Index

Abstract

This study presents a comprehensive assessment of the historical climatology of Dhaka city over a period of fifty years (1971-2021), utilizing five distinct climate parameters: Skin Temperature, Air Temperature, Rainfall, Wind Speed, and Humidity. The study employed various statistical methods, such as Linear regression, the Mann-Kendall test model, and Sen’s slope estimator method, to examine the significant patterns in climate data and quantify the degree of fluctuations in the variables. The results of the Mann-Kendall Test provided evidence that each parameter's values displayed a statistically significant trend. The Sen's Slope estimator revealed a declining trend in the monthly mean value of all climate parameters except for wind speed and humidity. The annual average Skin and Air Temperature in Dhaka City increased at a rate of 0.033°C and 0.065°C respectively over the study period; as a result, the average annual Rainfall and Humidity showed an increasing tendency, which was 1.225 mm and 0.086% respectively. The Monsoon period demonstrated the highest rainfall and humidity levels, while the winter season demonstrated the lowest levels of these parameters. The trend of Wind Speed has exhibited a decrease at a rate of 0.032 m/s over the past five decades. A critical analysis evaluates the trends and patterns observed in the data. This research attempts to improve understanding of the components that have influenced the climate of Dhaka City by evaluating historical data.

Keywords: Climate change, Climatology, Dhaka city, Mann-Kendall trend method, Sen’s slope estimator, Trend analysis, Urban climate.

Received: 15 May 2023 / Revised: 1 August 2023/ Accepted: 18 August 2023/ Published: 30 August 2023

Contribution/ Originality

This research stands out with its broader coverage of climate parameters compared to previous studies, employing widely accepted Mann-Kendall and Sen's slope methods for trend analysis and utilizing the latest climate data, enhancing the understanding of Dhaka City's climatology over the past fifty years.

1. INTRODUCTION

The climate is a crucial element of the natural environment that has a significant impact on human life, affecting various aspects such as the production of food, water resources, health, and the welfare of society. Comprehending the attributes of climate and its fluctuations is crucial for promoting sustainable development and mitigating disaster risks. Since the 1950s, various research endeavors have been undertaken to detect climate change, demonstrating that significant quantities of ice have melted away and the sea level has increased due to the warming of the earth's atmosphere and the ocean [1].

The climatological history encompasses the documentation of previous climate alterations, comprising anthropogenic and natural variables that have impacted the Earth's climate. The planet's climate has changed over time due to natural phenomena, including volcanic activity, solar radiation, and alterations in the planet's orbital patterns [2]. The gradual alterations in precipitation patterns and temperature caused by natural factors can result in enduring climate shifts. Anthropogenic actions, including fossil fuel combustion and clearing forests, have substantially influenced the global climate [3]. The escalation of greenhouse gases, namely CO2, CH4, and N2O, has resulted in the phenomenon of global warming and alterations in climate. The observed warming trend has resulted in melting glaciers, the elevation of sea levels, extreme heat waves, and alterations in precipitation distribution. The alterations in climate have resulted in diverse consequences for both ecological systems and human communities. The spread and quantity of plant and animal species can be disrupted along with ecosystems and food chains by changes in weather and precipitation trends [4]. Increasing sea levels can destroy coastal ecosystems, increase flooding, and contaminate freshwater resources with seawater. Severe climatic phenomena, such as flooding, hurricanes, and droughts, have the potential to cause harm to infrastructure, residential properties, and agricultural land [5]. The study of climatological history has underscored the significance of figuring out the Earth's climate and how natural and anthropogenic factors impact it. Climate change has serious consequences for ecosystems and human societies. However, these effects can be mitigated with the help of knowledge gained from researching previous climate shifts and keeping an eye on current trends.

Dhaka, the capital of Bangladesh, is one of the world's most populous cities, with ­more than 12.6 million residents [6]. It is also situated in an area extremely susceptible to natural disasters like floods, storms, and heat waves because of its geographical position. Over the past few years, Dhaka City has encountered severe weather phenomena, including intense precipitation, extended periods of high temperatures, and harsh storms, resulting in considerable harm to infrastructure, assets, and human beings. An in-depth examination of the climatic conditions of Dhaka City is essential for efficient urban planning and administration. This study provides a historical review of temperature, rainfall, wind speed, and relative humidity statistics for Dhaka City to identify patterns and trends over a long period in these environmental variables. The study investigates the fundamental factors that impact the area's climate and their potential future consequences.

It has been asserted that the yearly precipitation has exhibited a rise of 21.2 mm per decade, accompanied by noteworthy elevations in instances of heavy rainfall. This phenomenon may be attributed to the amplification of the effect of urban heat islands [7]. Urbanization has resulted in the urban heat island effect, which has caused a notable reduction in wind velocity and a rise in relative humidity within the city. These changes have rendered climate conditions more uncomfortable and perilous for human well-being. Over the past forty years, the city's urbanization has caused alterations in the utilization of land and atmospheric circulation patterns, leading to a noteworthy reduction in the yearly average wind velocity and a corresponding rise in relative humidity [8]. Elevated humidity and temperature levels in urban areas can lead to discomfort and heightened susceptibility to heat-related ailments. Variations in wind speed impact the dispersion of air pollution and temperature. During the monsoon season, wind speed tends to be comparatively lower, while during the winter season, it tends to be relatively higher.

The discernible effects of climate change are progressively manifesting in the urban area of Dhaka. From the 1950s to the 1960s, the average annual temperature remained stable at 25.1°C, which is 0.6°C lower than the baseline temperature of 25.7°C. The average monsoon temperature in Dhaka city between 1991 and 2010 was 0.2°C higher than the baseline temperature of 28.6°C [9]. This temperature increase may lead to elevated heat stress levels, diminished crop yields, and an augmented likelihood of waterborne illnesses. The impact of climate change over the past few decades has led to a significant disparity in precipitation, temperature, water level, and evaporation. This has resulted in the exacerbation of various issues concerning Bangladesh and the global community. There is a significant amount of research being conducted on climate change at a global level. However, it appears that Bangladesh has yet to advance in this field.

In recent decades, Bangladesh has undergone notable alterations in its climatic conditions attributed to global warming, leading to an escalation in temperatures and alterations in precipitation patterns. Over the last century, there has been a notable rise in the mean temperature of the nation, with an increase of 1.0°C. The regions in the northwest and northeast have experienced a more marked escalation in temperature [10]. In addition, the frequency and severity of extreme weather events, such as flooding, cyclones, and landslides, have increased significantly in the United States.

Climate change has extensive effects on South Asia, including elevated temperatures, alterations in precipitation trends, and an increased frequency of severe weather events. It is anticipated that the mean temperature in the region will rise by 2-2.5°C by the end of this century, which is expected to lead to increasing levels of heat stress, water shortages, and food insecurity [11]. There is expected to be a rise in the frequency of hot days, coupled with a reduction in the occurrence of cold days. This trend will likely increase vulnerability to heat waves and related health risks [11]. Moreover, there has been an observed rise in both the intensity and frequency of extreme precipitation occurrences, resulting in a higher incidence of landslides and flooding [12]. There is a pressing need to take action to lessen the effects of climate change and strengthen resilience in the South Asian region because of its susceptibility to its effects. A thorough comprehension of the climate trends and patterns and the fundamental factors that impact the area's climate is necessary. Developing efficient climate mitigation and adaptation plans is necessary to mitigate the hazards of climate-induced calamities and ensure the continuity of sustainable development.

While climate change is a global phenomenon, its effects are often regionally specific [13]. Hence, investigating changes in meteorological parameters is crucial in identifying climate change. In recent times, several research attempts have been carried out to identify potential climate patterns and alterations on a global scale. Most of these studies have concentrated solely on shifts in temperature (maximum, minimum, or mean) and rainfall. The intensification and occurrence of extreme weather phenomena due to global climate change have underscored the significance of understanding the climatological history of Dhaka city. Earth's surface temperature has increased by roughly 1.0°C since the beginning of industrialization (1850-1900) due to anthropogenic actions, including the combustion of fossil fuels and deforestation, as viewed from a worldwide standpoint [14]. The rising temperature exerts a noteworthy influence on the climate of Dhaka.

This study aims to offer significant perspectives on Dhaka City's climatology by examining various climatic parameters such as Air and Skin Temperature, Rainfall, Wind Speed, and Relative Humidity. The findings of this study can potentially assist policymakers, urban planners, and administrators in devising efficient strategies to enhance climate adaptation and mitigate the hazards of climate-induced calamities [15, 16].

2. CLIMATOLOGY OF BANGLADESH

Bangladesh is geographically situated in the eastern region of the Indian subcontinent and experiences a tropical climate characterized by elevated levels of humidity and substantial precipitation. From a climatological standpoint, Bangladesh can be divided into four distinct seasons: (i) winter season (December to February); (ii) pre-monsoon season (March to May); and (iii) monsoon season (June to September), and (iv) post-monsoon season (October to November) [17]. The summer season spans from March to May and is distinguished by elevated temperatures and humidity levels. In certain regions, the temperature has the potential to surpass 40°C. The period of Monsoon, spanning from June to October, is characterized by substantial precipitation and flooding in numerous regions of the nation. During the winter season, the prevailing climatic conditions are characterized by low humidity and relatively low temperatures (November to February).

The temperature in Bangladesh varies according to the season. The highest temperatures occur between March and June, ranging from 30°C to 40°C. The period spanning from November to February is considered the most favorable in temperature, with a range of 10°C to 20°C. The mean temperature in Bangladesh is approximately 25.69 °C [18]. Bangladesh is known to have the highest amount of annual rainfall in South Asia, with an average of 2,400 millimeters. The period of the monsoon season spans from June to September, contributing more than 80% of the total annual precipitation received by the country. The nation undergoes significant precipitation during this period, frequently resulting in floods and landslides. By comparison, the winter season spanning from November through February is characterized by comparatively low precipitation levels, with average monthly rainfall ranging between 10 to 50 millimeters [19]. Bangladesh experiences consistently elevated humidity levels, with an approximate mean relative humidity of 80% over the year. In the monsoon season, the relative humidity may attain a maximum of 95%. Elevated humidity levels in the region may lead to physical discomfort and health complications, particularly in the scorching summer. The climatological records of wind speed in Bangladesh suggest that the nation undergoes a diverse spectrum of wind speeds over the course of the year. The monsoonal climate prevalent in the region significantly impacts the wind patterns, resulting in strong winds and heavy precipitation during the summer. Historical records show Bangladesh's mean wind velocity is 3 to 8 meters per second (m/s) throughout the winter (December-February). In contrast, it can escalate to a maximum of 10 m/s during both the pre-monsoon and post-monsoon periods (March-May and September-November, respectively) [20]. Wind velocity is a significant factor in ascertaining meteorological patterns and impacting various industries such as agriculture, transportation, and others in Bangladesh. Bangladesh is prone to natural catastrophes like floods, cyclones, and landslides because of its position and topography. The country's susceptibility to flooding is attributed to its low-lying deltaic terrain and the high precipitation levels encountered during the monsoon season. The vulnerability to severe weather phenomena has been amplified by climate change in recent times, resulting in a rise in the frequency and severity of natural calamities.

Numerous sectors, including water resources, agriculture, and public health, are adversely affected by climate change in Bangladesh. The alterations in precipitation distribution and the country's flat terrain have amplified the susceptibility to flooding and saturation, resulting in agricultural yield reduction and impairment of physical structures [11]. The country has experienced notable human and economic losses due to the heightened frequency and intensity of extreme weather phenomena such as cyclones and storm surges [10]. In addition, the escalation of temperatures and humidity levels has augmented the susceptibility to heat stress and vector-borne illnesses, such as dengue and malaria, within the nation. To combat the effects of climate change in Bangladesh, the government has implemented several policy measures and programs, such as the Bangladesh Climate Change Strategy and Action Plan (BCCSAP) and the Climate Fiscal Framework (CFF) [11]. The initiatives above are geared towards augmenting the nation's capacity to withstand the impacts of climate change and promoting sustainable development. A more comprehensive and integrated approach is required to account for the synergies between climate change adaptation and mitigation measures and to tackle the root causes of vulnerability in the nation.

The climate of Bangladesh is distinguished by elevated temperatures, considerable humidity, substantial precipitation, and well-defined seasonal variations. The geographical location and topography of the country make it exceedingly susceptible to environmental calamities such as floods and cyclonic storms. Because of climate change, our country is even more susceptible to devastating storms, making it all the more important to take precautionary and preventive measures.

3. DATA AND METHODOLOGY

3.1. Study Area Description

Dhaka, the capital of Bangladesh, is presently home to a population of over 12.6 million people and is experiencing rapid population expansion. The city is located in the central part of Bangladesh, between 20°30' and 26°38' North latitude and 88°01' and 92°41' East longitude. It is located on the eastern side of the Buriganga River. Located in the Ganges Delta's downstream section, the capital covers an area of about 306.38 square kilometers (118.29 sq. mile) [21]. The city's distinctive geographic location and vicinity to the Bay of Bengal produce a subtropical monsoon climate characterized by year-round high temperatures, high humidity, and substantial precipitation. The urban region has a distinct monsoon season, with temperatures averaging 26 degrees celsius all year round. The typical monthly temperature ranges from 19°C in January to 29°C in May. Approximately 87% of the annual average precipitation, 2123 mm (83.6 inches), occurs between May and October [22].

The city is currently one of the most extensively industrialized regions in Bangladesh. This city is a renowned global city that serves as the home for several international organizations. The Globalization and World Cities Research Network classifies the city as a beta-global city due to its development into a megacity in the twenty-first century. Figure 1 illustrates the study area map.

Figure 1. Study area map.

3.2. Data Source and Collection

Numerous sources continuously measure climate data and archive historical data on climate. Among them Bangladesh Meteorological Department (BMD), Bangladesh Agricultural Research Council (BARC), NASA (National Aeronautics and Space Administration), and NOAA (National Oceanic and Atmospheric Administration) are notable. Amongst listed sources, some are paid services, and others provide missing data; as a result, the required climate data was collected from NASA and NOAA, whose data are freely accessible to the public and maintain an extensive data archive. For climatological analysis, climate data for the last five decades (1971-2021) were collected for all necessary climate parameters except Skin and Air Temperature. The last four decades' data (1981-2021) was utilized for these two parameters.

Study area maps were extracted from the Bangladesh Administrative Boundary map, and ArcGIS version 10.8.1 was used to map the Study Area. ArcGIS is widely used for spatial analysis and mapping.

3.3. Data Analysis

Once data from NOAA and NASA are acquired, they are input into a spreadsheet for statistical analysis, sorting out, and calculating the arithmetic mean. The collected information was recorded daily. However, monthly data were required for the analysis. The daily data were organized using arithmetic averaging as if they were monthly data, and a pivot table was employed for further data analysis. Several parameters, such as slope, Correlation of Coefficient (r), and intercept, are utilized to comprehend the trend and correlation of data.

Eventually, for graphical representations of these data, the monthly averages were aggregated into yearly averages and depicted in Line Charts to demonstrate linear trend lines. Values in the positive range were displayed in green, while those in the negative range were displayed in red. Each parameter's resulting Line Chart was composed separately. Three composites were produced for each parameter (each composite includes four months) that helped to identify the ocular relations and variations in data for different months of the time series data.

3.4. Trend Analysis Method

There are parametric and non-parametric techniques for detecting significant trends in climatological time series. Non-parametric trend tests only require that the data be independent. In contrast, parametric trend tests require independent and normally distributed data. In this study, Kendall [23] and Sen [24] methods are used to perform trend analysis and slope estimation, respectively, for the provided data sets.

3.4.1. Mann-Kendall Test

The Man-Kendall test is a nonparametric test that is primarily used to identify monotonic trends in time series data. Instead of relating absolute values, this measure looks at how different data sets compare to one another [25]. The advantage of this measure is that the data do not need to assure a specific distribution. This test compares each data point in the time period to all subsequent values. The Mann-Kendall measure, denoted by S, is initially supposed to be zero. S is incremented by one if a value in later periods is greater than it was in the previous period, and vice versa. The eventual value of S is determined by the sum of all such additions and subtractions. The Mann-Kendall statistic (S) or Test statistic (S) is presented as:

Equation 1 represents the calculation of the number of inversions in a given set of values (xᵢ) indexed by i and j. Where n is denoted as the number of data points, xj, and xi are the data values in time period i and j (j>i), respectively and sgn(xj−xi) is the sign function, presented as:

Equation 2 represents the difference between two variables xj, and xi. The significance of the trend is statistically quantified by calculating the probability associated with S and the sample size, n. Normalized test statistic ZS is computed in the following manner:

Equation 3 represents the calculation of a standard score (Z-score) for a random variable S. ZS values in the positive range suggest rising trends, while ZS values in the negative range indicate falling trends. The degree of statistical significance is used to test for trends. The null hypothesis is denied, and a notable trend in the time series is present when ZS>Z1 = 2. From the normal distribution chart, it can be determined that Z1−α=2. Both the α = 0.01 and α = 0.05 thresholds of significance were used in this study. If |ZS|>1.96 (at the 5% significance level) or >2.576 (at the 1% significance level), then the null hypothesis of no trend is denied.The Mann-Kendall test has been utilized frequently to evaluate the importance of trends throughout hydro-meteorological time-series data [26-31] .

3.4.2. Sen’s Slope Estimator

Sen's slope is a nonparametric method to estimate the slope of a linear relationship between two variables [24]. This is a procedure for estimating the trend slope in the sample of N pairs of data:

Equation 4 represents the calculation of a sequence of values Qᵢ for i = 1, 2, ..., N, given a set of values indexed by j and k, where xj and xk are the data values at times j and k (j>k), respectively. If there is only one datum in each period, then , where n is the number of periods. If there are multiple observations in one or more periods, then , where n is the total number of observations. 

The N values of Qi are ranked from smallest to largest, and the median of slope or Sen's slope estimator is computed as:

Equation 5 represents the calculation of the median of a sequence of values Qᵢ, where i = 1, 2, ..., N. The Qmed sign reflects data trend reflection, while its value indicates the steepness of the trend. To determine whether the median slope is statistically different from zero, one should obtain the confidence interval of Qmed at a specific probability. The confidence interval about the time slope [25] can be computed as follows:

Equation 6 represents the calculation of the confidence interval (C_α) for a random variable S, where Var(S) is defined in Equation 6 and Z1−α/2 is obtained from the standard normal distribution table. This study computed the confidence interval at two significance levels (α= 0.01 and α=0.05).

Then,  are computed. The lower and uper limits of the confidence interval, Qmin, and Qmax are the M1th largest and the (M2+ 1) largest of the N-ordered slope estimates [25]. The slope Qmed is statistically different from zero if the two limits (Qmin and Qmax) have similar signs. 

Sen's slope estimator has been widely used in hydro-meteorological time series [27, 28, 30, 31] .

Statistical software packages such as R, Python, and MATLAB contain built-in functions for performing Sen's slope test and calculating the slope and corresponding p-value. In this study, the value of Sen's Slope was calculated with the R program. MATLAB is a programming environment and numerical computing software for data analysis, modeling, and simulation.

4. RESULT AND DISCUSSION

4.1. Historical Analysis of Monthly Average Skin Temperature Patterns in Dhaka City

The characteristics of Skin Temperature (Tskin) of Dhaka city are provided in Table 1. During the analyzed time frame spanning from 1981 to 2021, the monthly variation in skin temperature in Dhaka City displayed fluctuations in both upward and downward directions. Based on our findings, it has been determined that the average skin temperature of Dhaka City is 25.986°C, while the average coefficient of determination is 0.3811, implying statistical significance at the 95% level of confidence. The findings indicate that the average annual skin temperature of the city is increasing at a rate of 0.0330°C every year Table 1. From 1981 to 2021, there was a notable downward trend in skin temperature during the monsoon season in Dhaka. The skin temperature values during the winter and pre-monsoon seasons showed variability. The coefficient of determination for the skin temperature in Dhaka City demonstrates a significant variation, with the highest value observed in January (0.6049) and the lowest value in September (0.1324). Over the past four decades, the temperature has significantly increased, with January (0.0641°C) and September (0.0066°C) experiencing the highest and lowest changes, respectively. Table 1 & Figure 2.

Figure 2. Illustrates temporal variation of skin temperature (°C) From 1981 To 2021 depicted in separate graphs for each month, composited to show the annual temperature patterns.


Table 1 . Analyzed characteristics of skin temperature (℃) of Dhaka city (1981-2021).
Season Month
TC
R
R2
Intercept
Average (℃)
Equation
Winter December
0.043
0.507
0.257
-0.906
18.979
y = 0.0431x -0.906
January
0.064
0.604
0.365
-1.346
18.083
y = 0.0641x -1.346
February
0.043
0.416
0.173
-0.903
21.974
y = 0.043x -0.903
Pre- Monsoon March
0.030
0.307
0.094
-0.648
27.487
y = 0.0309x -0.648
April
0.031
0.255
0.065
-0.650
30.828
y = 0.031x -0.650
May
0.030
0.310
0.096
-0.639
30.532
y = 0.0305x -0.639
Monsoon June
0.045
0.508
0.258
-0.962
29.403
y = 0.0458x -0.962
July
0.023
0.446
0.199
-0.492
28.713
y = 0.0234x 0.492
August
0.014
0.358
0.128
-0.301
28.438
y = 0.0143x -0.301
September
0.006
0.132
0.017
-0.137
27.987
y = 0.0066x -0.137
Post- Monsoon October
0.017
0.250
0.062
-0.369
26.562
y = 0.0176x -0.369
November
0.046
0.474
0.224
-0.979
22.846
y = 0.0466x -0.979
Average change
0.033
0.381
N/A
N/A
25.986
N/A

Note:

R=Correlation of coefficient; TC= Total change/Slope.

4.2. Historical Analysis of Monthly Average Air Temperature Patterns in Dhaka City

During the study period, 1981 to 2021, Dhaka City experienced a monthly increase in air temperature (Tair). According to study outcomes, the annual mean air temperature in Dhaka City is increasing at a rate of 0.0655℃ per year. The average air temperature recorded is 15.116℃, and the coefficient of determination is 0.4285, which is statistically significant at a 95% significance level. A rising pattern of air temperature was detected across nearly all seasons in Dhaka city during the period ranging from 1981 to 2021. The city showed an apparent increase in air temperature, with the highest coefficient of determination observed in June (0.6298) and the lowest in February (0.1816). The data indicates that the most change in Air temperature occurred in April (0.1166℃) over the forty-year period, while the least change was observed in February (0.0289℃) Table 2 & Figure 3.

Figure 3. Illustrates temporal variation of air temperature (°C) From 1981 To 2021 depicted in separate graphs for each month, composited to show the annual temperature patterns.


Table 2 . Analyzed characteristics of air temperature (℃) of Dhaka city (1981-2021).
Season Month
TC
R
R2
Intercept
Average ()
Equation
Winter December
0.042
0.274
0.075
-0.888
18.019
y = 0.0423x -0.8887
January
0.049
0.415
0.172
-1.045
19.905
y = 0.0498x -1.045
February
0.028
0.181
0.033
-0.607
22.219
y = 0.0289x -0.6076
Pre-monsoon March
0.059
0.362
0.131
-1.257
22.324
y = 0.0599x -1.2579
April
0.116
0.609
0.372
-2.449
18.421
y = 0.1166x -2.4496
May
0.074
0.410
0.168
-1.570
14.791
y = 0.0748x -1.5707
Monsoon June
0.114
0.629
0.396
-2.394
9.943
y = 0.114x -2.3948
July
0.057
0.527
0.278
-1.209
8.033
y = 0.0576x -1.2093
August
0.031
0.297
0.088
-0.665
8.176
y = 0.0317x -0.6652
September
0.053
0.463
0.215
-1.112
9.162
y = 0.053x -1.1126
Post- monsoon October
0.058
0.413
0.170
-1.226
13.678
y = 0.0584x -1.226
November
0.099
0.555
0.308
-2.081
16.725
y = 0.0991x -2.0814
Average change
0.065
0.428
N/A
N/A
15.116
N/A

Note:   R=Correlation of coefficient; TC= Total change/Slope.

4.3. Historical Analysis of Monthly Average Rainfall in Dhaka City

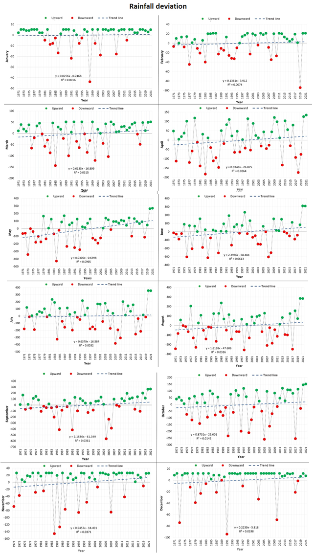
Over the study period of 1971 to 2021, Dhaka City experienced a monthly increase in rainfall. Dhaka City's annual average rainfall is increasing at a rate of 1.2259 mm per year, with an average rainfall of 162.778 mm and a coefficient of determination of 0.1702 (significance at the 95% confidence level). A discernible trend of a mild decrease in rainfall has been observed across nearly all seasons in Dhaka city, except for pre-monsoon season. Throughout the study period, January, February, July, and December have experienced a minor shift in rainfall patterns Table 3 & Figure 4. The rest of the months witnessed a significant alteration in rainfall patterns, while solely the month of May experienced a major transition in rainfall patterns. The city of Dhaka has experienced a significant increase in rainfall, with the month of May having the highest coefficient of determination at 0.4518, while the lowest value was found in January (0.0403). Over the course of 50 years, May month demonstrated the highest degree of variability in rainfall, with a maximum observed change of 4.555 mm. Conversely, the month of January displayed the lowest degree of variability in rainfall (0.0256 mm).

Figure 4. Illustrates temporal variation of rainfall (Mm) from 1971 to 2021 depicted in separate graphs for each month, composited to show the annual temperature patterns.


Table 3 . Analyzed characteristics of rainfall (MM) of Dhaka city (1981-2021).
Season Month
TC
R
R2
Intercept
Average (℃)
Equation
Winter December
0.223
0.140
0.019
-5.818
11.910
y = 0.2239x - 5.818
January
0.025
0.040
0.001
-0.746
5.183
y = 0.0256x - 0.746
February
0.136
0.086
0.007
-3.912
21.040
y = 0.1361x - 3.912
Pre- Monsoon March
0.613
0.177
0.031
-16.899
51.370
y = 0.6135x - 16.899
April
0.934
0.162
0.026
-26.875
135.293
y = 0.9346x - 26.875
May
4.555
0.451
0.204
-0.639
278.608
y = 0.0305x - 0.639
Monsoon June
2.393
0.247
0.061
-68.484
324.823
y = 2.3936x - 68.484
July
0.636
0.056
0.003
-16.584
369.305
y = 0.6379x - 16.584
August
1.613
0.177
0.031
-47.606
295.958
y = 1.6138x - 47.606
September
2.158
0.190
0.036
40.209
275.576
y = 2.1825x + 40.209
Post- Monsoon October
0.873
0.119
0.014
-25.601
157.878
y = 0.8731x - 25.601
November
0.545
0.192
0.037
-14.491
26.391
y = 0.5457x - 14.491
Average change
1.225
0.170
N/A
N/A
162.778
N/A

Note:

R=Correlation of coefficient; TC= Total change/Slope.

4.4. Historical Analysis of Monthly Average Wind Speed in Dhaka City

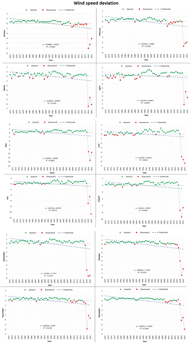
During the study period, 1971–2021, the average monthly change in wind speed in Dhaka City showed a downward trend. Dhaka experienced an annual average decrease of -0.0319 m/s in wind speed, resulting in an average wind speed of 1.455 m/s Table 4. The coefficient of determination for wind speed in Dhaka demonstrates an downward trend, with a value of -0.3866. The month of May showed the highest change with a yearly rate of 0.0305 m/s, while September demonstrated the least significant change with a yearly rate of -0.049 m/s. Remarkably, upon examining the charts displaying deviations in Wind Speed, it was visually apparent that four anomalous wind speed values (2018, 2019, 2020, and 2021) exerted the most significant influence on the overall trend of wind speed Table 4 & Figure 5. The absence of outliers could have potentially impacted the results observed in the trend deviation data. Variations in wind speed can be impacted by multiple variables, including changes in atmospheric pressure, temperature, local meteorological patterns, global climate change, and modifications to the topography, such as the development of new structures and other environmental factors.

Figure 5. Illustrates temporal variation of wind speed (M/S) from 1971 to 2021 depicted in separate graphs for each month, composited to show the annual temperature patterns.


Table 4 . Analyzed characteristics of wind speed (M/S) of Dhaka city (1971-2021).
Season Month
TC
R
R2
Intercept
Average (℃)
Equation
Winter December
-0.040
-0.495
0.245
1.041
0.755
y = -0.0401x +1.041
January
-0.040
-0.551
0.303
1.061
0.900
y = -0.0408x +1.061
February
-0.038
-0.506
0.256
1.006
1.060
y = -0.0387x + 1.006
Pre- monsoon March
-0.038
-0.377
0.142
0.996
1.563
y = -0.0383x + 0.996
April
-0.017
-0.174
0.030
0.464
2.128
y =- 0.0179x + 0.464
May
0.030
-0.342
0.117
-0.639
2.246
y = 0.0305x - 0.639
Monsoon June
-0.025
-0.255
0.065
0.663
1.919
y = -0.0255x + 0.663
July
-0.037
-0.277
0.077
0.973
1.961
y = -0.0374x + 0.973
August
-0.042
-0.309
0.095
1.092
1.804
y = -0.042x + 1.092
September
-0.049
-0.404
0.163
1.275
1.392
y = -0.049x + 1.275
Post- monsoon October
-0.048
-0.470
0.221
1.252
0.992
y = -0.0482x + 1.252
November
-0.036
-0.474
0.225
0.945
0.743
y = -0.0363x + 0.945
Average change
-0.031
-0.386
N/A
N/A
1.455
N/A

Note:

R=Correlation of coefficient; TC= Total change/Slope.

4.5. Historical Analysis of Monthly Average Relative Humidity

Dhaka City's annual monthly relative humidity data showed an overall rising trend from 1971 to 2021, except for the month of January and December Table 5 & Figure 6. The city's relative humidity changes at a rate of 0.0861 per year, with an annual average relative humidity of 74.610 and a correlation coefficient of 0.3615 (significant at the 95% confidence level). The analysis revealed a significant increase in relative humidity levels during the majority of months in Dhaka, indicating a discernible trend towards higher moisture content in the region's atmosphere. The month of May recorded the highest change (0.147), while December showed the lowest change (-0.0276) in Relative Humidity of Dhaka city over the study period Table 5 & Figure 6.

Figure 6. Illustrates temporal variation of humidity (%) from 1971 to 2021 depicted in separate graphs for each month, composited to show the annual temperature patterns.


Table 5. Analyzed characteristics of relative humidity (%) of Dhaka city (1971-2021).
Season Month
TC
R
R2
Intercept
Average (℃)
Equation
Winter December
-0.027
-0.108
0.011
0.718
72.457
y = -0.0276x +0.718
January
-0.022
-0.091
0.008
0.580
69.597
y = -0.0223x + 0.580
February
0.100
0.383
0.147
-2.603
62.775
y = 0.1001x -2.603
Pre- Monsoon March
0.101
0.294
0.087
-2.627
61.161
y = 0.101x -2.627
April
0.134
0.430
0.184
-3.501
70.406
y = 0.1346x -3.501
May
0.147
0.557
0.310
-3.822
76.615
y = 0.147x -3.822
Monsoon June
0.133
0.640
0.410
-3.460
82.262
y = 0.1331x -3.460
July
0.118
0.578
0.334
-3.088
83.763
y = 0.1188x -3.088
August
0.093
0.507
0.257
-2.436
82.757
y = 0.0937x -2.436
September
0.098
0.534
0.285
-2.572
82.652
y = 0.0989x -2.572
Post- Monsoon October
0.069
0.291
0.085
-1.8
78.268
y = 0.0692x -1.8
November
0.086
0.319
0.102
-2.242
72.602
y = 0.0863x -2.242
Average change
0.086
0.361
N/A
N/A
74.610
N/A

Note:

R=Correlation of coefficient; TC= Total change/Slope.

4.6. Results and Interpretation of Mann–Kendall Trend Model and Sen’s Slope Estimator Test.

4.6.1. Mann-Kendall Trend Test

The Mann-Kendall test is used to detect trends in time series data for a particular month across all years. If the p-value ≤ 0.05, the null hypothesis (H0) is rejected, indicating the presence of a significant trend in the data. On the other hand, if the p-value exceeds 0.05, H0 is accepted, implying an absence of a significant trend. In terms of Skin Temperature, significant trends were observed in January, February, June, July, November, and December. Regarding Air Temperature, notable trends were observed in February, March, August, and December Table 6. Significant trends were also observed for Rainfall data during May and September. For wind speed data, trends were observed in January, February, April, June, July, October, November, and December. Finally, notable  trends in humidity were present in February, April, May, June, July, August, September, October, and November. None of the parameters showed a significant trend in the months that were not specified. A positive value of Kendall’s Tau denotes a positive correlation, whereas a negative one indicates a negative correlation. A zero value denotes the absence of any correlation.

Table 6. Mann–Kendall trend model and Sen's Slope estimator results of skin temperature, air temperature, rainfall, wind speed and humidity for Dhaka city.

Skin temperature
Months
Normalized test statistics (Zs)
P - value
Mann-Kendall statistics (S)
VarS
Kendall's
Tau
Sen's slope value
January
-3.920
0.000
-350.00
7,924.67
-0.427
-0.065
February
-2.617
0.008
-234.00
7,924.67
-0.286
-0.035
March
-1.550
0.121
-139.00
7,923.67
-0.170
-0.024
April
-1.538
0.123
-138.00
7,926.67
-0.168
-0.031
May
-1.898
0.057
-170.00
7,922.00
-0.208
-0.032
June
-3.314
0.000
-296.00
7,922.67
-0.362
-0.034
July
-1.955
0.050
-175.00
7,915.00
-0.215
-0.013
August
-1.517
0.129
-136.00
7,917.33
-0.167
-0.009
September
-0.179
0.857
-17.00
7,921.67
-0.021
-0.001
October
-1.482
0.138
-133.00
7,925.67
-0.162
-0.018
November
-2.673
0.007
-239.00
7,925.67
-0.292
-0.048
December
-3.313
0.000
-296.00
7,924.67
-0.361
-0.046
Air temperature
January
-2.909
0.003
-260.00
7,922.67
-0.318
-0.050
February
-1.224
0.220
-110.00
7,924.67
-0.134
-0.031
March
-1.617
0.105
-145.00
7,925.67
-0.177
-0.048
April
-3.695
0.000
-330.00
7,926.67
-0.402
-0.109
May
-2.134
0.032
-191.00
7,925.67
-0.233
-0.065
June
-4.032
0.000
-360.00
7,926.67
-0.439
-0.111
July
-3.224
0.001
-288.00
7,922.67
-0.352
-0.049
August
-1.674
0.094
-150.00
7,918.00
-0.184
-0.026
September
-3.145
0.001
-281.00
7,925.67
-0.343
-0.050
October
-2.516
0.011
-225.00
7,925.67
-0.275
-0.053
November
-3.257
0.001
-291.00
7,925.67
-0.355
-0.101
December
-1.325
0.185
-119.00
7,925.67
-0.145
-0.041
Rainfall
January
-0.416
0.677
-50.00
13,850.00
-0.044
0.000
February
-1.538
0.123
-190.00
15,086.67
-0.151
-0.210
March
-1.332
0.182
-165.00
15,139.67
-0.130
-0.464
April
-1.283
0.199
-159.00
15,156.33
-0.125
-1.069
May
-3.103
0.001
-383.00
15,153.67
-0.301
-4.200
June
-1.242
0.214
-154.00
15,157.33
-0.121
-1.736
July
-0.178
0.858
-23.00
15,156.33
-0.018
-0.235
August
-1.104
0.269
-137.00
15,151.67
-0.108
-1.642
September
-2.071
0.038
-256.00
15,157.33
-0.201
-2.773
October
-1.762
0.078
-218.00
15,157.33
-0.171
-1.400
November
-1.292
0.196
-157.00
14,565.00
-0.131
-0.055
December
-0.546
0.585
-64.00
13,313.33
-0.058
0.000
Wind speed
January
4.633
0.0000
571.00
15,133.67
0.451
0.016
February
3.485
0.0005
430.00
15,146.00
0.339
0.013
March
1.243
0.2138
154.00
15,148.67
0.121
0.005
April
-2.566
0.0103
-317.00
15,156.33
-0.249
-0.017
May
-0.909
0.3629
-113.00
15,152.33
-0.089
-0.005
June
-2.673
0.0075
-330.00
15,146.00
-0.260
-0.011
July
-2.486
0.0129
-307.00
15,149.67
-0.242
-0.012
August
-1.949
0.0512
-241.00
15,149.67
-0.190
-0.010
September
1.218
0.2230
151.00
15,149.67
0.119
0.004
October
3.763
0.0002
464.00
15,137.33
0.367
0.011
November
3.478
0.0005
429.00
15,139.00
0.339
0.011
December
4.355
0.0000
537.00
15,143.00
0.424
0.011
Humidity
January
1.105
0.2692
137.00
15,147.67
0.108
0.031
February
-2.428
0.0152
-300.00
15,154.67
-0.236
-0.083
March
-1.876
0.0605
-232.00
15,148.67
-0.182
-0.102
April
-2.909
0.0036
-359.00
15,143.67
-0.283
-0.100
May
-3.875
0.0001
-478.00
15,148.67
-0.376
-0.156
June
-5.438
0.0000
-670.00
15,134.00
-0.529
-0.150
July
-4.476
0.0000
-552.00
15,148.67
-0.434
-0.122
August
-4.225
0.0000
-521.00
15,147.67
-0.410
-0.111
September
-4.412
0.0000
-544.00
15,140.67
-0.429
-0.106
October
-1.958
0.0500
-242.00
15,146.67
-0.190
-0.074
November
-2.194
0.0282
-271.00
15,139.67
-0.214
-0.093
December
0.544
0.5862
68.00
15,139.67
0.053
0.021

4.6.2. Sen’s Slope Estimator

A positive SSE test indicates a given parameter's upward trending (positive slope magnitude) value. In contrast, if the values are negative, the slope magnitude of the parameter will decrease. In the case of the SSE test null values, the variables have no discernible slope magnitude.

An increasing Sen's slope trend for temperature data shows temperatures are increasing at a faster rate than before. A declining trend indicates a slower increase in temperature. These trends are important for understanding climate change. Sen's Slope analysis of the monthly-annual Skin Temperature and Air Temperature values suggest a negative trend, indicating a decline in temperature.

The Sen's Slope value for Rainfall shows a negative trend on a monthly-annual basis for all months, except for January and December which show no significant trend. Wind Speed follows a declining trend for all months, except for April to August. In terms of Humidity, Sen's Slope consistently exhibits a negative trend, except for January and December which show an upward trend. These observations suggest that Sen's Slope tends to experience decreasing conditions, with some exceptions for certain months where there is either no significant trend or an increasing trend Table 6.

5. CONCLUSION AND DISCUSSION

This study aimed to assess the historical climate data trend for Dhaka, Bangladesh's capital city (Tskin, Tair, Precipitation, Wind Speed, Humidity). The study utilized the Mann-Kendall trend model and Sen's Slope estimator to evaluate the trend in the data over five decades (1971-2021), except for Tskin and Tair, which were evaluated over a period of four decades (1981-2021). The trend analysis involved estimating various parameters, including the slope or total change, the regression equation, the coefficient of determination, Sen's Slope value, and the parameters for the Mann-Kendall test. The trend analysis of the annual average temperature for Tskin and Tair between 1981 and 2021 indicates an upward trend. This implies that there has been a gradual rise in the temperature of Dhaka over the course of history. Over the course of four decades, there was a notable rise in temperature, showing the highest average Tskin during the pre-monsoon period and Air Temperature during the late winter to early pre-monsoon period. Conversely, the lowest average temperature documented for Tskin occurred during the winter season, while for Tair, it occurred during the monsoon season.

Over the past five decades, there has been an upward trend in the yearly rainfall rates spanning from 1971 to 2021. The average monthly rainfall data analysis indicates that the monsoon season had the highest rainfall, while the winter season had the lowest average rainfall.

The annual Wind Speed value demonstrated a decreasing trend between 1971 and 2021. The pre-monsoon season displayed the highest monthly average Wind Speed, while the post-monsoon season recorded the lowest.

The trend of increasing humidity over the past five decades is evident from the annual data. The monsoon period showed the highest humidity levels, while the winter season demonstrated the lowest humidity levels.

The correlations between climatological data provide further evidence of the complicated relationship between these factors and imply that small shifts in one can have profound impacts on others. In the study area, it was observed that the air temperature reached its minimum during the monsoon season. This occurrence could potentially be attributed to the highest levels of humidity recorded during the same period. There is an additional link that can be observed between humidity and rainfall. The research revealed that alterations in humidity were associated with changes in rainfall, whereby both a rise and fall in humidity were observed along with an increase and decrease in rainfall within the corresponding period. The data presented in the chart indicates a notable upward trend in rainfall during the study period. However, it is likely that this trend is connected to the simultaneous increase in temperature, which has led to a corresponding increase in evaporation over the past five decades.

The study implemented the Mann-Kendall test to analyze the climatological parameters. It determined that all parameters, with the exception of the Rainfall values for January and December, exhibited a statistically significant trend. Sen's slope estimator was employed to analyze the trend of various climate parameters on a monthly basis. The results indicated a decreasing trend in the average value of most parameters, with the exception of wind speed and humidity. These two parameters displayed a fluctuating trend, with wind speed displaying a positive trend during the months of January to March and September to December. Similarly, humidity demonstrated a positive trend in the months of January and December. The data for other months with the same parameters indicated a decreasing trend.

This city is prone to various climate hazards due to its geographical location, rapid urbanization, inadequate infrastructure, and natural catastrophes such as urban flooding caused by severe rainfall, heatwave resulting from the urban heat island effect, and humid climatic conditions, Nor’westers due to excessive rainfall along with strong wind, thunderstorm, and lightning due to monsoon wind. Possible causes for the dramatic drop in wind speed include seasonal variations, the growing number of man-made structures, changes in topography and climate conditions, and the effects of artificial and natural factors. The present study assumes that the swift urbanization observed in recent times could potentially be a significant contributing factor to a drop in wind speed.

This study on the climatology of Dhaka City highlights the importance of analyzing historical climate patterns and understanding the connections between past and present climate conditions. By examining these patterns, valuable insights can be gained into the city's climate trends and potential future changes. The city's rapid growth has resulted in alterations in temperature, rainfall patterns, and air quality, thereby leading to a range of environmental and health issues. The study conducted an in-depth assessment of historical climate data and atmospheric conditions and identified several significant factors responsible for these changes. These factors include extreme urban heat island effects and reduced green spaces. Moreover, the study highlighted the necessity of implementing sustainable development and climate-resilient strategies in Dhaka City. These measures encompass improving green infrastructure, lowering vehicular emissions, lessening CO2 emissions, and promoting energy-efficient buildings. Given the expanding populace and escalating urbanization, the city must adopt preemptive measures to mitigate the unfavorable consequences of climate change and ensure the protection of its inhabitants' physical and mental welfare. Considering the difficulties presented by climate change, it is crucial for policymakers, urban planners, and other relevant parties to utilize this data in order to establish effective plans and tactics aimed at mitigating the hazards related to catastrophic weather events. Furthermore, this study underscored the significance of continuous monitoring and inspection of the city's climatological data to facilitate evidence-based decision-making and guarantee the sustainable development of Dhaka city.

Funding: This study received no specific financial support.  
Institutional Review Board Statement: Not applicable.
Transparency: The authors state that the manuscript is honest, truthful, and transparent, that no key aspects of the investigation have been omitted, and that any differences from the study as planned have been clarified. This study followed all writing ethics.

Competing Interests: The authors declare that they have no competing interests.

Authors’ Contributions: All authors contributed equally to the conception and design of the study. All authors have read and agreed to the published version of the manuscript.

REFERENCES

[1]          D. L. Hartmann et al., "Observations: Atmosphere and surface in climate change 2013 – The physical science basis: Working group I contribution to the fifth assessment Report of the intergovernmental panel on climate change." Cambridge: Cambridge University Press, 2013, pp. 159-254.

[2]          J. Hansen, R. Ruedy, M. Sato, and K. Lo, "Global surface temperature change," Reviews of Geophysics, vol. 48, pp. 1-29, 2010.  https://doi.org/10.1029/2010RG000345

[3]          S. Solomon et al., "Climate change 2007: The physical science basis," Working Group I Contribution to the Fourth Assessment Report of the IPCC, 2007.

[4]          C. Parmesan, "Ecological and evolutionary responses to recent climate change," Annual Review of Ecology, Evolution, and Systematics, vol. 37, no. 1, pp. 637-669, 2006.  https://doi.org/10.1146/annurev.ecolsys.37.091305.110100

[5]          IPCC, "Summary for policymakers in climate change 2013 – The physical science basis: Working group I contribution to the fifth assessment report of the intergovernmental panel on climate change." Cambridge: Cambridge University Press, 2014, pp. 1-30.

[6]          Bangladesh Bureau of Statistics, "Government of the people\’s republic of Bangladesh," Retrieved: https://sid.portal.gov.bd/sites/default/files/files/sid.portal.gov.bd/publications/01ad1ffe_cfef_4811_af97_594b6c64d7c3/PHC_Preliminary_Report_(English)_August_2022.pdf. [Accessed 10-16-2022], 2022.

[7]          The Daily Star, "The deadly urban heat that can cripple our city," Retrieved: https://www.thedailystar.net/views/opinion/news/the-deadly-urban-heat-can-cripple-our-city-2197821. [Accessed 29-3-2023], 2021.

[8]          Bangladesh Meteorological Department, "Climate Report," Retrieved: https://live3.bmd.gov.bd/p/Climate-Report. [Accessed 19-3-2023], 2016.

[9]          M. R. I. S. Yasin Wahid Rabby and M. L. Hossain, "Analysis of temperature change in capital city of Bangladesh," Journal of Environmental Treatment Techniques, vol. 3, no. 1, pp. 55-59, 2015.

[10]        World Bank, "World bank open data," Retrieved: https://data.worldbank.org/. 2020.

[11]        Asian Development Bank, "Climate change in South Asia: Strong responses for building a sustainable future. © Asian development bank," Retrieved: http://hdl.handle.net/11540/721. 2010.

[12]        IPCC, "Global warming of 1.5°C," Retrieved: https://www.ipcc.ch/sr15/. 2018.

[13]        S. Trajkovic and S. Kolakovic, "Wind-adjusted turc equation for estimating reference evapotranspiration at humid European locations," Hydrology Research, vol. 40, no. 1, pp. 45-52, 2009.  https://doi.org/10.2166/nh.2009.002b

[14]        IPCC, "Climate change the physical science basis contribution of working group I to the sixth assessment report of the intergovernmental panel on climate change," Retrieved: https://www.ipcc.ch/report/ar6/wg1/. 2021.

[15]        United, "Nations framework convention on climate change Bangladesh-intended nationally determined contribution," Retrieved: https://www4.unfccc.int/sites/ndcstaging/PublishedDocuments/Bangladesh%20First/Bangladesh_INDC_to_UNFCCC.pdf. [Accessed 10-3-2023], 2015.

[16]        World Health Organization, "Climate change and health," Retrieved: https://www.who.int/news-room/fact-sheets/detail/climate-change-and-health. [Accessed 16-3-2023], 2018.

[17]        M. Biswas, "Climate change & its impacts on Bangladesh," Retrieved: https://www.bip.org.bd/admin/uploads/bip-publication/publication-8/paper/20140128164211.pdf. 2013.

[18]        M. Mani, S. Bandyopadhyay, S. Chonabayashi, and A. Markandya, South Asia's hotspots: The impact of temperature and precipitation changes on living standards. World Bank Publications. https://doi.org/10.1596/978-1-4648-1155-5 2018.

[19]        Climatestotravel, "Climate and weather in Bangladesh," Retrieved: https://www.climatestotravel.com/climate/bangladesh. [Accessed 4-22-2023], 2018.

[20]        USAID and National Renewable Energy Laboratory, "Assessing the wind energy potential in Bangladesh: Enabling wind energy development with data products," Retrieved: https://www.climatelinks.org/sites/default/files/asset/document/2020_USAID_NREL_Assessing-the-Wind-Energy-Potential-in-Bangladesh-Enabling%20Wind-Energy-Development-with-Data-Products.pdf. [Accessed 2020.

[21]        M. A. Salman et al., "NDVI-based analysis of green space decline and air quality in Dhaka: Implications for sustainable development goals," Environmental and Earth Sciences Research Journal, vol. 10, no. 2, pp. 73-83, 2023.  https://doi.org/10.18280/eesrj.100206

[22]        Dhaka Bangladesh Travel Weather Averages (Weatherbase), "Dhaka, Bangladesh travel weather averages weatherbase," Retrieved: https://www.weatherbase.com/weather/weather.php3?s=032914&refer=/. [Accessed 4-11-2023], 2019.

[23]        M. G. Kendall, Rank correlation methods, 4th ed. London: Griffin, 1975.

[24]        P. K. Sen, "Estimates of the regression coefficient based on Kendall's tau," Journal of the American Statistical Association, vol. 63, no. 324, pp. 1379-1389, 1968.  https://doi.org/10.1080/01621459.1968.10480934

[25]        R. O. Gilbert, "Statistical methods for environmental pollution monitoring," Biometrics, vol. 44, no. 1, pp. 319–319, 1987.  https://doi.org/10.2307/2531935

[26]        R. Modarres and V. D. P. R. da Silva, "Rainfall trends in arid and semi-arid regions of Iran," Journal of Arid Environments, vol. 70, no. 2, pp. 344-355, 2007.  https://doi.org/10.1016/j.jaridenv.2006.12.024

[27]        H. Tabari and S. Marofi, "Changes of pan evaporation in the west of Iran," Water Resources Management, vol. 25, pp. 97–111, 2011.  https://doi.org/10.1007/s11269-010-9689-6

[28]        H. Tabari, S. Marofi, A. Aeini, P. H. Talaee, and K. Mohammadi, "Trend analysis of reference evapotranspiration in the western half of Iran," Agricultural and Forest Meteorology, vol. 151, no. 2, pp. 128-136, 2011.  https://doi.org/10.1016/j.agrformet.2010.09.009

[29]        E. Douglas, R. Vogel, and C. Kroll, "Trends in floods and low flows in the United States: impact of spatial correlation," Journal of Hydrology, vol. 240, no. 1-2, pp. 90-105, 2000.  https://doi.org/10.1016/s0022-1694(00)00336-x

[30]        S. Yue, P. Pilon, B. Phinney, and G. Cavadias, "The influence of autocorrelation on the ability to detect trend in hydrological series," Hydrologic Processes, vol. 16, pp. 1807-1829, 2002.  https://doi.org/10.1002/hyp.1095

[31]        T. Partal and E. Kahya, "Trend analysis in Turkish precipitation data," Hydrological Processes: An International Journal, vol. 20, no. 9, pp. 2011-2026, 2006.  https://doi.org/10.1002/hyp.5993

Views and opinions expressed in this article are the views and opinions of the author(s), International Journal of Climate Research shall not be responsible or answerable for any loss, damage or liability etc. caused in relation to/arising out of the use of the content.