Index

Abstract

In this paper, the generalized exp(-Φ(ξ))-expansion method along with the Jumarie’s modified Riemann-Liouville derivatives is proposed to solve the nonlinear fractional Sharma-Tasso-Olever (STO) equation. Consequently, the exact solutions are obtained in terms of the trigonometric, exponential, hyperbolic, and rational functions, which confirm the proposed technique is very effectual and easily applicable.

Keywords: The fractional STO equation,Traveling wave solutions,Modified Riemann-Liouville derivatives,Generalized Exp (-Φ(ξ))-expansion method ,Fractional differential equation,Exact solutions.

Received: 24 March 2017 / Revised: 12 May 2017 / Accepted:15 June 2017/ Published: 29 June 2017

Contribution/ Originality

This study contributes in the existing literature on the use of the exp(-Φ(ξ))-expansion method. The method is applied to find the exact solutions to the fractional STO equation for the first time. Consequently, we get some new forms of exact solutions.


1. INTRODUCTION

With the development of nonlinear Science, increasing scholars regard the world around us as a nonlinear system and thus a plenty of nonlinear PDEs are widely used as models in various fields of natural sciences [1, 2]. A particular category of nonlinear PDEs are nonlinear fractional PDEs that have continually appeared in physics, chemistry, biology, polymeric materials, electromagnetic, acoustics, neutron point kinetic model, vibration and control, signal and image processing, fluid dynamics and so on [3-6]. Due to its practicability and complexity, it is important to seek the solutions of nonlinear fractional PDEs and researchers [7-24] have put considerable effort into it. For the purpose of solving problems in the practical application fields, more exact traveling wave solutions to the fractional PDEs seem to be useful. Up to now, a large number of methods have been applied to seek the solutions to nonlinear fractional PDEs, such as the fractional first integral method [11, 12] the fractional sub-equation method [13, 14] the (G'/G)-expansion method [15, 16] the improved (G'/G)-expansion method [17] the functional variable method [18] the fractional modified trial equation method [19] the extended spectral method [20] the variational iteration method [21-24] and so on. It is worth mentioning that Li and He [25, 26] have proposed a fractional complex transformation to convert fractional differential equations into ordinary differential equations (ODEs), which makes the problem simple. It means that the analytical methods devoted to advance calculus can also be applied to the fractional differential equations easily [27].

In recent years, the exp(-Φ(ξ))-expansion method have been implemented by many authors [28-30] to search the exact solutions of the nonlinear PDEs appeared in various fields as mentioned earlier. In these articles [28-30] the exp(-Φ(ξ))-expansion method along with the nonlinear ordinary differential equation

comprehensive solutions to nonlinear PDEs, so-called the generalized exp(-Φ(ξ))-expansion method [27]. Thus, the objective of this paper is to present the generalized exp(-Φ(ξ))-expansion method and implement it to find the exact traveling wave solutions of the fractional STO equation [11, 32, 33]. The proposed exp(-Φ(ξ))-expansion method along with the auxiliary nonlinear ODE provides much more comprehensive solutions and easily applicable to solve the nonlinear PDEs. Moreover, we have tried to generalize this method for finding more comprehensive exact traveling wave solutions to the nonlinear fractional PDEs in this paper. Sometimes this method can give solutions in disguised versions of known solutions that already be obtained by other methods. The superiority of this method over the existing methods is that it provides some new exact traveling wave solutions together with additional free parameters [27]. The algebraic computation of this method in this article is realized with the help of algebraic software, i.e., Mathematica.

The rest of the paper is prepared as follows: In section 2, the definitions of the fractional derivative is introduced concisely and the proposed generalized exp(-Ф(ξ))-expansion method is presented in details. Section 3 presents the application of this method to construct the exact traveling wave solutions of the nonlinear fractional STO equation. In comparison with other methods, the advantage of the proposed method is given in section 4. Conclusions have been drawn in Section 5.

2.  DESCRIPTION OF THE METHOD

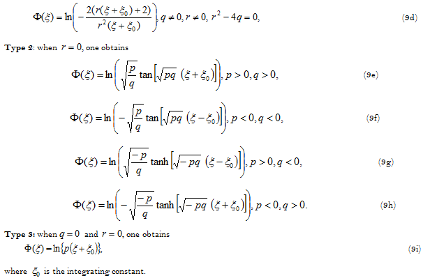
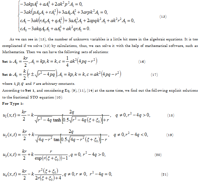
Follow the above steps, we are obtained the multiple explicit solutions of nonlinear fractional PDE (3) by combining the equations (4), (6) and (9).

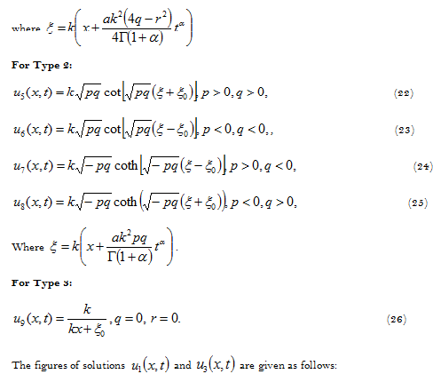
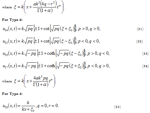
3. APPLICATION TO NONLINEAR FRACTIONAL STO EQUATION

To illustrate the feasibility of the proposed method, we employ the steps in section 2 to solve a nonlinear fractional PDE.

Let us consider the space-time fractional STO equation as follows [11, 32, 33]

4. DISCUSSION

In Lu [11] the first integral method is applied to seek the exact solutions of fractional STO equation, as a result, the solutions are appeared in the form of hyperbolic functions and trigonometric functions. Considering the solutions (22)~(25), (31)~(34) in this article, if the parameters are set to particular values, the results are in accordance with the solutions (53)~(56) in Lu [11] . In addition, solutions (18), (19), (20), (21), (26), (27), (28), (29), (30), (35) are new exact traveling wave solutions to the nonlinear fractional STO equation.

In Zheng [33] the fractional STO equation is solved by the Exp-function method, the solutions in Zheng [33] are obtained in terms of exponential, hyperbolic and trigonometric functions. While the solutions denoted by (18)~(20), (22)~(25), (27)~(29), (31)~(34) in this paper are obviously different from the results in Zheng [33]. In addition, the solutions denoted by (21), (26), (30), (35) in this paper are in the form of rational functions, which can be seen as new solutions obtained by the generalized exp(-Ф(ξ))-expansion method.

Through the above comparative analysis, it is a remarkable fact that the proposed method is a practical mathematical method to search for the exact solutions of nonlinear fractional PDEs.

5. CONCLUSION

In this paper, the generalized exp(-Φ(ξ))-expansion method along with the Jumarie’s modified Riemann-Liouville derivatives has been successfully applied to the nonlinear fractional STO equation for the first time. The Discussion Section shows that the proposed method can give more solutions in general forms compared with other methods. Besides, this method is straightforward and easily applicable. Based on this advantage, we can also apply it to many other nonlinear fractional PDEs. The exact solutions obtained via this method have its great potential in the further analysis, such as stability analysis and compare with numerical solutions arises in various fields of applied mathematics and mathematical physics [27].

Funding: This study received no specific financial support.

Competing Interests: The authors declare that they have no competing interests.

Contributors/Acknowledgement: Both authors would like to express sincere thanks to the referees for their valuable suggestions and comments.

REFERENCES

[1]          F. Achleitner, C. M. Cuesta, and S. Hittmeir, "Travelling waves for a non-local Korteweg–de Vries–burgers equation," Journal of Differential Equations, vol. 257, pp. 720-758, 2014. View at Google Scholar | View at Publisher

[2]          J. Lee and R. Sakthivel, "Direct approach for solving nonlinear evolution and two-point boundary value problems," Pramana, vol. 81, pp. 893-909, 2013. View at Google Scholar | View at Publisher

[3]          V. E. Tarasov, Fractional dynamics: Applications of fractional calculus to dynamics of particles, fields and media [M][J]. Beijing and Springer-Verlag Berlin Heidelberg: Higher Education Press, 2010.

[4]          I. Podlubny, Fractional differential equations [C]: Mathematics in Science and Engineering, 1998.

[5]          H. C. Jin, H. Kim, and R. Sakthivel, "Exact solution of the wick-type stochastic fractional coupled KdV equations," Journal of Mathematical Chemistry, vol. 52, pp. 2482-2493, 2014. View at Google Scholar | View at Publisher

[6]          A. D. Polyanin and A. I. Zhurov, "Exact separable solutions of delay reaction-diffusion equations and other nonlinear partial functional-differential equations," Communications in Nonlinear Science & Numerical Simulation, vol. 19, pp. 409-416, 2014. View at Google Scholar | View at Publisher

[7]          Q. Feng and F. Meng, "Explicit solutions for space-time fractional partial differential equations in mathematical physics by a new generalized fractional Jacobi elliptic equation-based sub-equation method," Optik - International Journal for Light and Electron Optics, vol. 127, pp. 7450-7458, 2016. View at Google Scholar | View at Publisher

[8]          Q. Feng, " A new analytical method for seeking traveling wave solutions of space–time fractional partial differential equations arising in mathematical physics," Optik - International Journal for Light and Electron Optics, vol. 130, pp. 310-323, 2017. View at Google Scholar | View at Publisher

[9]          A. Arzu, K. Melike, and B. Ahmet, "Auxiliary equation method for fractional differential equations with modified riemann–liouville derivative," International Journal of Nonlinear Sciences and Numerical Simulation, vol. 17, pp. 413-420, 2016. View at Google Scholar | View at Publisher

[10]        K. Melike, K. Murat, and B. Ahmet, "Regarding on the exact solutions for the nonlinear fractional differential equations," Open Physics, vol. 14, pp. 478-482, 2016. View at Google Scholar | View at Publisher

[11]        B. Lu, "The first integral method for some time fractional differential equations," Journal of Mathematical Analysis & Applications, vol. 395, pp. 684-693, 2012. View at Google Scholar 

[12]        M. Eslami, B. F. Vajargah, and M. Mirzazadeh, "Application of first integral method to fractional partial differential equations," Indian Journal of Physics, vol. 88, pp. 177-184, 2014.

[13]        S. Zhang and H. Q. Zhang, "Fractional sub-equation method and its applications to nonlinear fractional PDEs," Physics Letters A, vol. 375, pp. 1069-1073, 2011. View at Google Scholar | View at Publisher

[14]        B. Zheng and C. Wen, "Exact solutions for fractional partial differential equations by a new fractional sub-equation method," Advances in Difference Equations, vol. 2013, pp. 199, 2013. View at Google Scholar | View at Publisher

[15]        G. G. Zheng, "(G′/G)-expansion method for solving fractional partial differential equations in the theory of mathematical physics," Theoretical Physics, vol. 58, pp. 623-630, 2012. View at Google Scholar | View at Publisher

[16]        N. Shang and B. Zheng, "Exact solutions for three fractional partial differential equations by the (G ′ / G) method," International Journal of Applied Mathematics, vol. 43, pp. 1-6, 2013. View at Google Scholar 

[17]        K. A. Gepreel and S. Omran, "Exact solutions for nonlinear partial fractional differential equations," Chinese Physics B, vol. 11, pp. 110204, 2012. View at Google Scholar 

[18]        W. Liu and K. Chen, "The functional variable method for finding exact solutions of some nonlinear time-fractional differential equations," Pramana, vol. 81, pp. 387-384, 2013. View at Google Scholar | View at Publisher

[19]        H. Bulut, H. M. Baskonus, and Y. Pandir, "The modified trial equation method for fractional wave equation and time fractional generalized burgers equation," Abstract & Applied Analysis, vol. 2013, pp. 41-62, 2013.

[20]        H. Khalil and R. A. Khan, "Extended spectral method for fractional order three-dimensional heat conduction problem," Progress in Fractional Differentiation and Applications, vol. 3, pp. 165-185, 2015. View at Google Scholar 

[21]        A. Neamaty, B. Agheli, and R. Darzi, "Variational iteration method and he’s polynomials for time-fractional partial differential equations," Progress in Fractional Differentiation and Applications, vol. 1, pp. 47-55, 2015. View at Google Scholar 

[22]        G. C. Wu, "A fractional variational iteration method for solving fractional nonlinear differential equations," Computers Mathematics with Applications, vol. 61, pp. 2186-2190, 2011. View at Google Scholar | View at Publisher

[23]        G. C. Wu and D. Baleanu, "Variational iteration method for the burgers’ flow with fractional derivatives-new lagrange multipliers," Applied Mathematical Modelling, vol. 37, pp. 6183-6190, 2013. View at Google Scholar | View at Publisher

[24]        M. Inc, "The approximate and exact solutions of the space and time-fractional burgers equations with initial conditions by variational iteration method," Journal of Mathematical Analysis and Applications, vol. 345, pp. 476-484, 2008. View at Google Scholar | View at Publisher

[25]        Z. B. Li and J. H. He, "Fractional complex transform for fractional differential equations," Mathematical and Computer Applications, vol. 15, pp. 970–973, 2010. View at Google Scholar | View at Publisher

[26]        Z. B. Li and J. H. He, "Application of the fractional complex transform to fractional differential equations nonlinear," Science Letters A: Mathematics, Physics and Mechanics, vol. 2, pp. 121–126, 2011. View at Google Scholar 

[27]        M. G. Hafez and D. Lu, "Traveling wave solutions for space-time fractional nonlinear evolution equations," Mathematics, vol. 2015, pp. 1-18, 2015.

[28]        M. A. Akbar and N. H. M. Ali, "Solitary wave solutions of the fourth order Boussinesq equation through the exp(–Ф( η ))-expansion method," Springer Plus, vol. 3, pp. 344, 2014. View at Google Scholar | View at Publisher

[29]        M. G. Hafez, M. N. Alam, and M. A. Akbar, "Traveling wave solutions for some important coupled nonlinear physical models via the coupled higgs equation and the Maccari system," Journal of King Saud University - Science, vol. 27, pp. 105–112, 2015. View at Google Scholar | View at Publisher

[30]        M. G. Hafez, M. N. Alam, and M. A. Akbar, "Application of the exp(–Ф( η ))-expansion method to find exact solutions for the solitary wave equation in an unmagnatized dusty plasma," World Applied Sciences Journal, vol. 32, pp. 2150-2155, 2014. View at Google Scholar 

[31]        M. G. Hafez and M. A. Akbar, "An exponential expansion method and its application to the strain wave equation in microstructured solids," Ain Shams Engineering Journal, vol. 6, pp. 683-690, 2015. View at Google Scholar | View at Publisher

[32]        L. Song, Q. Wang, and H. Zhang, "Rational approximation solution of the fractional Sharma-Tasso-Olever equation," Journal of Computational & Applied Mathematics, vol. 224, pp. 210-218, 2009. View at Google Scholar | View at Publisher

[33]        B. Zheng, "Exp-function method for solving fractional partial differential equations," Scientific World Journal, vol. 2013, pp. 1-8, 2013. View at Google Scholar | View at Publisher

[34]        G. Jumarie, "Modified Riemann-Liouville derivative and fractional Taylor series of nondifferentiable functions further results," Computers & Mathematics with Applications, vol. 51, pp. 1367-1376, 2006. View at Google Scholar | View at Publisher

[35]        E. M. E. Zayed, Y. A. Amer, and R. M. A. Shohib, "Exact traveling wave solutions for nonlinear fractional partial differential equations using the improved (G'/G) - expansion method," International Journal of Engineering and Applied Science, vol. 4, pp. 8269, 2014. View at Google Scholar 

[36]        G. Jumarie, "Fractional partial differential equations and modified Riemann-Liouville derivative new methods for solution[J]," Journal of Applied Mathematics & Computing, vol. 24, pp. 31-48, 2007. View at Google Scholar | View at Publisher

[37]        G. Jumarie, "Table of some basic fractional calculus formulae derived from a modified Riemann-Liouville derivative for nondifferentiable functions," Applied Mathematics Letters, vol. 22, pp. 378-385, 2009. View at Google Scholar | View at Publisher

Views and opinions expressed in this article are the views and opinions of the author(s), International Journal of Mathematical Research shall not be responsible or answerable for any loss, damage or liability etc. caused in relation to/arising out of the use of the content.