Index

Abstract

The key objective of this research paper is to find the numerical solution of the famous FitzHugh-Nagumo equation. The numerical scheme used here is the Galerkin finite element method (GFEM) in a simple and convenient way. Because the advantages of using GFEM are that it can be used directly without any linearization or any other restrictive assumption, it uses shape functions instead of trial functions, and it gives a
polynomial at each point instead of value, so it can be used to find value at any point within the domain. First we derive the detail formulation of GFEM for this nonlinear parabolic partial differential equation. Then we solve the FitzHugh-Nagumo equation for various values of. Later, we solve another renowned Newell-Whitehead equation for the verification of the consistency of this algorithm. The results are depicted both graphically and numerically. All results are compared with the analytical solutions to show the convergence of the proposed algorithm. Those results demonstrate that our proposed algorithm works efficiently and gives a very good agreement with the exact solution. This can be applied for solving any nonlinear parabolic partial differential equation (PDE).

Keywords:FitzHugh-Nagumo equation Nonlinear parabolic PDE , Galerkin FEM, Newell-Whitehead equation, Neumann boundary condition, Picard Iterative method, AMS subject classification, (2010): 92D25, 35K57, (primary), 35K61, 37N25.

Received: 15 January 2020 / Revised: 19 February 2020 / Accepted: 23 March 2020/ Published: 16 April 2020

Contribution/ Originality

The study uses the new estimation methodology for approximating the numerical solution of the well-known FitzHug-Nagumo equation by GFEM. It is also remarked that this study is one of very few studies which have approximated the famous F-N partial differential equation using a new technique.


1. INTRODUCTION

In recent years, FitzHugh-Nagumo (F-N) equation proposed by Hodgkin and Huxley [1] has been attracted by a considerable amount of researchers due its importance in various fields of  science; instantly see the references [2-9]  for example and the branching areas of application:

 It is a nonlinear parabolic partial differential equation generally expressed as:

Equation 2 is the famous real Newell-Whitehead equation. The F-N Equation 1 has been studied by many mathematicians and physicists. In Shih, et al. [10] Shih applied approximate conditional symmetries method to obtain first-order approximate solutions of the perturbed FitzHugh-Nagumo equation. Abbasbandy [4] applied an analytic technique, the homotopy analysis approach   to obtain the soliton solution of the F-N equation. Bhrawy [11] used Jacobi–Gauss–Lobatto collocation method for solving the generalized FitzHugh–Nagumo equation. The Haar wavelet method has been presented by Hariharan and Kannan [12] for solving the standard FitzHugh–Nagumo equation. Chen, et al. [13] presented semi-explicit finite-difference method for generalized Nagumo reaction-diffusion equation where  Feng and Lin [14] used finite difference method to approximate traveling wave solutions of the FitzHugh-Nagumo equations. Van Gorder [15] exercised the variational method to obtain analytical solutions for both the Nagumo telegraph and the Nagumo reaction–diffusion partial differential equations. In Teodoro [16] Teodoro used finite element method for solving FitzHugh-Nagumo equation but the application was in linearized equation that was converted from nonlinear to linear by applying Newton method.

In the literature and to the best of our knowledge, still none have attempted to solve the famous FitzHugh-Nagumo equation by GFEM directly. The main novelty of this paper is that we apply Galerkin finite element method for the numerical solution of FitzHugh-Nagumo equation directly without linearization of the nonlinear terms.

Now it is time to discuss about the mathematical formulation of Galerkin finite element algorithm to solve FitzHugh-Nagumo equation.

2. FITZHUGH-NAGUMO EQUATION AND GALERKIN FEM

Galerkin Finite Element Method (GFEM) is an efficient numerical method for approximating numerical solutions of various problems in different branches of science. In this section, we formulate GFEM for the numerical solution of FitzHugh-Nagumo equation given as:

In parabolic partial differential equations, linear shape functions give better accuracy than quadratic and other shape functions.

Then the trial solution for Equation 1 will be:

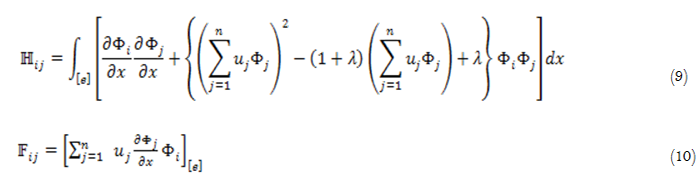
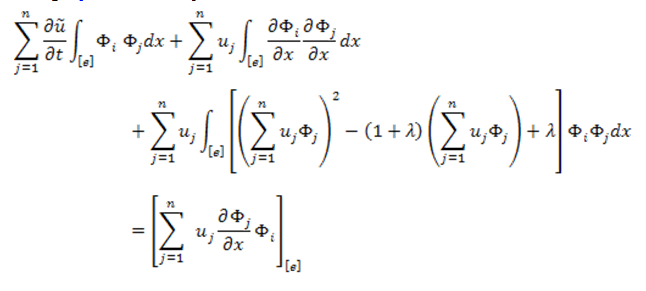
After using Equation 6 and simple calculation, we obtain

The convenient matrix form is

Equation 7 is a first order ordinary differential equation (ODE) withas an independent variable. For solve our problem, we have to transform this equation into an algebraic equation. We can do this by various numerical schemes such as Forward difference scheme, Backward difference scheme, Central difference scheme, Crank-Nicolson scheme, Galerkin method etc. Every method has advantages and disadvantages based on the problem under study. The forward and backward difference algorithms are conditionally stable with order of accuracy while the Crank-Nicolson and the Galerkin method are unconditionally stable with order of accuracy . In this paper, we usefamily of approximation that combines all the schemes discussed above for different values of [17]. Then the ODE (7) becomes:

By using the initial and boundary conditions to recurrent Equation 11, we will find the

approximate solution of the FitzHugh-Nagumo equation. In the following section we will demonstrate the efficiency of this method by solving the equation for various parametric values of and.

3. APPLICATIONS AND RESULT DISCUSSION

In this section, we apply GFEM on FitzHugh-Nagumo equation according to the algorithm discussed in the previous section. We will present our results both graphically in diagram and numerically via tabular form. In each format, we will compare our approximate results with the exact solution.

In the following example, let us consider the FitzHugh-Nagumo Equation 3 with boundary conditions:

For numerical computation, we consider and. Here in GFEM, we takenodes and the shape functions are linear. For shifting Equation 7 into Equation 11, we use family of approximation with and for iterative purpose, we recall Picard iterative method [17].

Figure-1.  Numerical vs analytical solutions of FitzHugh-Nagumo equation at  .

Figure-2. Comparative solutions of (3) and error analysis for

From Table 1 it is seen that our proposed method gives a good accuracy for different time circles. Figure 1 depicted the approximate and the analytical solutions for various time t. It is noted that for drawing Figures and computing table, we have used MATLAB R2017a code. From this diagram, visibly it is observed that the numerical solution almost coincides with the exact solution.

Table-1. Comparison between approximate and exact solution of FitzHugh-Nagumo equation when

Figure-3. Comparative solutions of (3) and error analysis for

In Figure 2a, we show the three-dimensional view of the comparison between the exact and approximate solutions. But for the good agreement of the approximate solution to the exact solution, it is hard to distinguish. That is why we use a transparent graph for the approximate solution curve. For better understanding we also provide the error map over time and space domain in Figure 2b which shows a very good similarity with the exact solution, i.e. eventually the error tends to zero.

We also evaluate the solutions of FitzHugh-Nagumo equation for and the results are graphically depicted in Figure 3. On 3D surface, the exact and analytic solutions are matching a good agreement with each other and inherently the error is still feasible.

Finally, we consider the parametric value ofand the FitzHugh-Nagumo equation turn to another famous equation known as Newell Whitehead (N-W) equation. This is a new case study and as far we know from the literature that no one solve it numerically using Galerkin finite element method; even using any numerical methods. Perhaps the main reason is that there is an asymptote in its domain while solving the N-W equation. In this study, we also solve this equation and the results of Newell Whitehead equation is presented in Figure 4; for details see in Figure 4a and Figure 4b.

4. CONCLUSION

In this paper, we derived the complete formulation of Galerkin finite element method for FitzHugh-Nagumo equation. We have solved a particular FitzHugh-Nagumo equation using the proposed algorithm. The results are presented in a data structured table and sketching various graphical maps. By observing all those figures and table, it is clear that the presented outcome exhibits the higher estimated order of convergence of this method. So, we can conclude that GFEM is an efficient, unconditionally stable, highly modular and easily expandable method that can be applied for the solution of more complicated engineering problems.

Funding: The research was partially supported by University Grant Commission (UGC), Bangladesh.

Competing Interests: The authors declare that they have no competing interests.

Acknowledgement: All authors contributed equally to the conception and design of the study.

REFERENCES

[1]          A. L. Hodgkin and A. F. Huxley, "A quantitative description of membrane current and its application to conduction and excitation in nerve," The Journal of Physiology, vol. 117, pp. 500-544, 1952. Available at: https://doi.org/10.1113/jphysiol.1952.sp004764.

[2]          R. FitzHugh, "Impulse and physiological states in models of nerve membrane," Biophysical Journal, vol. 1, pp. 445–466, 1961. Available at: https://doi.org/10.1016/s0006-3495(61)86902-6.

[3]          J. Nagumo, S. Arimoto, and S. Yoshizawa, "An active pulse transmission line simulating nerve axon," Proceedings of the IRE, vol. 50, pp. 2061-2070, 1962. Available at: https://doi.org/10.1109/jrproc.1962.288235.

[4]          S. Abbasbandy, "Soliton solutions for the Fitzhugh–Nagumo equation with the homotopy analysis method," Applied Mathematical Modelling, vol. 32, pp. 2706-2714, 2008. Available at: https://doi.org/10.1016/j.apm.2007.09.019.

[5]          H. Abdusalam, "Analytic and approximate solutions for Nagumo telegraph reaction diffusion equation," Applied Mathematics and Computation, vol. 157, pp. 515-522, 2004. Available at: https://doi.org/10.1016/j.amc.2003.08.050.

[6]          D. G. Aronson and H. F. Weinberger, "Multidimensional nonlinear diffusion arising in population genetics," Advances in Mathematics, vol. 30, pp. 33-76, 1978. Available at: https://doi.org/10.1016/0001-8708(78)90130-5.

[7]          P. Browne, E. Momoniat, and F. Mahomed, "A generalized Fitzhugh–Nagumo equation," Nonlinear Analysis: Theory, Methods & Applications, vol. 68, pp. 1006-1015, 2008. Available at: https://doi.org/10.1016/j.na.2006.12.001.

[8]          T. Kawahara and M. Tanaka, "Interactions of traveling fronts: An exact solution of a nonlinear diffusion equation," Physics Letters A, vol. 97, pp. 311-314, 1983. Available at: https://doi.org/10.1016/0375-9601(83)90648-5.

[9]          H. Li and Y. Guo, "New exact solutions to the Fitzhugh–Nagumo equation," Applied Mathematics and Computation, vol. 180, pp. 524-528, 2006. Available at: https://doi.org/10.1016/j.amc.2005.12.035.

[10]        M. Shih, E. Momoniat, and F. Mahomed, "Approximate conditional symmetries and approximate solutions of the perturbed Fitzhugh-Nagumo equation," Journal of Mathematical Physics, vol. 46, pp. 1-023503, 2005. Available at: https://doi.org/10.1063/1.1839276.

[11]        A. Bhrawy, "A Jacobi–Gauss–Lobatto collocation method for solving generalized Fitzhugh–Nagumo equation with time-dependent coefficients," Applied mathematics and computation, vol. 222, pp. 255-264, 2013. Available at: https://doi.org/10.1016/j.amc.2013.07.056.

[12]        G. Hariharan and K. Kannan, "Haar wavelet method for solving FitzHugh-Nagumo equation," International Journal of Mathematical and Statistical Sciences, vol. 2, pp. 59-63, 2010.

[13]        Z. Chen, A. Gumel, and R. Mickens, "Nonstandard discretizations of the generalized Nagumo reaction-diffusion equation," Numerical Methods for Partial Differential Equations: An International Journal, vol. 19, pp. 363-379, 2003. Available at: https://doi.org/10.1002/num.10048.

[14]        H. Feng and R. Lin, "A finite difference method for the FitzHugh-Nagumo equations," Dynamics of Continuous, Discrete and Impulsive Systems. Series B: Applications & Algorithms, vol. 22, pp. 401-412, 2015.

[15]        R. A. Van Gorder, "Gaussian waves in the Fitzhugh–Nagumo equation demonstrate one role of the auxiliary function H (x, t) in the homotopy analysis method," Communications in Nonlinear Science and Numerical Simulation, vol. 17, pp. 1233-1240, 2012. Available at: https://doi.org/10.1016/j.cnsns.2011.07.036.

[16]        M. Teodoro, "Numerical approximation of a nonlinear delay-advance functional differential equation by a finite element method," in AIP Conference Proceedings, 2012, pp. 806-809.

[17]        J. N. Reddy, An introduction to nonlinear finite element analysis. Oxford: OUP, 2014.

Views and opinions expressed in this article are the views and opinions of the author(s), International Journal of Mathematical Research shall not be responsible or answerable for any loss, damage or liability etc. caused in relation to/arising out of the use of the content.