Index

Abstract

The main objective of this paper is to find the approximate solutions of the Black-Scholes (BS) model by two numerical techniques, namely, Du Fort-Frankel finite difference method (DF3DM), and Galerkin weighted residual method (GWRM) for both (call and put) type of European options. Since both DF3DM and GWRM are the most familiar numerical techniques for solving partial differential equations (PDE) of parabolic type, we estimate options prices by using these techniques. For this, we first convert the Black-Scholes model into a modified parabolic PDE, more specifically, in DF3DM, the first temporal vector is calculated by the Crank-Nicolson method using the initial boundary conditions and then the option price is evaluated. On the other hand, in GWRM, we use piecewise modified Legendre polynomials as the basis functions of GWRM which satisfy the homogeneous form of the boundary conditions. We may observe that the results obtained by the present methods converge fast to the exact solutions. In some cases, the present methods give more accurate results than the earlier results obtained by the adomian decomposition method [14].  Finally, all approximate solutions are shown by the graphical and tabular representations.

Keywords: Black-Scholes equation, European call option, European put option, Du Fort-Frankel finite difference method (DF3DM), Galerkin weighted residual method (GWRM), Modified legendre polynomials.

Received: 27 November 2019 / Revised: 30 December 2019 / Accepted: 3 February 2020/ Published: 25 February 2020

Contribution/ Originality

The paper’s primary contribution is finding that the approximate results of Black-Scholes model by DF3DM, and GWRM with modified Legendre polynomials as basis functions.


1. INTRODUCTION

Options are treated as the most important part of the security markets from the beginning of the Chicago Board Options Exchange (CBOE) in 1973, which is the largest options market in the world [1]. During last decades, the valuation of options has become important problem for both financial and mathematical point of view. Details about options are available in Hull [1]; Privault [2]. There are many models for calculating the value of options but among all of those models, the Black-Scholes model is a suitable way to find the European options price.

The discovery of the Black-Scholes model took long time. Fishers Black took the first step to make a model for valuation of stock. Afterward Myron Scholes added with Black and today we use their result for finding the value of different kinds of stocks. In 1973, the concept of the Black-Scholes model was first disclosed in the paper entitled, “The pricing of options and corporate liabilities” in the Journal of political economy by Black and Scholes [3] and then advanced in “Theory of rational option pricing" by Robert Merton. In 2003, Chawla, et al. [4] approximate European put option value by using Generalized trapezoidal formula and found better approximation than Crank-Nicolson method especially near the strike price. In Hackmann [5] Crank-Nicolson method has been used for evaluation of European options price with accuracy up to 3 decimal places. In 2012, Shinde and Takale [6] have calculated European call option values by using Black-Scholes formula. In Jódar, et al. [7] Black-Scholes model was solved by using Mellin transformation without numerical experiment. In Boyle [8] Monte Carlo method has been used for calculating the value of options with the accuracy and reliability. Very recently, Hok and Chan [9] develop a European option pricing method by using Fourier series with Legendre polynomials. In Carr and Madan [10] Peter Carr and Dilip B. Madan have shown the fast Fourier transform with the values of options.

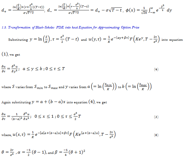
1.4. Transformation of Terminal and Boundary Conditions

1.4.1. Transformed Conditions for European Call Options

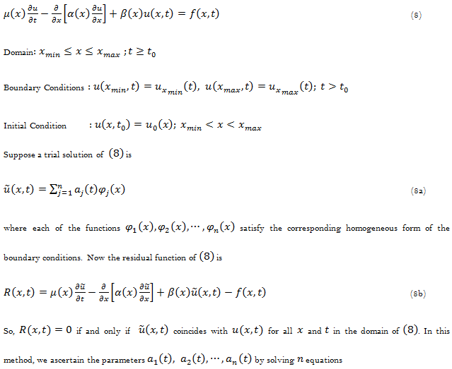
1.6. Formulation of Galerkin Weighted Residual Method (GWRM)

The Galerkin weighted residual method [12] is a well-known numerical technique for solving parabolic type PDE. By this method, we can convert a continuous operator problem into a discrete problem.

Let us consider the following parabolic initial boundary value problem:

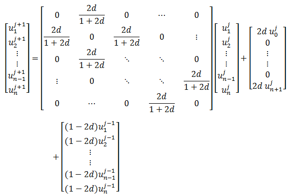
1.8. Numerical Experiments and Result Discussions

In this section, we take two data set for valuing European call option and one data set for finding the value of European put option.

Figure-2. Comparing approximate call option value (by using (a) DF3DM, (b) GWRM) with exact (BS) value for data set 1.

Data set 2: For approximating put option value we chose the parameters as follows [4]

.

Figure-3. Comparing approximate put option value (by using (a) DF3DM, (b) GWRM) with exact (BS) value for data set 2.

Figure-4. Relative errors of numerical methods (for (a) data set 1, (b) data set 2).

Figures 2 (a)  and 3. (a) ,  shows that approximate option prices obtained by DF3DM, nearly equal to BS values for all initial stock prices and from Figures 2. (b)  and 3. (b) we observe that when the initial stock price is greater than the strike price then the approximate values obtained by GWRM fluctuates slightly from the BS values.

Figure 4 shows that, relative errors of DF3DM are minimum than relative errors of GWRM almost all the time.

From Table 1, we see that, most of the cases our proposed (present) methods give better results than Reference values. 

Table-1. Call option values for data set 3.

2. CONCLUSIONS

From the results of this paper we observe that the results obtained by DF3DM is better than the results obtained by GWRM comparing with the exact (BS) and reference values. Finally, we can conclude that the DF3DM may be a good alternative to solve BS model for European options. Furthermore, we can improve the approximations of these methods by increasing the value of andin DF3DM and increasing the number of basis functions in GWRM.

Funding: The authors are grateful to the National Science and Technology (NST), Ministry of Science and Technology, Govt. of People’s Republic of Bangladesh, for granting the “NST Fellowship” during the period of research work.

Competing Interests: The authors declare that they have no competing interests.

Acknowledgement: The authors are thankful to the reviewer(s) and editorial board for their comments and suggestions for improvement of the quality of the first version of this manuscript.

REFERENCES

[1]          J. C. Hull, Options, futures, and other derivatives, 8th ed.: Pearson Education Limited, 2012.

[2]          N. Privault, Stochastic finance: An introduction with market examples: CRC Press, 2013.

[3]          F. Black and M. Scholes, "The pricing of options and corporate liabilities," Journal of Political Economy, vol. 81, pp. 637-654, 1973.

[4]          M. Chawla, M. Al-Zanaidi, and D. J. Evans, "Generalized trapezoidal formulas for the Black–Scholes equation of option pricing," International Journal of Computer Mathematics, vol. 80, pp. 1521-1526, 2003.

[5]          D. Hackmann, "Retrived from: http://math.yorku.ca/~dhackman/BlackScholes7.pdf. [Accessed 28 August 2019]," 2009.

[6]          A. Shinde and K. Takale, "Study of back-scholes model and its applications," Procedia Engineering, vol. 38, pp. 270-279, 2012.

[7]          L. Jódar, P. Sevilla-Peris, J. Cortes, and R. Sala, "A new direct method for solving the black–scholes equation," Applied Mathematics Letters, vol. 18, pp. 29-32, 2005.

[8]          P. P. Boyle, "Options: A monte carlo approach," Journal of Financial Economics, vol. 4, pp. 323-338, 1977.

[9]          J. Hok and T. L. Chan, "Option pricing with Legendre polynomials," Journal of Computational and Applied Mathematics, vol. 322, pp. 25-45, 2017.

[10]        P. Carr and D. Madan, "Option valuation using the fast fourier transform," Journal of Computational Finance, vol. 2, pp. 61-73, 1999.

[11]        K. A. Hoffmann and S. T. Chiang, Computational fluid dynamics, 4th ed. Wichita, KS: Engineering Education System, 2000.

[12]        M. Alam and M. S. Islam, "Numerical solutions of time dependent partial differential equations using weighted residual method with piecewise polynomials," Dhaka University Journal of Science, vol. 67, pp. 5-12, 2019.

[13]        K. E. Atkinson, An introduction to numerical analysis. New York: J. Wiley, 1989.

[14]        M. Bohner, F. H. M. Sanchez, and S. Rodriguez, "European call option pricing using the adomian decomposition method," Advances in Dynamical Systems and Applications, vol. 9, pp. 75-85, 2014.

Views and opinions expressed in this article are the views and opinions of the author(s), International Journal of Mathematical Research shall not be responsible or answerable for any loss, damage or liability etc. caused in relation to/arising out of the use of the content.