Index

Abstract

This paper includes a MAPLE® code giving numerical solution of two dimensional Schrödinger equation in a functional space. The Galerkin method has been used to get the approximate solution. The results have been examined with numerical examples.

Keywords: Time dependent schrödinger equation, Weak solution, Numerical approximation, Galerkin method, Maple.

Received:22 November 2016/ Revised:17 December 2016/ Accepted:28 December 2016/ Published:9 January 2017

Contribution/ Originality

This study is one of very few studies which have investigated to obtain an efficient computation tool for numerical examinations of two dimensional Schrödinger Equation.


1. INTRODUCTION

As it is known the Schrödinger equation appears in underwater acoustics, in electromagnetic wave propagation, in optics and in optoelectronic devices [1-4] . The analytical and numerical solutions have been a subject of considerable interest [5-8] .

The numerical investigations on two dimensional Schrödinger equation have drawn considerable interest in different aspects [9-13] .

We consider one single electron of an atomic system that could be extended for several electron problems and assume that external potential is time dependent only. Besides, we assume that the system has a perturbing term. Depending on the nature of perturbation the system can set out quite complicated features.

The purpose of this study is to obtain an operable and efficient code for the solution of a general two dimensional Schrödinger equation in the form of;

2. THE APPLICATION OF GALERKIN METHOD

It is known that, in numerical analysis, Galerkin method is a kind of method for converting a continuous operator problem to a discrete problem. Actually, it is the equivalent of applying the method of variation of parameters to a function space, by converting the equation to a weak formulation. So, some constraints can be applied on the function space to characterize the space with a finite set of basis functions.

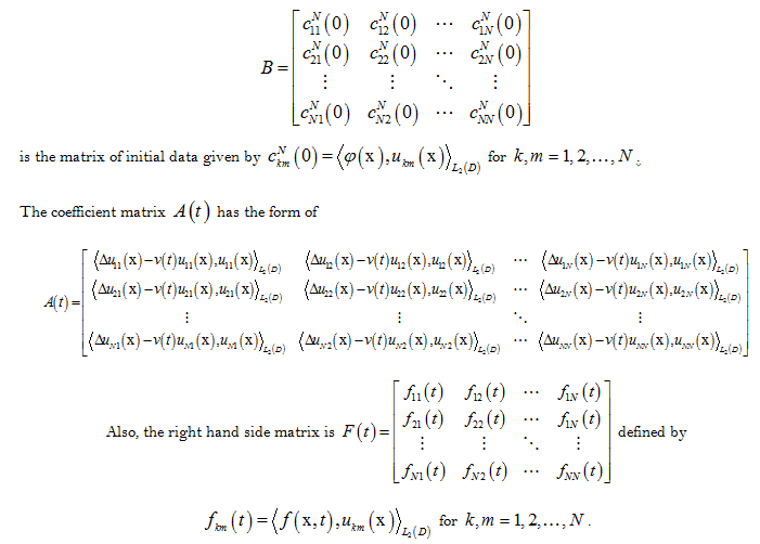
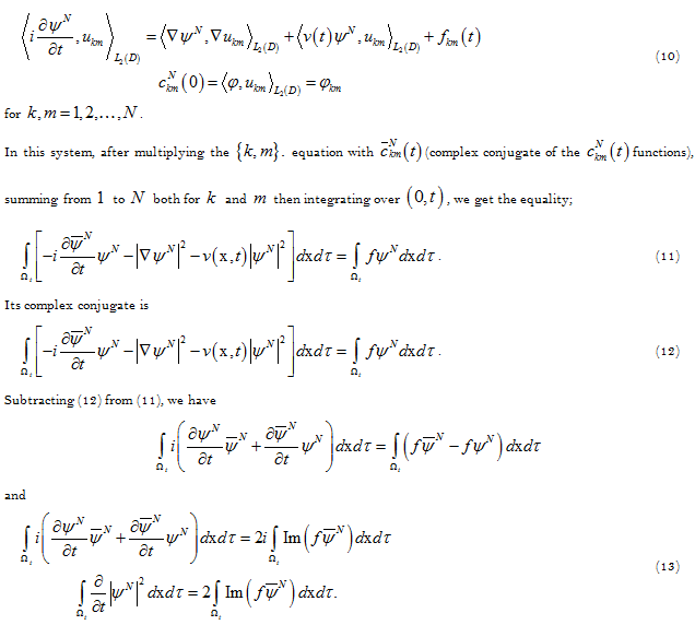
According to the Faedo-Galerkin Method or mostly briefly as Galerkin Method, the approximations for the solution of the problem (1)-(3) are such as:

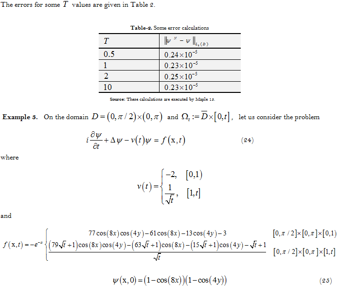
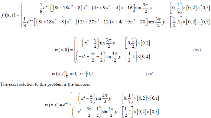
3.  NUMERICAL ILLUSTRATIONS

In this section we have generated three test problems and obtained numerical examples reflecting the results of the method. These examples are produced by using the code given in the Appendix.

Figure-1. Visualizations of Solutions

Source: These figures are plotted by Maple 15.


Figure-2. Visualization of Solutions

Source: These figures are plotted by Maple 15.

 

Figure-3. Visualization of Solutions

Source: These figures are plotted by Maple 15.

4. RESULT AND DISCUSSION

 

> TDSE:=proc(l1,l2,N,v,phi,f)
> u:=array(1..N,1..N):du:=array(1..N,1..N):A:=array(1..N,1..N):C:=array(1..N,1..N):
> F:=array(1..N,1..N):IC:=array(1..N,1..N):S:=array(1..N,1..N):
> for k from 1 to N do
> for m from 1 to N do
> u[k,m]:=2/sqrt(l1*l2)*sin(k*Pi/l1*x)*sin(m*Pi/l2*y):
> du[k,m]:=simplify(diff(u[k,m],x$2)+diff(u[k,m],y$2)):
> od;
> od;
> for i from 1 to N do
> for j from 1 to N do
> C[i,j]:=c[i,j](t):
> A[i,j]:=evalf(int((du[i,j]-v*u[i,j])*u[i,j],x=0..l1,y=0..l2));
> F[i,j]:=evalf(int(f*u[i,j],x=0..l1,y=0..l2));
> IC[i,j]:=evalf(int(phi*u[i,j],x=0..l1,y=0..l2));
> od;
> od;
> for i from 1 to N do
> for j from 1 to N do
> d[i,j]:=I*diff(C[i,j],t)+A[i,j]*C[i,j]=F[i,j];
> S[i,j]:=rhs(dsolve({d[i,j],c[i,j](0)=IC[i,j}],C[i,j]));
> od;
> od;
> psi:=sum(sum(S[r,s]*u[r,s],s=1..N),r=1..N);
> end:          

 

Funding: This study received no specific financial support.

Competing Interests: The authors declare that they have no competing interests.

Contributors/Acknowledgement: We are very grateful to the referee for his/her appropriate and constructive suggestions and for his/her proposed corrections to improve the paper

REFERENCES

[1]          F. D. Tappert, "The parabolic approximation method. Wave propagation and underwater acoustic," Lecture Notes in Physics Springer, Berlin, vol. 70, pp. 224-287, 1977. View at Google Scholar | View at Publisher

[2]          M. Levy, Parabolic equation methods for electromagnetic wave propagation. London, United Kingdom: The Institution of Electrical Engineers, 2000.

[3]          Y. V. Kopylov, A. V. Popov, and A. V. Vinogradov, "Applications of the parabolic wave equations to X-ray diffraction optics," Optics Communications, vol. 118, pp. 619-636, 1995. View at Google Scholar | View at Publisher

[4]          W. Huang, C. Xu, S. T. Chu, and S. K. Chaudhuri, "The finite-difference vector beam propagation method: Analysis and assessment," Journal of Lightwave Technology, vol. 10, pp. 295-305, 1992. View at Google Scholar | View at Publisher

[5]          M. Dehghan and A. Taleei, "A chebyshev pseudospectral multidomain method for the soliton solution of coupled nonlinear Schrodinger equations," Computer Physics Communications, vol. 182, pp. 2519-2529, 2011. View at Google Scholar | View at Publisher

[6]          M. Dehghan and V. Mohammadi, "Two numerical meshless techniques based on radial basis functions (RBFs) and the method of generalized moving least squares (GMLS) for simulation of coupled Klein-Gordon-Schrodinger (KGS) equations," Computer and Mathematics with Applications, vol. 71, pp. 892-921, 2016. View at Google Scholar | View at Publisher

[7]          M. Dehghan, "Finite difference procedures for solving a problem arising in modeling and design of certain opto-electronic devices," Mathematics and Computers in Simulation, vol. 71, pp. 16-30, 2006. View at Google Scholar | View at Publisher

[8]          R. J. Cheng and Y. M. Cheng, "Solving unsteady Schrodinger equation using the improved element-free Galerkin method," Chinese Physics B, vol. 25, pp. 1-9, 2016.

[9]          A. Xavier, B. Christophe, and K. Pauline, "Absorbing boundary conditions for the two-dimensional Schrödinger equation with an exterior potential. Part II: Discretization and numerical results," Numerische Mathematik, vol. 125, pp. 191-223, 2013. View at Publisher

[10]        J. Kalita, P. Chhabra, and S. Kumar, "A semi-discrete higher order compact scheme for the unsteady two-dimensional Schrödinger equation," Journal of Computational and Applied Mathematics, vol. 197, pp. 141-149, 2006. View at Google Scholar | View at Publisher

[11]        M. Subaşı, "On the finite-difference schemes for the numerical solution of two dimensional Schrödinger equation," Numerical Methods of Partial Differential Equations, vol. 18, pp. 752-758, 2002. View at Google Scholar | View at Publisher

[12]        A. Taleei and M. Dehghan, "Time-splitting pseudo-spectral domain decomposition method for the soliton solutions of the one- and multi-dimensional nonlinear Schrodinger equations," Computer Physics Communications, vol. 185, pp. 1515-1528, 2014. View at Google Scholar | View at Publisher

[13]        M. Dehghan and F. Emami-Naeini, "The sinc-collocation and Sinc-Galerkin methods for solving the two-dimensional Schrodinger equation with nonhomogeneous boundary conditions," Applied Mathematical Modelling, vol. 37, pp. 9379-9397, 2013. View at Google Scholar | View at Publisher

[14]        G. Yagubov, F. Toyoglu, and M. Subaşı, "An optimal control problem for two-dimensional Schrodinger equation," Applied Mathematics and Computation, vol. 218, pp. 6177–6187, 2012. View at Google Scholar | View at Publisher

Views and opinions expressed in this article are the views and opinions of the author(s), International Journal of Mathematical Research shall not be responsible or answerable for any loss, damage or liability etc. caused in relation to/arising out of the use of the content.