Index

Abstract

The space-time fractional modified equal-width equation is a class of fractional partial differential equations which have been used widely in nonlinear optics, solid state physics. In this article, the improved (G’/G) - expansion method has been proposed to construct more new exact solutions of the space-time fractional modified equal-width equation in the sense of modified Riemann-Liouville derivative. The traveling wave transform has been extended to convert the fractional order partial differential equation into an ordinary differential equation. In the end, three families of exact analytical solutions are obtained and expressed them in terms of the hyperbolic, trigonometric, and rational functions with arbitrary parameters, Which reveals that the improved (G’/G) -expansion method is very effective and reliable for solving fractional order partial differential equations. Moreover, the graphical representation of solution is given at different values of a, Which is helpful for people to better study the physical structure of solutions and to analyze the nonlinear optical problems in nonlinear systems.

Keywords: Fractional modified equal-width Equation, Improved-expansion method, Optical solitary travelling wave Solutions, Modified Riemann-Liouville Derivative, Hyperbolic function, Trigonometric function, Rational function.

Received: 12 December 2018 / Revised: 17 January 2019 / Accepted: 22 February 2019/ Published: 25 April 2019

Contribution/ Originality

This study contributes in the existing literature through the improved (G’/G)  -expansion method. By applying this method, more new exact solutions of the space-time fractional modified equal-width equation are obtained. The resulting solutions are useful for analyzing nonlinear optics problems.


1. INTRODUCTION

Nonlinear differential equations involving fractional order derivatives are general forms of integer-order classical differential equations. It is well known that nonlinear fractional differential equations (FDEs) cover many fields such as physics, biomechanics, chemistry, biology, power-law non-locality, relativity, nonlinear optics, engineering, solid mechanics, electricity, signal processing and so on Kaplan and Bekir [1]; Sakar and Saldır [2]; Chen and Jiang [3]; Ilie, et al. [4];  Roy, et al. [5]; Ortigueira, et al. [6]; Abrahim [7]; Subasi, et al. [8]; Agom, et al. [9]. These fractional differential equations (FDEs) play a crucial role in almost all areas of life. In order to better understand the motion law of nonlinear phenomena in natural sciences, it is essential to find the traveling wave solutions of FDEs.

In the literature, problems involving nonlinear differential equations and systems are solved by many different powerful methods, such as the extended quantum Zakharov–Kuznetsov equation by Raza, et al. [10] the generalized nonlinear Klein-Gordon equation by Gepreel, et al. [11] the Korteweg-de Vries-Bejamin-Bona-Mahony equation by Simbanefayi and Khalique [12] the generalized Radhakrishnan-Kundu-Lakshmanan dynamical equation with power law nonlinearity by Lu, et al. [13] the nonlinear complex fractional generalized Zakharov dynamical system by Lu, et al. [14] the nonlinear complex fractional Schrodinger equation by Khater, et al. [15] modified KdV–Zakharov–Kuznetsov dynamical equation by Abdullah, et al. [16] the (2+1)-dimensional Boussineq dynamical equation by Ali, et al. [17] coupled Drinfel’d-Sokolov-Wilson equation by Tariq and Seadawy [18] the symmetric regularized long wave equation by Lu, et al. [19].

The nonlinear modified equal width equation is an important mathematical model used for describing various fluid mechanics in nonlinear systems, plasma physics, and nonlinear optics [20]. So far, with the development of symbolic computation software such as Maple, many effective techniques have been proposed to study traveling wave solutions of the nonlinear modified equal width equation. In Pinar and Öziş [21] the solutions of an original auxiliary equation of first-order nonlinear ordinary differential equation with the sixth-degree nonlinear term are given to obtain exact solutions of the modified equal width equation. Application of the dynamical system method is shown in Su and Tang [22] to study the exact travelling wave solutions of the modified equal width equation. Solitary waves of modified equal width equation are presented by direct integration in Yang and Xu [23]. The extended simple equation method and the exp () expansion method are used for solving the modified equal width equation in Lu, et al. [24]. K.R. Raslan and Khalid K. Ali employ the modified extended tanh method for solving the space-time fractional modified equal width equation in Raslan, et al. [25]. Alper Korkmaz implements various ansatz method to construct solutions of the space-time fractional modified equal width equation [26]. In the present paper, the improved(G’/G)-expansion method is applied to find  more new and comprehensive exact solutions of the space–time fractional modified equal-width equation.

The extended simple equation method and the exp expansion method are used for solving the modified equal width equation in Lu, et al. [24]. K.R. Raslan and Khalid K. Ali employ the modified extended tanh method for solving the space-time fractional modified equal width equation in Raslan, et al. [25]. Alper Korkmaz implements various ansatz method to construct solutions of the space-time fractional modified equal width equation [26]. In the present paper, the improved(G’/G)-expansion method is applied to find  more new and comprehensive exact solutions of the space–time fractional modified equal-width equation.

The structure of this paper is as follows. In Section 2, the basic definitions and properties of fractional calculus are discussed, and the analysis of the improved (G’/G)-expansion method is formulated in Section 3. The complex exact solutions of the space-time fractional modified equal-width equation are obtained in Section 4. Finally, the conclusions and the advantages of the method are given in Section 5.

2. THE DEFINITION OF THE FRACTIONAL CALCULUS AND ITS THEORY

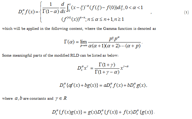
The Jumarie’s modified Riemann–Liouville [27, 28] derivative (RLD) operator of order a for the continuous function f: R R is defined by the following expression:

3. DESCRIPTION OF THE IMPROVED (G’/G) -EXPANSION METHOD

In this section, the improved (G’/G) -expansion method [29] has been discussed to obtain the solutions of nonlinear partial differential equations of fractional order. For this, consider the nonlinear fractional partial differential equation in the form:

Step2: Suppose the traveling wave solution of Equation 4 can be expressed in the following form:             

Step5: Solving the algebraic equations system in Step 4 and obtaining the unknown constants. Substituting values of the constants together with the solutions of Equation 7,  new abundant and general type exact traveling wave solutions will be obtained for Equation 2.

4. THE APPLICATION OF THE METHOD

In this section, we consider space-time fractional modified equal-width equation [25, 26]:

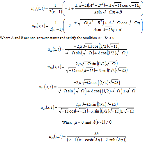
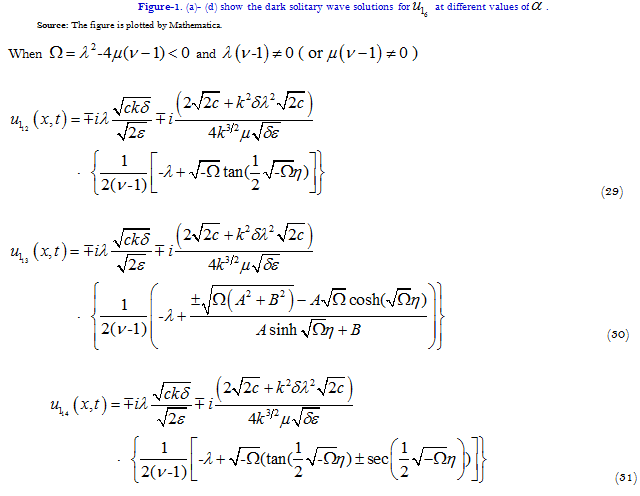
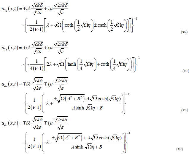
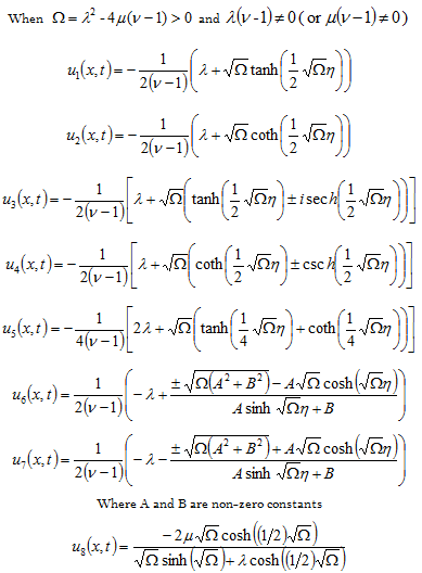
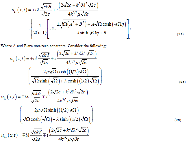
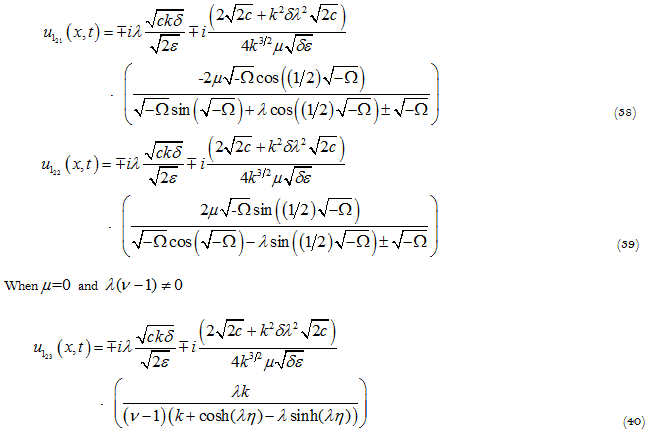
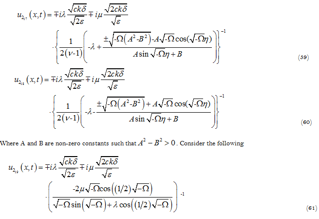
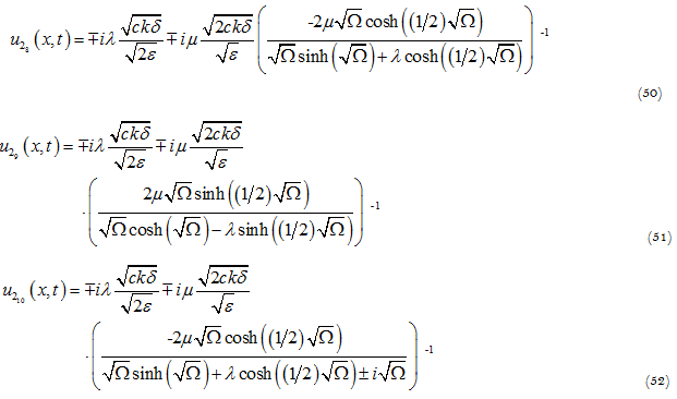
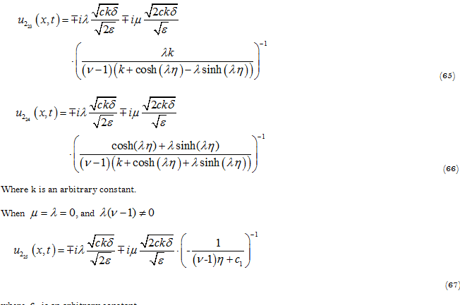
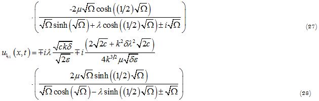
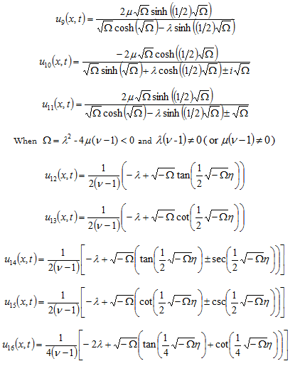
Inserting the solutions of the Equation 7 see Appendix 1 into Equation 16 and simplify, we achieve the following solutions.

Where A and B are non-zero constants. Consider the following:

5. DISCUSSION

From the above examples, we can see that many new and complex exact solutions of the space-time fractional modified equal width equation can be obtained by using the improved (G' /G)-expansion method. The modified extended tanh method is employed to solve the space-time fractional modified equal width equation in Raslan, et al. [25]. As a result, the solution is expressed in the form of hyperbolic function and triangular function. Comparing with the solution in this paper, if the parameters take specific values, the results (18), (19), (22), (29), (33), (43), (44), (47), (54), (55), (58) are consistent with the solutions in Raslan, et al. [25]. In addition, solutions (20), (21), (23)~(28), (30)~(32), (34)~(42), (45), (46), (48)~(53), (56), (57), (59)~(67) are new exact solutions of the space-time fractional modified equal width equation.

Alper Korkmaz use various ansatz method to solve the space-time fractional modified equal width equation [26]. The bright soliton solutions and singular solutions are expressed in the form of hyperbolic functions. However, the solutions (18)~(67) in this paper are obviously different from the results in the literature [26]. In addition, the solutions (29), (31)~(39), (54)~(64) obtained in this paper are in the form of trigonometric functions. The solutions expressed by (42), (67) are rational functions, which can be seen as new solutions obtained by improved (G' /G)-expansion method.

Through the above comparative analysis, the validity, accuracy, superiority and wide applicability of the method are illustrated. It can be extended to different types of fractional partial differential equations.

6. CONCLUSION

In this paper, the improved (G' /G)-expansion method has been employed successfully to obtain the exact solutions of the space-time fractional modified equal-width equation, in the sense of modified Riemann-Liouville derivative. First, we convert the space-time fractional modified equal-width equation into an ordinary differential equation by the fractional complex transformation. As a result, we get new and more general exact solutions which are not found in the previous literature [25, 26]. The obtained exact solutions are reported in terms of the hyperbolic, the trigonometric and the rational functions with some parameters. All the solutions presented in this paper have been checked with Mathematica by putting them back into the original Equation 9. In addition, it is obvious that the method would be a reliable and effective mathematical tool to handle other fractional differential equations from natural sciences.

Funding: This study received no specific financial support.   
Competing Interests: The authors declare that they have no competing interests. 
Contributors/Acknowledgement: Both authors contributed equally to the conception and design of the study.

REFERENCES

[1]          M. Kaplan and A. Bekir, "Construction of exact solutions to the space–time fractional differential equations via new approach," Optik, vol. 132, pp. 1-8, 2017.Available at: https://doi.org/10.1016/j.ijleo.2016.11.139.

[2]          M. G. Sakar and O. Saldır, "Improving variational iteration method with auxiliary parameter for nonlinear time-fractional partial differential equations," Journal of Optimization Theory and Applications, vol. 174, pp. 530-549, 2017.Available at: https://doi.org/10.1007/s10957-017-1127-y.

[3]          C. Chen and Y.-L. Jiang, "Simplest equation method for some time-fractional partial differential equations with conformable derivative," Computers & Mathematics with Applications, vol. 75, pp. 2978-2988, 2018.Available at: https://doi.org/10.1016/j.camwa.2018.01.025.

[4]          M. Ilie, J. Biazar, and Z. Ayati, "The first integral method for solving some conformable fractional differential equations," Optical and Quantum Electronics, vol. 50, p. 55, 2018.Available at: https://doi.org/10.1007/s11082-017-1307-x.

[5]          R. Roy, M. A. Akbar, and A. M. Wazwaz, "Exact wave solutions for the nonlinear time fractional Sharma–Tasso–Olver equation and the fractional Klein–Gordon equation in mathematical physics," Optical and Quantum Electronics, vol. 50, p. 25, 2018.Available at: https://doi.org/10.1007/s11082-017-1296-9.

[6]          M. D. Ortigueira, C. M. Ionescu, J. T. Machado, and J. J. Trujillo, "Fractional signal processing and applications," Signal Processing, vol. 107, p. 197, 2015.Available at: https://doi.org/10.1016/j.sigpro.2014.10.002.

[7]          C. Abrahim, "The (F/G)-Expansion Method and Travelling Wave Solutions of Nonlinear Evolution Equations," International Journal of Mathematics Research, vol. 5, pp. 63-74, 2016.Available at: https://doi.org/10.18488/journal.24/2016.5.1/24.1.63.74.

[8]          M. Subasi, S. I. Araz, and H. Gungor, "On the numerical solution of two dimensional Schrodinger equation," International Journal of Mathematical Research, vol. 6, pp. 1-12, 2017.

[9]          E. Agom, F. Ogunfiditimi, and E. V. Bassey, "Lobatto-Runge-Kutta collocation and Adomian decomposition methods on stiff differential equations," International Journal of Mathematics Research, vol. 6, pp. 53-59, 2017.Available at: https://doi.org/10.18488/journal.24.2017.62.53.59.

[10]        N. Raza, M. Abdullah, A. R. Butt, I. G. Murtaza, and S. Sial, "New exact periodic elliptic wave solutions for extended quantum Zakharov–Kuznetsov equation," Optical and Quantum Electronics, vol. 50, p. 177, 2018.Available at: https://doi.org/10.1007/s11082-018-1444-x.

[11]        K. A. Gepreel, T. A. Nofal, and A. A. Al-Asmari, "Abundant travelling wave solutions for nonlinear Kawahara partial differential equation using extended trial equation method," International Journal of Computer Mathematics, pp. 1-20, 2018.Available at: https://doi.org/10.1080/00207160.2018.1487555.

[12]        I. Simbanefayi and C. M. Khalique, "Travelling wave solutions and conservation laws for the Korteweg-de Vries-Bejamin-Bona-Mahony equation," Results in Physics, vol. 8, pp. 57-63, 2018.Available at: https://doi.org/10.1016/j.rinp.2017.10.041.

[13]        D. Lu, A. R. Seadawy, and M. M. Khater, "Dispersive optical soliton solutions of the generalized Radhakrishnan–Kundu–Lakshmanan dynamical equation with power law nonlinearity and its applications," Optik, vol. 164, pp. 54-64, 2018.Available at: https://doi.org/10.1016/j.ijleo.2018.02.082.

[14]        D. Lu, A. R. Seadawy, and M. M. Khater, "Structure of solitary wave solutions of the nonlinear complex fractional generalized Zakharov dynamical system," Advances in Difference Equations, vol. 2018, p. 266, 2018.Available at: https://doi.org/10.1186/s13662-018-1734-4.

[15]        M. M. Khater, A. R. Seadawy, and D. Lu, "New optical soliton solutions for nonlinear complex fractional Schrödinger equation via new auxiliary equation method and novel $$({G'}/{G}) $$-expansion method," Pramana, vol. 90, p. 59, 2018.Available at: https://doi.org/10.1007/s12043-018-1547-8.

[16]        Abdullah, A. R. Seadawy, and J. Wang, "Modified KdV–Zakharov–Kuznetsov dynamical equation in a homogeneous magnetised electron–positron–ion plasma and its dispersive solitary wave solutions," Pramana, vol. 91, p. 26, 2018.Available at: https://doi.org/10.1007/s12043-018-1595-0.

[17]        A. Ali, A. R. Seadawy, and D. C. Lu, "Dispersive solitary wave soliton solu-tions of (2 + 1)-Dimensional Boussineq dynamical equation via extended simple equation method," Journal of King Saud University-Science, 2018.Available at: https://doi.org/10.1016/j.jksus.2017.12.015.

[18]        K. U. Tariq and A. R. Seadawy, "On the soliton solutions to the modified Benjamin-Bona-Mahony and coupled Drinfel’d-Sokolov-Wilson models and its applications," Journal of King Saud University-Science, 2018.Available at: https://doi.org/10.1016/j.jksus.2018.03.019.

[19]        D. Lu, A. R. Seadawy, and A. Ali, "Applications of exact traveling wave solutions of modified Liouville and the symmetric regularized long wave equations via two new techniques," Results in Physics, vol. 9, pp. 1403-1410, 2018.Available at: https://doi.org/10.1016/j.rinp.2018.04.039.

[20]        Q. Zhou, A. Sonmezoglu, M. Ekici, and M. Mirzazadeh, "Optical solitons of some fractional differential equations in nonlinear optics," Journal of Modern Optics, vol. 64, pp. 2345-2349, 2017.Available at: https://doi.org/10.1080/09500340.2017.1357856.

[21]        Z. Pinar and T. Öziş, "Solutions of modified equal width equation by means of the auxiliary equation with a sixth-degree nonlinear term," in Proceedings of the Sixth International Conference on Management Science and Engineering Management. Springer, London, 2013, pp. 139-148.

[22]        D. Su and S. Q. Tang, "The sine-cosine method for generalized KdV equation with generalized evolution," Far East Journal of Applied Mathematics, vol. 62, pp. 117-128, 2012.

[23]        S. Yang and T. Xu, "Steady bifurcation and solitary waves of modified equal width equation," The European Physical Journal Plus, vol. 132, p. 369, 2017.

[24]        D. Lu, A. R. Seadawy, and A. Ali, "Dispersive traveling wave solutions of the Equal-Width and modified equal-Width equations via mathematical methods and its applications," Results in Physics, vol. 9, pp. 313-320, 2018.Available at: https://doi.org/10.1016/j.rinp.2018.02.036.

[25]        K. Raslan, K. K. Ali, and M. A. Shallal, "The modified extended tanh method with the Riccati equation for solving the space-time fractional EW and MEW equations," Chaos, Solitons & Fractals, vol. 103, pp. 404-409, 2017.Available at: https://doi.org/10.1016/j.chaos.2017.06.029.

[26]        A. Korkmaz, "Exact solutions of space-time fractional EW and modified EW equations," Chaos, Solitons & Fractals, vol. 96, pp. 132-138, 2017.Available at: https://doi.org/10.1016/j.chaos.2017.01.015.

[27]        G. Jumarie, "Modified Riemann-Liouville derivative and fractional Taylor series of nondifferentiable functions further results," Computers & Mathematics with Applications, vol. 51, pp. 1367-1376, 2006.Available at: https://doi.org/10.1016/j.camwa.2006.02.001.

[28]        G. Jumarie, "Table of some basic fractional calculus formulae derived from a modified Riemann–Liouville derivative for non-differentiable functions," Applied Mathematics Letters, vol. 22, pp. 378-385, 2009.Available at: https://doi.org/10.1016/j.aml.2008.06.003.

[29]        A. A. Hassaballa and T. M. Elzaki, "Applications of the improved expansion method for solve burgers-fisher equation," Journal of Computational and Theoretical Nanoscience, vol. 14, pp. 4664-4668, 2017.Available at: https://doi.org/10.1166/jctn.2017.6879.

[30]        M. N. Alam and M. A. Akbar, "Traveling wave solutions of nonlinear evolution equations via the new generalized expansion method," Universal Journal of Computational Mathematics, vol. 1, pp. 129-136, 2013.

[31]        M. N. Alam and M. A. Akbar, "A new expansion method and its application to the burgers equation," Walailak Journal of Science and Technology, vol. 11, pp. 643-658, 2014.

Appendix-1

Views and opinions expressed in this article are the views and opinions of the author(s), International Journal of Mathematical Research shall not be responsible or answerable for any loss, damage or liability etc. caused in relation to/arising out of the use of the content.