No relationship
Alexander and Buchholz (1978) Stock market performance No relationship
McGuire, Sundgren, and Schneeweis (1988) Stock market returns and accounting-based measures Positive

2.3. CSR and Corporate Fraud

The implementation of CSR goals by an organization has been linked to corporate financial fraud (Harjoto, 2017; Liao et al., 2019). Harjoto (2017) explains that the corporate culture of an organization reflected by its CSR activities can minimize the chances of fraud and its severity. The implementation of CSR activities can also cushion the effect of cyber fraud and assist society in preventing future occurrences of cyber fraud (Harjoto, 2017). Liao et al. (2019) found an inverse relationship between CSR implementation and fraudulent financial activities, thereby suggesting that organizations that implement CSR may witness minimal cases of fraudulent activities.

Effective mitigation of cyber fraud in the banking sector through a robust management control system (MCS) will add value to the organization, customers, and other stakeholders, both internally and externally. By doing this, the banking sector can achieve its corporate social responsibility goals. Furthermore, the implementation of CSR can discourage corporate financial fraud and promote the reputation of an organization. Existing studies have linked corporate fraud to managerial incentives (Burns & Kedia, 2006; Efendi, Srivastava, & Swanson, 2007; Johnson, Ryan, & Tian, 2009; Okpa, John, Nkwo, & Okarima, 2019). Hu, Dou, and Wang (2019) hold that managerial incentives can ensure accountability in the deployment of CSR activities, thus reducing the chances for corporate fraud. Harjoto (2017) stated that the ethical corporate culture, which encourages CSR implementation, can improve corporate culture. An organization’s ethical actions, which are reflected in its CSR, can indicate the probability and severity of corporate fraud (Harjoto, 2017). Hu et al. (2019) explained that the implementation of CSR activities and disclosure by organizations can reduce the risk of fraud. The authors opined that when organizations invest in CSR resources, it can improve its corporate culture and ethical standards. Furthermore, CSR implementation can also reduce the chances of incentives for fraud perpetration and financial manipulation. It can also improve corporate governance by making organizations more transparent. Hence, Hu et al. (2019) linked the implementation of CSR activities to corporate fraud reduction. The implementation of CSR activities can increase monitoring by the public, thus increasing the probability of fraud detection.

3. METHODOLOGY

This section presents the fuzzy analytic hierarchy process (FAHP) and the procedural steps for its implementation.

3.1. Fuzzy Analytic Hierarchy Process

Through the fuzzy analytic hierarchy process (FAHP), the elements of the pairwise comparison matrix are expressed by triangular fuzzy elements. This approach is a fuzzified form of the analytic hierarchy process (AHP) developed by Saaty (1980).

Furthermore, the classical non-fuzzy methods, such as the eigenvectors and the geometric approach, were also employed to calculate the weights of the fuzzy comparison matrices.

The use of the analytic hierarchy process for corporate social responsibility decision making has been demonstrated by Brin & Nehme (2021).

The choice of the FAHP stems from the fact that it uses a range of values (fuzzy numbers) to address the uncertainty, ambiguity, subjectivity and imprecision in the input data and judgment of decision makers concerning weight allocation compared to some multi-criteria decision techniques, such as the analytic hierarchy process (Alyamani & Long, 2020; Li, Fan, Ma, & Tang, 2016).

The FAHP uses triangular fuzzy numbers (TFNs), a set of three variables (l, m and u), to represent the lowest possible value, the most likely value (modal value) and the highest possible value, respectively.

This study explores some existing literature on CSR and the impact of CSR implementation on the internal and external environments. Four major impacts of CSR implementation were identified and are presented in Table 2.

Table 2. Impacts of CSR implementation.
S/N
Author CSR impact Environment
1
Gherghina and Vintila (2016) Social External
2
Ali et al. (2010) Employee Internal
3
Obalola et al. (2009) Environmental External
4
Torugsa et al. (2012) Economic Internal and external

The social impact relates to how the implementation of CSR activities alleviate the pressures of society, such as unemployment, while the employee impact indicates other benefits, such as human capacity development and incentives. The environmental impact relates to the impact of CSR activities in alleviating environmental pressures, such as pollution, while the economic impact from the external perspective indicates the capacity of CSR activities to create a virtuous circle in which people’s well-being drives economic prosperity, stability and resilience. On the other hand, the economic impact from the internal perspective relates to an organization’s financial performance and sustainability.

The consideration of these four major perspectives can promote an organization’s good will and reputation if carefully implemented.

The FAHP as a multi-criteria decision technique was applied to evaluate the identified impacts of the CSR activities of an organization.

3.2. The Procedural Steps for the FAHP Implementation

The TFNs, comprising of three variables (l, m, u), has a membership function ( and is defined according to Equation 1 (Alyamani & Long, 2020).

STEP 1: Establish the FAHP goal and the criteria. This is depicted by the FAHP hierarchy structure in Figure 1. The criteria are identified from the literature as presented in Table 1. The study evaluates the CSR impacts using three organizations (alternatives) as an example.

Figure 1. FAHP hierarchy structure.

STEP 2: Carry out the pairwise comparison using the linguistic scale presented in Table 3.

Table 3. Fuzzy linguistic scale.
Importance
Linguistic definition
TFN
TFN reciprocal
1
Equal importance
(1 1 1)
(1 1 1)
3
Weak importance
(2 3 4)
(1/4 1/3 1/2)
5
Strong importance
(4 5 6)
(1/6 1/5 1/4)
7
Very strong importance
(6 7 8)
(1/8 1/7 1/6)
9
Absolute importance
(9 9 9)
(1/9 1/9 1/9)
2, 4, 6, 8
Intermediate scales
(1 2 3) (3 4 5)
(5 6 7) (7 8 9)
(1/3 1/2 1) (1/5 1/4 1/3) (1/7 1/6 1/5) (1/9 1/8 1/7)

Note:

TFN = Triangular fuzzy number.

Source:

Saaty (1989).

The economic impact (criterion 1) is considered to be of weak importance on the employee impact (criterion 2), and social impact (criterion 3), so it is assigned a TFN value of (2 3 4), while the employee and social impacts, which are considered to be less important, take the reciprocal of (1/4 1/3 1/2). Criterion 1 is also considered to be of very strong importance over the environmental impact (criterion 4), and it is assigned a TFN value of (6 7 8), while the environmental impact, which is considered to be less important, takes the reciprocal of (1/8 1/7 1/6).

The social impact (criterion 2) is also considered to be of strong importance over the social impact (criterion 3), and it is assigned a TFN value of (4 5 6), while the environmental impact, which is considered to be less important, takes the reciprocal of (1/6 1/5 1/4). Criterion 2 is also considered to be fairly important over the environmental impact (criterion 4), and it is assigned a TFN value of (3 4 5), while the environmental impact, which is considered to be less important, takes the reciprocal of (1/5 1/4 1/3).
Finally, the social and environmental impacts are considered to be of equal importance and are thus assigned a TFN value of (1 1 1). Table 4 presents the impact of the criteria and the assigned TFNs.

Table 4. Impact of the criteria and the assigned TFNs.
Impact of CSR
Economic
Employee
Social
Environmental
Criterion 1: Economic
1
2 3 4
2 3 4
6 7 8
Criterion 2: Employee
1/4 1/3 1/2
1
4 5 6
3 4 5
Criterion 3: Social
1/4 1/3 1/2
1/6 1/5 1/4
1
1
Criterion 4: Environmental
1/8 1/7 1/6
1/5 1/4 1/3
1
1

There are three alternatives, company 1, company 2 and company 3. Tables 58 present the evaluation of each criterion with the alternatives.

Table 5 shows the assigned TFNs for the evaluation of criterion 1 (economic impact) in relation to the three alternatives (companies 1, 2 and 3, respectively).

For the economic impact, company 1 is of weak importance to company 2 but of strong importance to company 3. On the other hand, company 2 is of fair importance to company 3, as shown by their assigned TFNs and their reciprocals, which are presented in Table 5.

Table 5. Evaluation of criterion 1 (economic impact) in relation to the three alternatives.
 
Alternative 1: Company 1
Alternative 2: Company 2
Alternative 3: Company 3
Alternative 1: Company 1
1
2 3 4
4 5 6
Alternative 2: Company 2
1/4 1/3 1/2
1
3 4 5
Alternative 3: Company 3
1/6 1/5 1/4
1/5 1/4 1/3
1

For the employee impact, company 1 is of equal importance to company 2 but of weak importance to company 3. On the other hand, company 2 is of strong importance to company 3, as shown by their assigned TFNs and their reciprocals, which are presented in Table 6.

Table 6. Evaluation of criterion 2 (employee impact) in relation to the three alternatives.
 
Alternative 1: Company 1
Alternative 2: Company 2
Alternative 3: Company 3
Alternative 1: Company 1
1
1
2 3 4
Alternative 2: Company 2
1
1
4 5 6
Alternative 3: Company 3
1/4 1/3 1/2
1/6 1/5 1/4
1

For the social impact, company 1 is of strong importance to company 2 and of very strong importance to company 3. On the other hand, company 2 is of weak importance to company 3, as shown by their assigned TFNs and their reciprocals, which are presented in Table 7.

Table 7. Evaluation of criterion 3 (social impact) in relation to the three alternatives.
 
Alternative 1: Company 1
Alternative 2: Company 2
Alternative 3: Company 3
Alternative 1: Company 1
1
4 5 6
6 7 8
Alternative 2: Company 2
1/6 1/5 ¼
1
2 3 4
Alternative 3: Company 3
1/8 1/7 1/6
1/4 1/3 1/2
1

For the environmental impact, company 1 is of equal importance to company 2 and of strong importance to company 3. On the other hand, company 2 is of very strong importance to company 3, as shown by their assigned TFNs and their reciprocals, which are presented in Table 8.

Table 8. Evaluation of criterion 3 (environmental impact) in relation to the three alternatives.
 
Alternative 1: Company 1
Alternative 2: Company 2
Alternative 3: Company 3
Alternative 1: Company 1
1
1
3 4 5
Alternative 2: Company 2
1
1
6 7 8
Alternative 3: Company 3
1/5 1/4 1/3
1/8 1/7 1/6
1

STEP 3: Determine the magnitude of the geometric mean () according to Equation 2 (Burney & Ali, 2019).

STEP 3: Compute the weight of each criterion according to Equation 3 (Burney & Ali, 2019).

STEP 4: Defuzzify the calculated weight in step 2 according to Equation 4 (Khan, Kusi-Sarpong, Arhin, & Kusi-Sarpong, 2018).

STEP 5: Normalize the defuzzified weight according to Equation 5 (Khan et al., 2018).

4. RESULTS AND DISCUSSION

The eigenvectors and geometric means of the pairwise comparison of the criteria as well as the criteria vis-à-vis the alternatives, gave the same results, according to Table 9. This lends credence to the fact that the allocation of the TFNs and the pairwise comparison process is consistent.

Table 9. Eigenvectors and geometric means for the pairwise comparisons.
Criterion
Eigenvector
Geometric mean
Criterion 1 (Economic impact)
0.530
0.530
Criterion 2 (Employee impact)
0.298
0.298
Criterion 3 (Social impact)
0.096
0.096
Criterion 4 (Environmental impact)
0.076
0.076
Criterion 1 with respect to the three alternatives
(1)
0.627
0.627
(2)
0.280
0.280
(3)
0.094
0.094
Criterion 2 with respect to the three alternatives
(1)
0.405
0.405
(2)
0.481
0.481
(3)
0.114
0.114
Criterion 3 with respect to the three alternatives
(1)
0.731
0.731
(2)
0.188
0.188
(3)
0.081
0.081
Criterion 4 with respect to the three alternatives
(1)
0.415
0.415
(2)
0.500
0.500
(3)
0.086
0.086

Table 10 presents the maximum eigenvector (), consistency index (CI), random index (RI), and consistency ratio (CR). The table further shows that the pairwise comparison is consistent. The consistency is considered to be high since CR < 10% (Saaty, 2008). Otherwise, there would be a need to reassign the weights with respect to the higher ranking goal/criterion (Akinbowale, Klingelhöfer, & Zerihun, 2022b).

Table 10. Consistency check for the pairwise comparison.
Criteria
CI
RI
CR
Remark
All four criteria
4.237
0.079
0.89
0.89
Consistency is high
Criterion 1 with respect to the alternatives
3.086
0.043
0.520
0.082
Consistency is high
Criterion 2 with respect to the alternatives
3.029
0.015
0.520
0.028
Consistency is high
Criterion 3 with respect to the alternatives
3.065
0.032
0.520
0.062
Consistency is high
Criterion 4 with respect to the alternatives
3.035
0.017
0.520
0.034
Consistency is high

Figure 2 shows the triangular fuzzy element computations for the four criteria. It shows that the economic impact takes precedence over the other criteria, followed by the economic impact and social impact, while the environmental impact has the lowest triangular weight. The reason for the high triangular weight of economic impact is because financial performance and profitability is the bottom line of every organization. Friedman (1970) stressed the need for organizations to keep CSR activities within the minimum requirements to avoid incurring extra costs that can affect financial performance. CSR is not mandatory and, amidst other costs and financial responsibility, an organization should not overshoot its budget or financial capability because of CSR. This finding is in line with the neo-classical view, which suggests that CSR activities should be designed such that any CSR-related costs incurred will not put an organization at a competitive disadvantage and lead to a negative correlation between CSR activities and the organization’s financial performance (Manrique & Martí-Ballester, 2017).

The triangular weight of the employee impact is second in the hierarchy. This places premium on the well-being of the employees. Harjoto (2017) explained that managers with high ethical and CSR values measured by the CSR activities implemented are less likely to perpetrate fraud and that such organizations may have a low severity of fraud.

Figure 2. Triangular fuzzy elements computation for each criterion.

Figures 3–6 present the triangular fuzzy element evaluations for each of the criteria with respect to the alternatives. Figures 3 and 5 indicate that alternative 1 (company 1) prioritizes the economic and social impacts of their CSR activities above the employee and environmental impacts. On the other hand, Figures 4 and 6 show that alternative 2 (company 2) prioritizes the employee and environmental impacts of their CSR activities above the economic and social impacts. This is reflected by the magnitude of the fuzzified weights obtained, as shown in Figures 3–6.

The implication of this is that the activities of company 1 may create an environment in which people’s well-being can drive economic prosperity with sustained financial performance. This can be evidenced by the market value, return on assets, financial performance, etc.

Furthermore, the activities of company 1 can also contribute positively to societal well-being through activities aimed at addressing gender inequalities, poverty, unemployment or underemployment, social insecurity, lack of infrastructures and basic amenities, unequal opportunities, etc. Alternative 2 (company 2), which directs its CSR activities toward the employee dimension, may witness improvements in research and development, reduction in corporate fraud, improvement in innovation, improvements in working conditions and occupational health, and improvement in learning and growth, among others.

In addition, company 2 which also prioritizes the environmental dimension, may witness a significant reduction in the damaging effect of the organization’s business activities on the environment. The consideration for the environmental dimension of CSR can minimize business risks and penalties through compliance with environmental legislation and looking for cost-saving opportunities. Consideration for the environmental dimension could also boost the organization’s reputation in the host environment among the customers, regulators, and business partners. This may also serve as a motivating factor to boost employee morale. A company that lacks consideration for the environment could review its policies relating to energy and water use, waste treatment and management, as well as emission generation. This would promote environmental friendliness and safety of the host environment. This is significant from both environmental and financial perspectives.

Such organizations could also adopt energy saving measures, such as switching off equipment, power supplies or lights when they are not in use, optimizing the use of water, and reducing the amount of waste generated. This can generate cost savings and make the business more responsible. Furthermore, raw materials could be used more efficiently, packaging could be reduced, suitable end-of-life techniques for products could be implemented, or a policy of circular economy with zero tolerance for waste generation could be adopted.

The authors of this study perceive that there is a link between all four dimensions of CSR considered in this study (economic, employee, social and environmental). Neglecting one dimension may affect the others with the resultant effect showing through the organization’s performance. Hence, there should be a balance between the internal and external dimensions of CSR. In other words, an organization’s financial or economic performance should be sustained without neglecting the employees’ needs as well as social and environmental needs. This is because all four dimensions are critical and can affect organizational performance. This is in line with the position of Crisóstomo et al. (2011), who stated that CSR is related to a broad spectrum that connects the organization, customers, stakeholders and host environment. In other words, the scope of CSR covers the relationship between the organization, stakeholders, customers and the general public. Careful consideration of these four major perspectives can promote an organization’s profitability, good will and reputation.

Figure 3. Triangular fuzzy elements of criterion 1 (economic impact) in relation to the alternatives.

Figure 4. Triangular fuzzy elements of criterion 2 (employee impact) in relation to the alternatives.

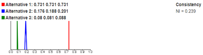
Figure 5. Triangular fuzzy elements of criterion 3 (social impact) in relation to the alternatives.

Figure 6. Triangular fuzzy elements of criterion 4 (environmental impact) in relation to the alternatives.

Table 11 presents the defuzzified and normalized weights of the criteria, and Table 12 presents the defuzzified and normalized weights of the alternatives.

Table 11. Defuzzified and normalized weights of the criteria.
Impact of CSR
Lowest possible value (l)
Modal value (M)
Highest possible value (U)
Defuzzified weight
Normalized weight
Economic
0.451
0.525
0.561
0.5123
0.5191
Employee
0.268
0.299
0.328
0.2983
0.3022
Social
0.092
0.095
0.099
0.0953
0.0965
Environmental
0.081
0.081
0.081
0.0810
0.0820

Figure 7 presents the normalized weights of the alternatives vis-à-vis the criteria. The result shows that for alternative 1 (company 1), the effect of CSR activities has the highest social impact followed by the economic impact. On the other hand, the effect of CSR activities for this company has the least employee and environmental impacts. For alternative 2 (company 2), it is vice versa compared to company 1. The effect of CSR for this company has the highest employee and environmental impacts. This is followed by economic impact with the least social impact. For alternative 3, (company 3), the result shows that the effect of CSR activities on the four criteria (economy, employee, social and environment) is minimal. This implies that the implementation of CSR is not a priority for this company.

Table 12. Defuzzified and normalized weights of the alternatives.
Criterion
Alternatives
Lowest possible value (l)
Modal value (M)
Highest possible value (U)
Defuzzified weight
Normalized weight
Economic impact
1
0.582
0.627
0.627
0.6120
0.6207
2
0.264
0.280
0.295
0.2796
0.2835
3
0.094
0.094
0.095
0.0943
0.0956
Employee impact
1
0.381
0.405
0.402
0.3960
0.3983
2
0.481
0.481
0.481
0.4810
0.4839
3
0.105
0.114
0.132
0.1170
0.1177
Social impact
1
0.731
0.731
0.731
0.7310
0.7293
2
0.176
0.188
0.201
0.1883
0.1878
3
0.08
0.081
0.088
0.0830
0.0828
Environmental impact
1
0.396
0.415
0.427
0.4126
0.4126
2
0.500
0.500
0.500
0.500
0.5000
3
0.080
0.086
0.096
0.0873
0.0873

Figure 7. Normalized weights of the alternatives vis-à-vis the criteria.

With respect to the first research question regarding the impact of an organization’s CSR activities on the internal and external environments, from the example provided in this study, the implementation of CSR activities by companies 1 and 2 was reflected positively in their internal and external environments, although to varying degrees. The second research question probes the ranking of the impact of an organization’s CSR activities. In the order of priority of CSR activities and their impact on the four identified criteria, alternative 1 (company 1) is ranked first, followed by company 2, while company 3 gave CSR activities the lowest priority.

The findings of this study can provide useful insights for organizations that implement CSR activities in order to achieve greater impacts in the economic, employee, social and environmental dimensions. It can also assist organizations in their quest to achieve sustainability through the implementation of CSR activities. The study identifies the strength and limitations of the three companies used as examples. It can also assist organizations in the identification of the areas that they need to leverage upon to achieve greater viability with respect to the economic, employee, social and environmental dimensions. The results obtained agree with the literature to a certain extent, that the implementation of CSR activities can alleviate some pressures within society and promote human capacity development. It also indicates that the impact of CSR activities can provide environmental relief. Furthermore, the implementation of CSR activities can drive economic prosperity and promote an organization’s financial performance and sustainability.

5. CONCLUSION AND POLICY IMPLICATIONS

The purpose of this study was to evaluate the impact of an organization’s corporate social responsibility (CSR) from economic, employee, social and environmental dimensions. This was achieved through the use of the fuzzy analytic hierarchy process (FAHP) in which the elements of the pairwise comparison matrices are expressed by triangular fuzzy elements. The implementation of CSR activities by companies 1 and 2 reflected positively in their internal and external environments to varying degrees. The findings also show that the implementation of CSR activities can impact the four dimensions identified by the literature. This study calls for the review of some organizational policies relating to energy and water use, waste treatment and management, and emission generation to promote environmental sustainability. It also calls for the review of management policies to ensure business profitability without neglecting the employee, social, and environmental impacts because it was determined that all four dimensions of CSR are important and there should be a balance among them. In order to achieve this balance, an integrated approach is recommended which will incorporate the elements of all the four perspectives captured in this study. In addition, a performance measurement technique, such as a balanced scorecard to review and appraise CSR activities and their impacts on the identified dimensions, is recommended. One of the limitations of this study is that the impact of CSR activities for the three companies are the authors’ opinions based on information obtained from the literature. Further research can evaluate the developed FAHP framework with a quantitative dataset.

Funding: This study received no specific financial support.  

Competing Interests: The authors declare that they have no competing interests.

Authors’ Contributions: All authors contributed equally to the conception and design of the study.

REFERENCES

Aguinis, H., & Glavas, A. (2012). What we know and don’t know about corporate social responsibility: A review and research agenda. Journal of management, 38(4), 932-968. https://doi.org/10.1177/0149206311436079

Akinbowale, O. E., Klingelhöfer, H. E., & Zerihun, M. F. (2022a). Analytical Hierarchy process decision model and Pareto analysis for mitigating cybercrime in the financial sector. Journal of Financial Crime, 29(3), 884-1008. https://doi.org/10.1108/jfc-04-2021-0086

Akinbowale, O. E., Klingelhöfer, H. E., & Zerihun, M. F. (2022b). Exploring the impact of corporate social responsibility and human resource accounting on a socio-economic environment. International Journal of Business Continuity and Risk Management, 12(2), 131-153. https://doi.org/10.1504/ijbcrm.2022.124836

Akpinar, A., Jiang, Y., Gómez-Mejía, L. R., Berrone, P., & Walls, J. L. (2008). Strategic use of CSR as a signal for good management. Available at SSRN 1134505. https://doi.org/10.2139/ssrn.1134505

Albareda, L., Lozano, J. M., & Ysa, T. (2007). Public policies on corporate social responsibility: The role of government in Europe. Journal of Business Ethics, 74(4), 391-407. https://doi.org/10.1007/s10551-007-9514-1

Alexander, G. J., & Buchholz, R. A. (1978). Corporate social responsibility and stock market performance. Academy of Management Journal, 21(3), 479-486. https://doi.org/10.5465/255728

Ali, I., Kashif, U. R., Syed, I. A., Jamil, Y., & Maria, Z. (2010). Corporate social responsibility influences, employee commitment and organizational performance. African Journal of Business management, 4(13), 2796-2801.

Alyamani, R., & Long, S. (2020). The application of fuzzy analytic hierarchy process in sustainable project selection. Sustainability, 12(20), 8314. https://doi.org/10.3390/su12208314

Anderson, J. C., & Frankle, A. W. (1980). Voluntary social reporting: An iso-beta portfolio analysis. Accounting Review, 55(3), 467-479.

Andrija, B. (2017). Corporate social responsibility and stakeholders: Review of the last decade (2006-2015). Business Systems Research: International Journal of the Society for Advancing Innovation and Research in Economy, 8(1), 133-146. https://doi.org/10.1515/bsrj-2017-0011

Arjaliès, D.-L., & Mundy, J. (2013). The use of management control systems to manage CSR strategy: A levers of control perspective. Management Accounting Research, 24(4), 284-300. https://doi.org/10.1016/j.mar.2013.06.003

Attig, N., El Ghoul, S., Guedhami, O., & Suh, J. (2013). Corporate social responsibility and credit ratings. Journal of Business Ethics, 117(4), 679-694. https://doi.org/10.1007/s10551-013-1714-2

Aupperle, K. E., Carroll, A. B., & Hatfield, J. D. (1985). An empirical examination of the relationship between corporate social responsibility and profitability. Academy of Management Journal, 28(2), 446-463. https://doi.org/10.5465/256210

Barin, C. L., & Boehe, D. M. (2008). CSR in the global market place: Towards sustainable global value chains. Management Decision, 8(46), 1187-1209.

Bird, R., Hall, D. A., Momentè, F., & Reggiani, F. (2007). What corporate social responsibility activities are valued by the market? Journal of Business Ethics, 76(2), 189-206. https://doi.org/10.1007/s10551-006-9268-1

Boyd, B. K., Bergh, D. D., & Ketchen Jr, D. J. (2010). Reconsidering the reputation—performance relationship: A resource-based view. Journal of Management, 36(3), 588-609. https://doi.org/10.1177/0149206308328507

Brin, P., & Nehme, M. (2021). Sustainable development in emerging economy: Using the analytical hierarchy process for corporate social responsibility decision making. Journal of Information Technology Management, Special Issue, 159-174. https://doi.org/10.22059/jitm.2021.80744

Brin, P., & Nehme, M. N. (2019). Corporate social responsibility: Analysis of theories and models. EUREKA: Social and Humanities, Scientific Route OÜ, 5, 22-30.

Burney, S., & Ali, S. M. (2019). Fuzzy multi-criteria based decision support system for supplier selection in textile industry. International Journal of Computer Science and Network Security, 19(1), 239-244.

Burns, N., & Kedia, S. (2006). The impact of performance-based compensation on misreporting. Journal of Financial Economics, 79(1), 35-67. https://doi.org/10.1016/j.jfineco.2004.12.003

Camilleri, M. A. (2017). Corporate sustainability, social responsibility and environmental management: An introduction to theory and practice with case studies. Switzerland: Springer International Publishing.

Carroll, A. B. (1979). A three-dimensional conceptual model of corporate performance. Academy of Management Review, 4(4), 497-505. https://doi.org/10.5465/amr.1979.4498296

Castelo, B. M., Delgado, C., Sá, M., & Sousa, C. (2014). Comparing CSR communication on corporate web sites in Sweden and Spain. Baltic Journal of Management, 9(2), 231-250. https://doi.org/10.1108/bjm-10-2013-0151

Cheung, Y. L., Tan, W., Ahn, H.-J., & Zhang, Z. (2010). Does corporate social responsibility matter in Asian emerging markets? Journal of Business Ethics, 92(3), 401-413. https://doi.org/10.1007/s10551-009-0164-3

Cho, S. J., Chung, C. Y., & Young, J. (2019). Study on the relationship between CSR and financial performance. Sustainability, 11(2), 343. https://doi.org/10.3390/su11020343

Choi, J.-S., Kwak, Y.-M., & Choe, C. (2010). Corporate social responsibility and corporate financial performance: Evidence from Korea. Australian Journal of Management, 35(3), 291-311. https://doi.org/10.1177/0312896210384681

Crisóstomo, V. L., De Souza Freire, F., & De Vasconcellos, F. C. (2011). Corporate social responsibility, firm value and financial performance in Brazil. Social Responsibility Journal, 7(2), 295-309. https://doi.org/10.1108/17471111111141549

Davis, K. (1973). The case for and against business assumption of social responsibilities. Academy of Management Journal, 16(2), 312-322. https://doi.org/10.5465/255331

Dowell, G., Hart, S., & Yeung, B. (2000). Do corporate global environmental standards create or destroy market value? Management Science, 46(8), 1059-1074. https://doi.org/10.1287/mnsc.46.8.1059.12030

Efendi, J., Srivastava, A., & Swanson, E. P. (2007). Why do corporate managers misstate financial statements? The role of option compensation and other factors. Journal of Financial Economics, 85(3), 667-708. https://doi.org/10.1016/j.jfineco.2006.05.009

European Union Report. (2002). Corporate social responsibility main issues. Retrieved from: https://ec.europa.eu/commission/presscorner/detail/en/MEMO_02_153. [Accessed 24th June, 2021].

Friedman, M. (1970). The social responsibility of business is to increase its profits. New York Times Magazine, 1-6.

Frooman, J. (1997). Socially irresponsible and illegal behavior and shareholder wealth: A meta-analysis of event studies. Business & Society, 36(3), 221-249. https://doi.org/10.1177/000765039703600302

Gherghina, S. C., & Vintila, G. (2016). Exploring the impact of corporate social responsibility policies on firm value: The case of listed companies in Romania. Economics & Sociology, 9(1), 23-42. https://doi.org/10.14254/2071-789x.2016/9-1/2

Godfrey, P. C., Merrill, C. B., & Hansen, J. M. (2009). The relationship between corporate social responsibility and shareholder value: An empirical test of the risk management hypothesis. Strategic Management Journal, 30(4), 425-445. https://doi.org/10.1002/smj.750

Gond, J.-P., Grubnic, S., Herzig, C., & Moon, J. (2012). Configuring management control systems: Theorizing the integration of strategy and sustainability. Management Accounting Research, 23(3), 205-223. https://doi.org/10.1016/j.mar.2012.06.003

Guenster, N., Bauer, R., Derwall, J., & Koedijk, K. (2011). The economic value of corporate eco-efficiency. European Financial Management, 17(4), 679-704. https://doi.org/10.1111/j.1468-036x.2009.00532.x

Harjoto, M. A. (2017). Corporate social responsibility and corporate fraud. Social Responsibility Journal, 13(4), 762-779. https://doi.org/10.1108/srj-09-2016-0166

Horváthová, E. (2010). Does environmental performance affect financial performance? A meta-analysis. Ecological Economics, 70(1), 52-59. https://doi.org/10.1016/j.ecolecon.2010.04.004

Hosoda, M. (2017). Management control systems and corporate social responsibility: Perspectives from a Japanese small company. Corporate Governance: International Journal of Business in Society, 18(1), 68-80. https://doi.org/10.1108/cg-05-2017-0105

Hu, Y., Chen, S., Shao, Y., & Gao, S. (2018). CSR and firm value: Evidence from China. Sustainability, 10(12), 4597. https://doi.org/10.3390/su10124597

Hu, H., Dou, B., & Wang, A. (2019). Corporate social responsibility information disclosure and corporate fraud—“risk reduction” effect or “window dressing” effect? Sustainability, 11(1141), 1-25. https://doi.org/10.3390/su11041141

Jamali, D., & Neville, B. (2011). Convergence versus divergence of CSR in developing countries: An embedded multi-layered institutional lens. Journal of Business Ethics, 102(4), 599-621. https://doi.org/10.1007/s10551-011-0830-0

Jinji, N., Zhang, X., & Haruna, S. (2022). Does Tobin’s q matter for a firm’s choice of globalization mode?. In deep integration, global firms, and technology spillovers (pp. 49-69). Singapore: Springer.

Jo, H., & Harjoto, M. A. (2011). Corporate governance and firm value: The impact of corporate social responsibility. Journal of Business Ethics, 103(3), 351-383. https://doi.org/10.1007/s10551-011-0869-y

Johansen, T. S., & Nielsen, A. E. (2011). Strategic stakeholder dialogues: A discursive perspective on relationship building. Corporate Communications: An International Journal, 16(3), 204-217. https://doi.org/10.1108/13563281111156871

Johnson, S. A., Ryan, H. E., & Tian, Y. S. (2009). Managerial incentives and corporate fraud: The sources of incentives matter. Review of Finance, 13(1), 115-145. https://doi.org/10.1093/rof/rfn014

Jones, T. M. (1995). Instrumental stakeholder theory: A synthesis of ethics and economics. Academy of Management Review, 20(2), 404-437. https://doi.org/10.5465/amr.1995.9507312924

Kaldor, N. (1966). Marginal productivity and the macro-economic theories of distribution: Comment on Samuelson and Modigliani. The Review of Economic Studies, 33(4), 309-319. https://doi.org/doi:10.2307/2974428

Khan, S. A., Kusi-Sarpong, S., Arhin, F. K., & Kusi-Sarpong, H. (2018). Supplier sustainability performance evaluation and selection: A framework and methodology. Journal of Cleaner Production, 205, 964-979. https://doi.org/10.1016/j.jclepro.2018.09.144

Khojastehpour, M., & Johns, R. (2014). The effect of environmental CSR issues on corporate/brand reputation and corporate profitability. European Business Review, 26(4), 330-339. https://doi.org/10.1108/ebr-03-2014-0029

Kornfeldova, M. (2011). Equal opportunities in the concept of corporate social responsibility. Scientific Papers of the University of Pardubice, 21(3), 102-109.

Kornfeldová, M., & Myšková, R. (2012). Application of CSR in construction industry. Paper presented at the Proceedings of the 1st International Conference on Economics, Political and Law Science (EPLS ´12). 2012 (September 20-22), Czech Republic, Zlin, ISBN 978-1-61804-123-4, ISSN 2227-460X1792-6653.

Li, L., Fan, F., Ma, L., & Tang, Z. (2016). Energy utilization evaluation of carbon performance in public projects by FAHP and cloud model. Sustainability, 8(7), 1-18. https://doi.org/10.3390/su8070630

Liao, L., Chen, G., & Zheng, D. (2019). Corporate social responsibility and financial fraud: Evidence from China. Accounting & Finance, 59(5), 3133-3169. https://doi.org/10.1111/acfi.12572

Lioui, A., & Sharma, Z. (2012). Environmental corporate social responsibility and financial performance: Disentangling direct and indirect effects. Ecological Economics, 78, 100-111. https://doi.org/10.1016/j.ecolecon.2012.04.004

Manrique, S., & Martí-Ballester, C.-P. (2017). Analyzing the effect of corporate environmental performance on corporate financial performance in developed and developing countries. Sustainability, 9(11), 1957. https://doi.org/10.3390/su9111957

Marsat, S., & Williams, B. (2013). CSR and market valuation: International evidence. Bankers, Markets & Investors, 123, 29-42. https://doi.org/10.2139/ssrn.1833581

Martínez, P., & Del Bosque, I. R. (2013). CSR and customer loyalty: The roles of trust, customer identification with the company and satisfaction. International Journal of Hospitality Management, 35, 89-99. https://doi.org/10.1016/j.ijhm.2013.05.009

McGuire, J. B., Sundgren, A., & Schneeweis, T. (1988). Corporate social responsibility and firm financial performance. Academy of Management Journal, 31(4), 854-872.

Nelling, E., & Webb, E. (2009). Corporate social responsibility and financial performance: the “virtuous circle” revisited. Review of Quantitative Finance and Accounting, 32(2), 197-209. https://doi.org/10.1007/s11156-008-0090-y

Obalola, M., Omoteso, K., & Adelopo, I. (2009). Corporate governance and corporate social responsibility practices in Africa (1st ed., pp. 131-158). Routledge, UK: Global Perspective on Corporate Governance and CSR.

Okpa, I. B., John, A., Nkwo, J. A., & Okarima, R. N. (2019). Implications of environmental, social and governance dimensions of CSR practice on firms’ profitability, value and cash flows in the UK. Journal of Business and Management, 21(5), 1-10. https://doi.org/10.14445/23939125/ijems-v7i12p122

Preston, L. E., & O'bannon, D. P. (1997). The corporate social-financial performance relationship: A typology and analysis. Business & Society, 36(4), 419-429. https://doi.org/10.1177/000765039703600406

Rindova, V. P., Williamson, I. O., Petkova, A. P., & Sever, J. M. (2005). Being good or being known: An empirical examination of the dimensions, antecedents, and consequences of organizational reputation. Academy of Management Journal, 48(6), 1033-1049. https://doi.org/10.1007/s10551-014-2152-5

Rodgers, W., Söderbom, A., & Guiral, A. (2015). Corporate social responsibility enhanced control systems reducing the likelihood of fraud. Journal of bBusiness Ehics, 131(4), 871-882. https://doi.org/10.1007/s10551-014-2152-5

Saaty, T. L. (1980). The Analytic hierarchy process: planning, priority setting, resource allocation. New York: McGraw-Hill.

Saaty, T. L. (2008). Decision making with the analytic hierarchy process. International Journal of Services Sciences, 1(1), 83-98.

Saaty, T. L. (1989). Decision making, scaling, and number crunching. Decision Sciences, 20(2), 404-409. https://doi.org/10.5539/ijbm.v14n11p193

Salvi, A., Doronzo, E., Giakoumelou, A., & Petruzzella, F. (2019). CSR and corporate financial performance: An Inter-sectorial analysis. International Journal of Business and Management, 14(11), 193-193. https://doi.org/10.5539/ijbm.v14n11p193

Schuler, D. A., & Cording, M. (2006). A corporate social performance–corporate financial performance behavioral model for consumers. Academy of Management Review, 31(3), 540-558. https://doi.org/10.5465/amr.2006.21318916

Semenova, N. (2021). Management control systems in response to social and environmental risk in large Nordic companies. International Journal of Corporate Social Responsibility, 6(1), 1-11. https://doi.org/10.1186/s40991-021-00067-5

Surroca, J., Tribó, J. A., & Waddock, S. (2010). Corporate responsibility and financial performance: The role of intangible resources. Strategic Management Journal, 31(5), 463-490. https://doi.org/10.1002/smj.820

Tarigan, J., Hatane, S. E., Stacia, L., & Widjaja, D. C. (2019). Corporate social responsibility policies and value creation: Does corporate governance and profitability mediate that relationship. Investment Management and Financial Innovations, 16(2), 273-280. https://doi.org/10.21511/imfi.16(2).2019.23

The Commission of the European Communities. (2001). Promoting a European framework for corporate social responsibility, Brussels, pp. 1-32. Retrieved from: https://eur-lex.europa.eu/LexUriServ/LexUriServ.do?uri=COM:2001:0366:FIN:EN:PDF%20 [Accessed 21st June, 2021].

Torugsa, N. A., O’Donohue, W., & Hecker, R. (2012). Capabilities, proactive CSR and financial performance in SMEs: Empirical evidence from an Australian manufacturing industry sector. Journal of Business Ethics, 109(4), 483-500. https://doi.org/10.1007/s10551-011-1141-1

Ullmann, A. A. (1985). Data in search of a theory: A critical examination of the relationships among social performance, social disclosure, and economic performance of US firms. Academy of Management Review, 10(3), 540-557. https://doi.org/10.5465/amr.1985.4278989

Uvaneswaran, S. M., Zemen, T., & Ahmed, S. D. (2019). Corporate social responsibility (CSR) practices of business organizations in South Wollo region – Ethiopia. Studies and Scientific Researches. Economics Edition, 30, 65-76. https://doi.org/10.29358/sceco.v0i30.427

Van De Ven, B., & Jeurissen, R. (2005). Competing responsibly. Business Ethics Quarterly, 15(2), 299-317. https://doi.org/10.5840/beq200515216

Vance, S. C. (1975). Are socially responsible corporations good investment risks. Management Review, 64(8), 19-24. https://doi.org/10.1002/9781118524015.ch24

Waddock, S. A., & Graves, S. B. (1997). The corporate social performance–financial performance link. Strategic Management Journal, 18(4), 303-319.

Wood, D. J. (1991). Corporate social performance revisited. Academy of Management Review, 16(4), 691-718. https://doi.org/10.5465/amr.1991.4279616

Yang, S.-L. (2016). Corporate social responsibility and an enterprise’s operational efficiency: considering competitor’s strategies and the perspectives of long-term engagement. Quality & Quantity, 50(6), 2553-2569. https://doi.org/10.1037/a0020084

Views and opinions expressed in this article are the views and opinions of the author(s). The International Journal of Management and Sustainability shall not be responsible or answerable for any loss, damage or liability, etc., caused in relation to/arising from the use of the content.


Footnote:

1 The Q ratio is defined as the market value of a firm divided by the replacement cost of the firm’s assets (Jinji, Zhang, & Haruna, 2022). The Q ratio was created by Kaldor (1966) and popularized by Nobel laureate James Tobin.