Index

Abstract

This paper studies the global dynamics of an SIR epidemic switching model with zero co-infectives and intervention programmes. The model considers two epidemics of non-specific nomenclature in which the first epidemic is a precondition to the outbreak of the second epidemic. Analytical study of the model exposed the two epidemic steady states, namely, epidemic-free equilibrium (EFE) and epidemic endemic equilibrium (EEE). Both equilibrium states are shown to be globally attractive points with respect to the criteria of the basic reproduction number using Lyapunov stability theory. Some sufficient conditions on the model parameters are obtained to show the existence of the forward bifurcation. Finally, numerical simulations are done to exemplify the qualitative results and the impact of switching and intervention programmes. The numerical results shown that switching reduces the susceptibility and infectivity of the first epidemic and increases that of the second epidemic. Also, depending on the severity of the both epidemics, the different levels of intervention programmes are needed to reduce the number of infectives in both epidemics. However, equal intervention programmes are recommended for both epidemics to avoid neglecting one epidemic during outbreaks of the two epidemics.

Keywords: Epidemic switching, Global attractive points, Forward bifurcation, Basic reproduction number, Intervention programmes, Lyapunov function.

Received: 12 May 2020 / Revised: 16 June 2020 / Accepted: 21 July 2020/ Published: 18 August 2020

Contribution/ Originality

This study is one of the few studies in mathematical epidemiology which have investigated the role of switching in an SIR model of two epidemics with zero co-infectives. In addition, Lyapunov functions theory and Center Manifold method is applied to the model for the global stability analysis and existence of forward bifurcation respectively. 

1. INTRODUCTION

Infectious diseases continue to present epidemic and pandemic challenges around the world. For instance, the emergence of the 2003 SARS epidemic [1], 2009 A/HINI influenza pandemic [2], the 2014-15 Ebola epidemic in West Africa [3] and the recent outbreak of COVID-19 pandemic in 2019 [4] globally are worth mentioning. In epidemiology, epidemic refers to an increase in the number of cases of a disease above an expected value in a population at a given time. An epidemic takes place when an agent and susceptible hosts are present in adequate numbers with effective contact rates while pandemic refers to an epidemic that has spread over several countries or continents, usually with large numbers of infectives [5].

Different compartmental models form a key aspect of mathematical epidemiology in which the majority of the past models of two epidemics are focused on coinfections [6]. These coinfection models include HIV and malaria co-infection [7] , Hepatitis B and HIV co-infection [8], HIV/TB co-infection [9] and listeriosis and anthrax co-infection [10]. The instance of switching from one form of the epidemic to the other without co-infection is almost a negligible area of research.

The switching of an epidemic has to do with the transition process or movement from one infectious disease to another infectious disease, that is, the first epidemic is a precondition to the outbreak of the second. The classical view of switched systems is that they evolve according to the mode-dependent continuous dynamics and experience transition between modes which are triggered by certain events [11]. The abrupt change in the structure or parameters of a dynamical system and the control of a continuous system with a switch controller are the two reasons that result in a switched system [12].

Modelling of the epidemic switched system has not been widely explored. However, Meng and Deng [13] studied the stability of stochastic switched SIR epidemic systems with discrete or distributed time delay. They made use of Lyapunov function and Ito’s differential rule for the analysis of stochastic switched systems and further proved that switching the system can eradicate the disease. A regime-switching SIR epidemic model with degenerate diffusion was investigated by Jin, et al. [14]. They established the asymptotic behavior of the system using Markov semigroup theory.  Rami, et al. [15] investigated the spread of disease in an SIS epidemiological model for a structured population. Their model was an extension of Fall, et al. [16]. The model considered a time-varying switched model, in which the parameters of the SIS model were subject to abrupt change.

Naji and Hussien [18] formulated an epidemic model that describes the dynamics of two types of infectious diseases with both horizontal and vertical transmissions. The local and global stability of the equilibrium points of the model was analysed. Both local bifurcations analysis and Hopf bifurcation analysis for the four-dimensional epidemic model was studied.

Looking at the suggestion made by Rami, et al. [15] to extend the modelling of epidemic switching from SIS  to the Susceptible-Infected-Recovered (SIR) epidemic, we are motivated to propose a SIR epidemic switching without co-infection. In our model, the two epidemics considered are of the nonspecific type and epidemic 1 is a prerequisite to the epidemic 2.

The rest of the paper is organized as follows: Section 2, is the model formulation and invariant region of the system while the existence of the equilibrium states and computation of the basic reproduction number are presented in Section 3. In Section 4, numerical simulations are carried out to display the effect of the switching rate and intervention programmes on the two epidemics. The discussion of the numerical simulation is described in Section 5 while Section 6 is the conclusion.

2. MODEL FORMULATION AND THE CLOSED DOMAIN

  1. The two epidemics are not co-infected.
  2. An individual can only be susceptible to one epidemic at the same time.
  3. Without being infected with Epidemic 1, one cannot be infected by Epidemic 2. (i.e. Epidemic 1 is a pre-requisite to Epidemic 2).
  4. Epidemic 1 can switch to Epidemic 2 but not vice versa.
  5. Infected individuals for epidemic 1 with very low immunity switches fast to epidemic 2 while those that recovered permanently from epidemic 1 immediately become susceptible to epidemic 2.

Table-1. Parameter description of the Model.

Figure-1. Flowchart for an SIR switching model without co-infection.

With the above assumptions, the set of the differential equation for the proposed SIR switched system is:

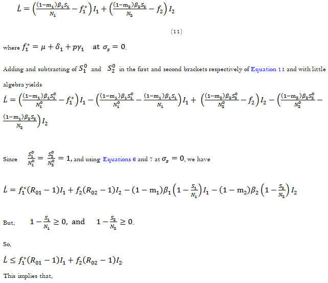
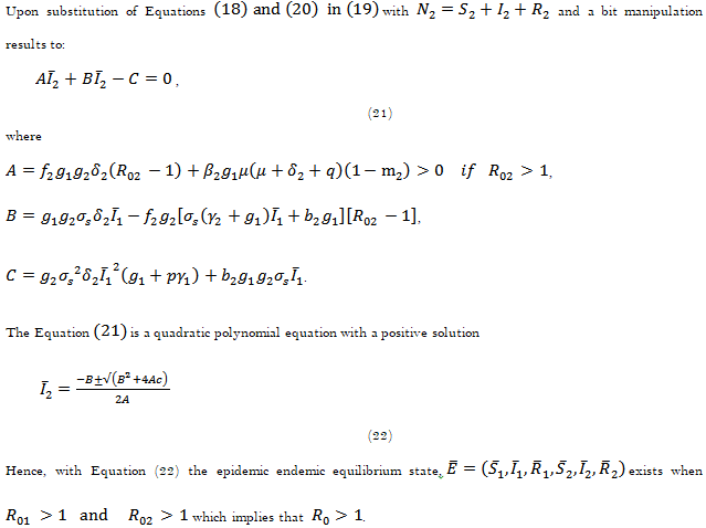
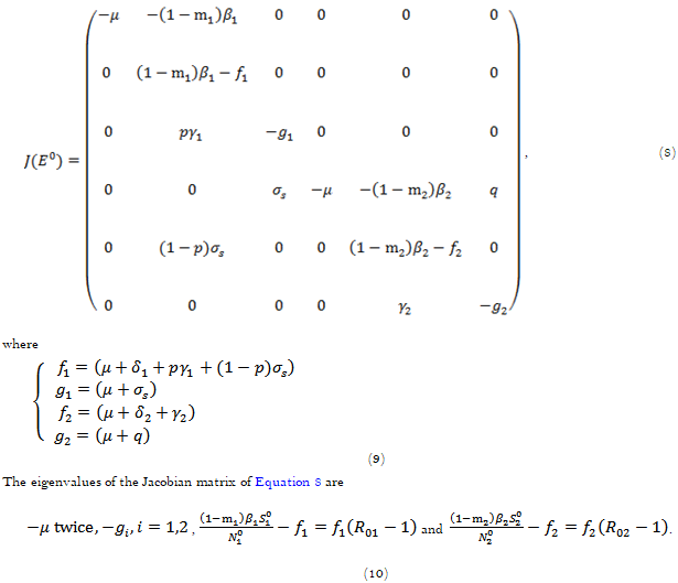
3. EXISTENCE OF THE EQUILIBRIUM STATES AND BASIC REPRODUCTION NUMBER

4. NUMERICAL SIMULATIONS

5. DISCUSSION

Figure 5 demonstrates the impact of switching on the transmission dynamics of two epidemics.  It is observed that when switching rate is increasing, the susceptible and infected populations for epidemic 1 decrease while the susceptible and infected population for epidemic 2 increases. This contributes to the endemicity of epidemic 2. It implies that the presence of switching in the epidemiology of the two epidemics reduces the susceptibility of the first epidemic and increases that of the second epidemic. Also, the process of transiting from epidemic 1 to 2 eliminates the infectivity tendencies of the first epidemic. This coincides with the result of Meng and Deng [13] that switching eradicates the spread of disease.

This implies that different levels of intervention programmes are needed to reduce the number of infectives in both epidemics that is the epidemic 1 requires intervention programme more than that of epidemic 2 to reduce its number of infectives while the epidemic 2 requires intervention programme greater than that of epidemic 1 to lower its number of infectives. However, we advise an equal level of intervention programmes for both epidemics so that one epidemic will not be neglected during another epidemic.

Figure 7 shows that the more infected individuals of epidemic 1 develop strong immunity, the more it lowers the number of infectives that switch to epidemic 2 and hence reduces the prevalence of both epidemics. This implies that any drugs/medications that can boost the immunity of the infected individuals in epidemic 1 will also help to reduce the infectives of epidemic 2.

Also, the epidemic 2 requires high intervention programme and high recovery rate to eliminate the disease in epidemic 2. Thus, high intervention programmes and high recovery rates for the two epidemics are needed to bring the reproduction numbers of the two epidemics less than unity.  Also, to have low switching rate means that more infectives in epidemic 1 will have to develop strong immunity by taking supplement and drugs that will boost their immunities when they recovered.

6. CONCLUSION

In this paper, we presented an SIR epidemic switched model and studied the dynamics of two infections with switching condition and intervention programmes. The analytical results of the model shown that there exists only two non-negative equilibrium points; the epidemic- free equilibrium (EFE)  in the case of no infection and the epidemic-endemic equilibrium (EEE) denoting the presence of infection in the population.

In addition, switching reduces the susceptibility and infectivity of the first epidemic and increases that of the second epidemic. Moreso, it emerges from our study that different levels of intervention programmes are needed for both epidemics.  However, for one epidemic not to record more infectives, we advise equal intervention programmes for both epidemics. For future research, suitable epidemics that share similar characteristics to the dynamics of the proposed model can be applied.

Funding: This study received no specific financial support.  

Competing Interests: The authors declare that they have no competing interests.

Acknowledgement: All authors contributed equally to the conception and design of the study.

REFERENCES

[1]          WHO, "SARS (Severe Acute Respiratory Syndrome). International heath and travel. Retrived from: https://www.who.int>ith>diseases>sars>en. [Accessed July 15, 2020]," 2003.

[2]          CDC, "2009 HINI pandemic (HINI pdm09 virus)/ Pandemic influenza flu. Retrieved from: h https://www.cdc.gov.>flu>pandemic-resources/2009-h1n1-pandemic.html. [Accessed July 9, 2020]," 2009.

[3]          A. Delamou, T. Delvaux, A. M. El Ayadi, A. H. Beavogui, J. Okumura, W. Van Damme, and V. De Brouwere, "Public health impact of the 2014–2015 Ebola outbreak in West Africa: Seizing opportunities for the future," BMJ Global Health, vol. 2, p. e000202, 2017.Available at: https://doi.org/10.1136/bmjgh-2016-000202.

[4]          WHO, "Coronavirus disease 2019 (Covid-19) situation Report-94. Retrieved from: https://www.who.int>docs. [Accessed April 20, 2020]," 2020.

[5]          Centers for Disease Control and Prevention, Principles of epidemiology in public health practice: An introduction to applied epidemiology and biostatistics., 3rd ed. Atlanta: U. S. Department of Health and Human Services, 2006.

[6]          H. W. Hethcote, "The mathematics of infectious diseases," SIAM Review, vol. 42, pp. 599-653, 2000.

[7]          K. Barley, D. Murillo, S. Roudenko, A. Tameru, and S. Tatum, "A mathematical model of HIV and malaria co-infection in Sub-Saharan Africa," Journal of AIDS and Clinical Research, vol. 3, p. 7, 2012.Available at: https://doi.org/10.4172/2155-6113.1000173.

[8]          A. P. Kourtis, M. Bulterys, D. J. Hu, and D. J. Jamieson, "HIV–HBV coinfection—A global challenge," New England Journal of Medicine, vol. 366, pp. 1749-1752, 2012.

[9]          C. C. Asogwa, G. Mbah, S. E. Aniaku, and E. C. Mbah, "Mathematical model of the transmission dynamics of HIV/Tb co-infection with controls in an HIV endemic area," IOSR Journal of Mathematics, vol. 15, pp. 1-11, 2019.

[10]        S. Osman and O. D. Makinde, "A mathematical model for coinfection of listeriosis and anthrax diseases," International Journal of Mathematics and Mathematical Sciences, vol. 2018, p. 1725671, 2018.Available at: https://doi.org/10.1155/2018/1725671.

[11]        R. Shorten, F. Wirth, O. Mason, K. Wulff, and C. King, "Stability criteria for switched and hybrid systems," SIAM Review, vol. 49, pp. 545-592, 2007.

[12]        G. Davrazos and N. T. Koussoulas, "A review of stability results for switched and hybrid systems," presented at the Mediterranean Conferences on Control and Automation, 2001.

[13]        X. Meng and F. Deng, "Stability of stochastic switched epidemic systems with discrete or distributed time delay," Journal of Systems Engineering and Electronics, vol. 25, pp. 660-670, 2014.Available at: https://doi.org/10.1109/jsee.2014.00076.

[14]        M. Jin, Y. Lin, and M. Pei, "Asymptotic behavior of a regime-switching SIR epidemic model with degenerate diffusion," Advances in Difference Equations, vol. 2018, pp. 1-10, 2018.Available at: https://doi.org/10.1186/s13662-018-1505-2.

[15]        M. A. Rami, V. S. Bokharaie, O. Mason, and F. R. Wirth, "Stability criteria for SIS epidemiological models under switching policies," Discrete And Continuous Dynamical Systems-Series B, vol. 19, pp. 2865-2887, 2014.Available at: https://doi.org/10.3934/dcdsb.2014.19.2865.

[16]        A. Fall, A. Iggidr, G. Sallet, and J.-J. Tewa, "Epidemiological models and Lyapunov functions," Mathematical Modelling of Natural Phenomena, vol. 2, pp. 62-83, 2007.Available at: https://doi.org/10.1051/mmnp:2008011.

[17]        X. Wang, W. Xu, and W. Wang, "Threshold dynamics of the switched multicity epidemic models with pulse control," Mathematical Problems in Engineering, vol. 2019, pp. 1-9, 2019.Available at: https://doi.org/10.1155/2019/4643912.

[18]        R. K. Naji and R. M. Hussien, "The dynamics of epidemic model with two types of infectious diseases and vertical transmission," Journal of Applied Mathematics, vol. 2016, p. 4907964, 2016.Available at: https://doi.org/10.1155/2016/4907964.

[19]        A. McNabb, "Comparison theorems for differential equations," Journal of Mathematical Analysis and Applications, vol. 119, pp. 417-428, 1986.

[20]        P. Van den Driessche and J. Watmough, "Reproduction numbers and sub-threshold endemic equilibria for compartmental models of disease transmission," Mathematical Biosciences, vol. 180, pp. 29-48, 2002.Available at: https://doi.org/10.1016/s0025-5564(02)00108-6.

[21]        J. P. LaSalle, The stability of dynamical systems. Philadelphia: SIAM, 1976.

[22]        C. Castillo-Chavez and B. Song, "Dynamical models of tuberculosis and their applications," Mathematical Biosciences & Engineering, vol. 1, pp. 361-404, 2004.

[23]        V. K. Gupta, S. K. Tiwari, S. Sharma, and L. Nagar, "Mathematical model of tuberculosis with drug resistance to the first and second line of treatment," Journal of New Theory, vol. 21, pp. 94-106, 2018.

Views and opinions expressed in this article are the views and opinions of the author(s), International Journal of Mathematical Research shall not be responsible or answerable for any loss, damage or liability etc. caused in relation to/arising out of the use of the content.