Index

Abstract

Drought and desertification have become global environmental problems, posing new obstacles to plant survival and adaptability. The main objective of this study was to evaluate the effect of drought stress on the morphological and physiological traits of Kochia prostrata. (L.) in greenhouse conditions. In the greenhouse experiment, drought stress was conducted in four levels of water regime treatment: 25, 50, 75, and 100 percent field capacity (FC). The experimental design consisted of a completely random design with three replications and 25 seeds per pot for every replication. In the greenhouse, seeds were planted in the soil using plastic containers. Then, 120 days of drought stress were administered, and morphological and physiological parameters were examined. The data were processed, and comparisons of means using the Duncan test (P0.05) were performed. Results demonstrated that when drought stress increased, the morphological and physiological features of K. prostrata decreased significantly. The highest plant dry weight was observed in drought stress of 25% FC and 100% FC with171.45 cm and 282.7 mg, respectively. The lowest rates of photosynthesis, stomatal conductance, transpiration, and mesophyll were observed in 25%FC stress treatments with 0.44 mmol m-1s-1, 0.070 mmol m-1s-1, 1.70 mmol-2s-1, 394.13 respectively. Plant length and Root dry weight are variables that decreased significantly with increasing drought stress. However, the decrease in the values of these variables was not significant at 50, 75, and 100%FClevels but was significant at the most severe drought level (25%FC). Based on the results of this study, it can be suggested that the K. prostrata species can be used in the sustainable development of ecological rehabilitation areas.

Keywords: Biomass, Drought stress, Field capacity, Kochia Prostrata  , Photosynthesis, Water deficit, Water potential.

Received: 20 July 2022 / Revised: 3 October 2022 / Accepted: 21 October 2022 / Published: 14 November 2022

Contribution/ Originality

Kochia prostrata is one of the essential rangeland species that play a vital role in fodder production and rehabilitation of degraded rangelands. However, few studies have been conducted on this Dormancy -breaking method, which is the most crucial target. This research examines this species's Dormancy -breaking method and the effect of drought stress on it.

1. INTRODUCTION

Drought stress is one of the most critical environmental stresses that disrupt plants' physiological and biochemical processes and causes a decrease in plant growth and yield [1]. Water scarcity has become one of the most detrimental environmental circumstances for plant growth and production, threatening plant species' survival and dispersal [2-4]. The lack of optimal environmental conditions in plants is stress; these stresses affect fertility and plant growth. In addition, drought stress is one of the most important abiotic stresses that usually leads to morphological responses such as increased root growth, decreased stem growth, leaf area, and plant growth rate [5]. Drought stress significantly affects plant reproduction, which is a sensitive stage that determines performance for most plants [6]. The physiological, biochemical, and molecular mechanisms that plants use to adapt to these environments are insufficient to produce the required results [7, 8]. Therefore, plant responses to drought stress are usually studied based on physiological parameters such as water potential, relative water content, stomatal reactions, photosynthesis, or osmotic regulation [9, 10]. Recent studies have suggested reactive oxygen species and enzyme-based antioxidant responses as appropriate indicators for plant response to drought stress [11]. All countries are expected to suffer at least one type of drought by the end of the 21st century. Droughts are now occurring and rising in all regions of the globe [12]. Due to its location in the world's dry and semi-arid regions, Iran is susceptible to the most severe drought effects [13]. Drought generally causes greater devastation in underdeveloped nations than in industrialized nations [12, 14-17].

Drought and climate change have long been critical concerns in rangeland studies because they deplete water resources and stifle forage growth while worsening other problems (such as human health and financial strains) [18]. At the same time, reducing water content in plant tissues, persistent droughts, and drought stress limit morphological growth, physiological changes, and yield [19].

Numerous efforts have been made to introduce plant species capable of resisting poor soil nutrient conditions, drought, and soil salinization in recent years [20]. One of these species is Kochia prostrata. K. prostrata is a species of the spinach (Amaranthaceae) family, C4, and tolerant to salinity. Although such species have the necessary mechanisms for establishment in arid and semi-arid stages, early stages of growth after seeding and planting need sufficient moisture to survive [21]. Therefore, this species has recently been introduced as a member of the Amaranthaceous family with physiological dormancy [22]. The species K. prostrata has improved and developed saline and dry-lands in many parts of the world. This species is used to enhance saline pastures and provide forage off the coast of France [23]; dry season forage production in saline lands of the United States [24]; and saline and desert lands of Uzbekistan for fodder production [25]; fodder production and rangeland improvement of dry and saline areas of  Maraveh The hill was introduced in Golestan province [26],  and the supply of forage is required for wildlife habitats in the western United States [27]. Drought stress has a negative impact on soil qualities and, as a result, plant metabolism and growth [28, 29]. In this regard, the present study pursues the following objectives: (i) investigation of the effect of drought stress on some morphological and physiological traits of Kochia prostrata. According to the objectives, the following questions are considered: (i) which Physiological properties of the Kochia prostrata are most affected by drought stress? (ii) What drought stress had the greatest impact on the morpho-physiological traits of the Kochia prostrata? Therefore, it can be assumed that: (i) Water potential is more affected by drought stress than other plant physiological characteristics. (ii) Drought stress 25% FC significantly affects the morpho-physiological traits of Kochia species. The results of this study can increase our understanding of the selection of species compatible with arid regions and the effect of drought stress on the growth and yield of rangeland species.

2. MATERIALS AND METHODS

2.1. Seed Collection and Storage

Kochia prostrata seeds were collected from the Hassan Lahash (Amol rangelands) in Mazandaran province, northern Iran in, 2020. The annual precipitation of the Hassan Lahash is 320 mm, with an average yearly temperature of about 6.8 °C and the region extends at an altitude range of 1340 m above sea level. These seeds were air- dried for a few days and stored in paper bags at room temperature; the seeds were immersed in sodium hypochlorite solution (5%) for 3 minutes to be sterilized, then washed with distilled water, and dried on filter paper.

2.2. Tetrazolium Test and Breaking Seed Dormancy of Kochia Prostrata

The Tetrazolium test was performed to evaluate the viability of seeds of K. prostrata [30]. Seed viability is determined using the tetrazolium test and by changing the colour of the seeds. In this experiment, after soaking the seeds in tetrazolium solution, the seed turns pink when the embryo is healthy, and the viability of the seeds is determined by counting the seeds with a reddish-pink seed [31].  Before examining seedlings' morphological and physiological traits, the seeds were disinfected with a 20% sodium hypochlorite solution [32]. Treatments applied to break the dormancy of Kochia seeds include Control (distilled water, not scarification, not cold stratification), scarification of the seeds with sandpaper, and cold stratification for 1, 2, 3, 4 weeks at 4° C. At each time, the seeds were sown in 4 replications of 25 seeds with 5 ml of distilled water in 9 cm Petri dishes on filter paper and placed at 25° C and 60-80% humidity for two weeks in a germinator. Seed dormancy failure was assessed based on germination percentage every 24 hours after sowing in germinator.

2.3. Experimental Site and Cultivation

This study was carried out under greenhouse conditions. Soil samples were collected from Peshert rangelands, which are 110 km southeast of Sari city. A composite sample was prepared after mixing and levelling the soil to determine the physical and chemical properties of the sampled soils. Soil physicochemical properties were measured Table 1. A 1:2.5 soil to water solution was used to measure the pH of the soil using an Orion Ionalyzer Model 901 pH meter. In a 1:2.5 soil: water solution, EC (Electrical Conductivity) was measured using an Orion Ionalyzer Model 901 EC meter [33]. The Walkley-Black method is applied to estimate organic carbon [34], and the Micro-Kjeldahl method was utilized to determine total nitrogen [35]. The Bouyoucos hydrometer method was used to measure soil texture [36]. The reference weight, the soil moisture curve used to determine the relationship between soil moisture potential and moisture, was determined using the formula from Saxton, et al. [37]. The soil texture was loamy, field capacity 21% and a Permanent wilting point of 10.1%. For cultivation in the greenhouse, seeds were sown in the pot (25 seeds per pot of 15 cm high and 15 cm diameter filled with 2/5 kg of natural habitat soil and four drought levels of 25, 50, 75, and 100% of field capacity) with three repetitions in greenhouse conditions after 120 days of irrigation (the amount of water in each irrigation period was based on (PWP (Permanent wilting point)1 , FC2 ). First, reference weight was determined, and then irrigation was performed. At the end of the experiment, photosynthesis, leaf transpiration, stomatal conductance, and leaf temperature were measured using Exchange Gas + LCPpro+ [38]. Plant length and root length were measured using a ruler from the base to the apex. Other morphological traits, including root and biomass dry weight, were measured at the end of the experiment. To determine the dry root biomass in each pot, the roots were taken out of the pots and washed and then placed in an incubator at a temperature of 70°C, and their weight was measured as dry root biomass. 

Table 1.  Some chemical and physical traits of the soil used.
Soil Parameters
Clay
(%)
Silt
(%)
Sand
(%)
N
(%)
Aggregate stability (%)
Water contect (%)
Ec (μS/cm)
Bd(g/cm3)
pH
26
30
44
0.05
0.614
2.94
137.7
1.36
8.39

2.4. Statistical Analysis

The experiment was conducted with a completely randomized design, and the data were statistically analyzed using SPSSver22 Statistical package for social science software. The first, the condition of data normality, was tested by the Shapiro-Wilk test, and Levene’s test was used to examine the equality of the variances. To compare the means, the Duncan test was used in the case of homogeneity of variance. Next, the effects of four water supply treatments were tested via one-way analysis ANOVA (Analysis of Variance).

3. RESULTS

3.1. Tetrazolium Test and Breaking Seed Dormancy of Kochia Prostrata

Based on the seed viability test (Tetrazolium chloride), the seeds Kochia prostrata are 89% viable and have potency Figure 1. Vivid textures in bright pink to red, uniform texture colouring and Non-living tissues are reddish-brown, and the tissue is stained. The vigour of the seed indicates how healthy and vigorous it is. As a result of this test, it is feasible to estimate how much the plant will produce in response to certain pests and weather circumstances.

Figure 1. Viability testing.

The results showed that distilled water (control, not scarification, not cold stratification) treatment had a significant effect on germination percentage and other germination indices that the highest germination percentage (54%) was related to distilled water treatment Table 2, Figure 2.

Table 2. Analysis of variance of seed germination traits of Kochia prostrata under different treatments.
  Traits of the measured item
Distilled water
Scarification
Cold Stratification for 1 week
Cold Stratification for 2 Week
Cold Stratification for 3 Week
Cold Stratification
For 4 Week
F
p-value
F
p-value
F
p-value
F
p-value
F
p-value
F
p-value
Germination percent( % )
7.83
0.01
1.54
0.227
5.76
0.025
0.01
0.89
0.66
0.425
0.28
0.596
Mean Germination Time(%)
0.154
0.698
3.38
0.079
4.04
0.057 0
0.09
0.763
0.88
0.358
0.000
0.930

Figure 2. Germination percentage of Kochia prostrata under different treatments of seed dormancy failure.

3.2. The Effect of Drought Stress on the Physiological and Morphological Traits

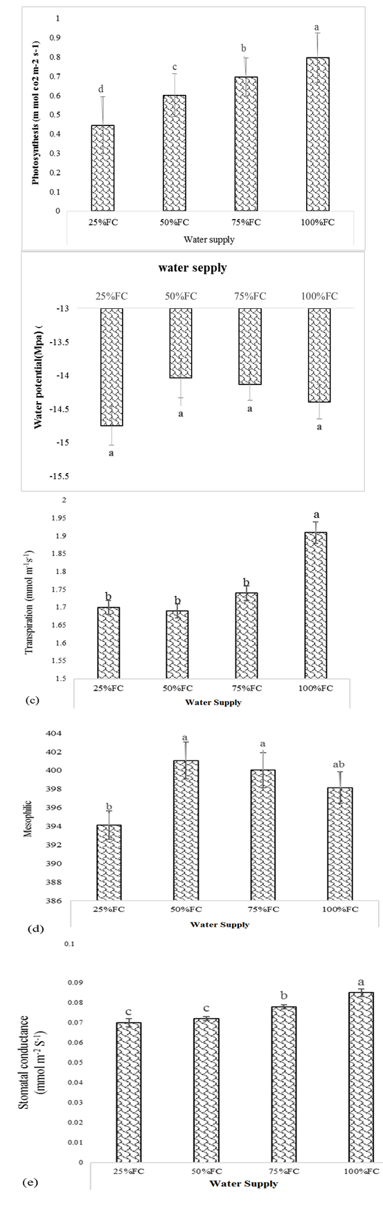
The study results of drought stress on plant physiological features show that drought stress's effect on the analyzed species' physiological traits differs statistically significantly.   The lowest rates of photosynthesis, stomatal conductance, transpiration, and mesophyll were observed in the 25% stress treatment (0.38 mmol m-1s-1, 0.070 mmol m-1s-1, 1.70 mmol-2s-1, and 394.13, respectively) Figure 3. All traits except the plant water potential parameter under drought stress (drought stress did not significantly affect this parameter) have a statistically significant difference Table 3. According to the findings, the analysis of the effect of drought stress treatment on the physiological traits of the plant showed that this treatment, respectively, the amount of F drought stress (F = 981.30; P = 0.000), had the most significant effect on the amount of plant photosynthesis (The minimum rate of photosynthesis was 0.38 in 25% stress and the maximum rate of photosynthesis was 0.85 mmol m-1s-1 in 100% stress Figure 3). In measuring the plant water potential parameter, the stress effect did not significantly impact plant water potential Figure 3. The analysis results for plant transpiration showed that drought treatment (F = 24.78; P = 0.001) was significantly affected at a 1% level. They showed a significant effect on the drought stress orifice conductance parameter (F = 22.08; P = 0.016 Figure 3) at a 1% level. Analysis of the effect of stress treatment on mesophilic traits showed: that drought stress (F = 7.31; P = 0.0001) was significant at a 1% level (Table 3, Figure 3). The highest photosynthesis values, stomach conductance, and transpiration are related to non-selective treatment (0.85 mmol m-1s-1, 0.085 mmol m-1s-1, 1.91 mmol m-2s-1, respectively), and the lowest water potential was observed in the treatment of 75% water stress (-14.21 M pa).

Figure 3.  The mean of gas exchanges and leaf water potential parameters under the water supply. Values are mean ± SE (Std.Error).

The variance of morphological traits of K. prostrata species under drought stress treatment indicates the significant effect of drought stress on the mentioned traits. Analysis of the effect of treatment at different concentrations on plant biomass traits in order of F value showed that stress (F = 102.0; P < 0.0001 Figure 4) had the most significant effect. The analysis results for root biomass showed that stress treatment (F = 37.38; P < 0.0001

Figure 4) after plant biomass had the most significant effect. Measuring the effect of drought on root length characteristics showed that stress (F = 6.60; P < 0.0001 Figure 4) had the most significant impact. In the parameter of plant height, stress (F = 19.398; P < 0.0001 Figure 4) showed the most significant effect on this trait Table 4. The effect of drought stress also showed that the highest level of morphological traits of Plant length, Root length, Plant dry weight and root dry weight were observed in the 100% stress treatment (14.77mm, 8.84mm, 282.70mg, 20.95 mg, respectively).  But as water stress goes up to 25%, the values of all morphological variables go down Plant length, Root length, Plant dry weight and Root dry weight (10.67mm, 7.41mm, 171.45mg, 11.02mg, respectively) and stress treatment has a big effect on all of them.

Table 4. Analysis of variance of morphological traits of kochia prostrata under drought stress.

Morphological properties
Water supply
F- value
p-value
Plant length
19.398
0.000
Root length
6.60
0.000
Plant dry weight
102.09
0.000
Root dry weight
37/38
0.000

Figure 4. The mean of weight and height growth of the seedlings of k.prostrata under different water supplies (100, 75, 50 and 25% of FC). Values are mean ± SD.

4. DISCUSSION

4.1. Seed Dormancy

This study indicated that K.prostrata displayed physiological seed dormancy. In this study, distilled water treatment (control, not scarification, not cold stratification) and scratching treatment proved to be the most effective method to break dormancy. Kildisheva [39] Stated that cold stratification is one of the most effective ways to break the physiological dormancy of seeds, and our results did not match the results of studies. In a study by Yazdanshenas [40], it was shown that The use of (distilled water) soaking the seeds of Amaranthus cruentus species has improved germination and Scarification treatment could have a positive effect on seed germination percentage of Amaranthus cruentus, this study is consistent with our study. Considering that treatments such as distilled water and Scarification have improved the seed germination of the tested species, it shows that this plant's seeds have physiological dormancy caused by external and internal factors [22].

4.2. Physiology and Morphology Traits

Plants use morphological, physiological, and metabolic changes to mitigate drought's harmful consequences and respond to stress Babaei, et al. [41]. Ivania, et al. [42] discovered that water restriction substantially impacts the growth of parsley aerial parts. The degree of stomatal resistance, water potential, transpiration, and relative moisture content is essential to plant physiology variables influencing plant water relationships [43]. By reducing the water available in the soil, the first option for plants is to close the pores against stress. Closure of the pores leads to disruption of the carbon dioxide uptake process and damage to the Calvin cycle, followed by a reduction in photosynthesis [44]. Hence, our results support previous findings, showing that increasing drought stress reduces photosynthesis. Drought and dehydration cause chloroplasts to break down and chlorophyll to decrease, which reduces plant photosynthesis [45, 46]. The stomatal often responds to drought immediately after any significant change in leaf water potential and relative leaf moisture [47]. Therefore, the decrease in relative leaf moisture can be considered an indicator of drought stress. This study indicates that with increasing drought stress, the physiological traits of the plant, such as photosynthesis, transpiration, and stomatal conduction, showed a significant decrease that indicates a high correlation of these variables with drought stress. The high sensitivity of photosynthesis to drought is due to the closure of pores and reduced access of chloroplasts to carbon dioxide. Low cell water potential directly affects the structure of components involved in cellular photosynthesis Sadati, et al. [48]. Zoghi, et al. [49] investigated photosynthesis, transpiration, and stomatal conductance Seedlings of Quercus castaneifolia   decreased significantly when they were under severe water deficit (40 percent FC). In our study, under severe water deficit (25 percent FC), the physiology traits of Kochia prostrata decreased significantly. The analysis of the data revealed that drought stress has a substantial effect on the morphological traits of Kochia prostrata species. As drought stress increased, the average weight of shoots decreased, indicating a significant difference between land treatments, with the maximum average weight of plants weighing about 282.70, associated with 100% treatment. which is consistent with many results of previous research [41, 50]. As drought stress increased, the average weight of shoots decreased, indicating a significant difference between land treatments, with the maximum average weight of plants having a weight of about 282.70, associated with 100% treatment. Since vegetative growth in plants is affected by various factors, one of these critical factors is the amount of water available to the plant [51]. This theory showed that it is a suitable strategy, and using this method, the plant can continue to absorb nutrients with minimal energy expenditure [52]. This study showed that plant height was also affected by different levels of drought stress. With increasing drought stress, the average length of aerial parts showed a decreasing trend, which caused a significant difference between treatments. It became dry. The highest mean shoot length was related to the treatment of 100% of field capacity with 14.77 cm, and the lowest value of plant length was associated with the treatment of 25% of field capacity with 10.67 cm (Figure 4) which is the first noticeable effect that drought stress has on plants. We can point to the decrease in plant height and smaller leaf size, which our studies are consistent with the investigation. According to the results, drought stress significantly affects root length characteristics. Therefore, the highest average root length, 8.84 cm, is related to drought stress treatment of 100% of field capacity. Alternatively, the lowest value of root length, 7.41 cm, is associated with applying 25% of field capacity. In a 2010 study by Rodríguez-Gamir, et al. [53]. The reduced yield of safflower species under water stress was attributable to reduced leaf area under various salinity treatments, which decreased light absorption by plants and, as a result, reduced dry matter in follows, However, in the present study, although the morphological characteristics of the plant decreased with increasing drought stress, moderate to severe drought stress of 50-75% did not have a significant effect on the morphological characteristics of the plant. A study by Rassam [54] examined the effects of four levels of drought stress on Hyssopus officinalis medicinal plants. This study showed that although drought stress harmed the morphological characteristics of the studied species, the lack of significant differences between mild stress and control treatment of the studied traits shows that Hyssopus has relative resistance to drought stress. This study's results were consistent with those of the current study.

5. CONCLUSION

Although plants under drought stress conditions try to keep themselves in the ideal situation, this trend in the early days of stress can only prevent profound changes in plant composition. After some time, the plant is strongly affected by applied stresses and shows significant differences in quantity and quality with non-stress conditions. According to this study, drought stress influenced the morpho-physiological traits of the plant, reducing the dry weight of roots and plant organs, root length, plant biomass, and physiological features. Among the physiological characteristics of the studied species, drought stress did not have a significant effect on the water potential of the plant, the results of which do not confirm the first hypothesis of our study. Drought stress at the level of 25% FC showed a significant effect on all morphological characteristics of the studied species, so with increasing the intensity of stress, these variables decreased, so the second hypothesis of our study was confirmed. To summarize, the current study demonstrated that rangeland planting with the K.prostrata species is a good option for forage in arid and semi-arid rangelands because drought stress of 50 to 75% does not significantly reduce the morphological characteristics of this species. And this species can be introduced as one of the drought-tolerant species in arid and semi-arid regions. It could also be concluded that the establishment of Kochia prostrata seedlings may be more successful in the degraded regions for rehabilitating of rangelands in arid and semi-arid areas.

Funding: This research is supported by Tarbiat Modares University, Tehran, Iran (Grant number: 2 R02 TMU 340000-01A1).

Competing Interests: The authors declare that they have no competing interests.

Authors’ Contributions: All authors contributed equally to the conception and design of the study.

REFERENCES

[1]         S. Talbi, "Effect of drought on growth photosynthesis and total antioxidant capacity of the Saharan plant oudeneya Africana," Environmental and Experimental Botany, vol. 176, p. 104099, 2020.Available at: https://doi.org/10.1016/j.envexpbot.2020.104099.

[2]         J. Gulías, J. Flexas, A. Abadía, and H. Madrano, "Photosynthetic responses to water deficit in six mediterranean sclerophyll species: Possible factors explaining the declining distribution of rhamnus ludovici-salvatoris an endemic balearic species," Tree Physiology, vol. 22, pp. 687-697, 2002.Available at: https://doi.org/10.1093/treephys/22.10.687.

[3]         H. D. Adams, M. Guardiola-Claramonte, G. A. Barron-Gafford, J. C. Villegas, D. D. Breshears, C. B. Zou, P. A. Troch, and T. E. Huxman, "Temperature sensitivity of drought-induced tree mortality portends increased regional die-off under global-change-type drought," Proceedings of the National Academy of Sciences, vol. 106, pp. 7063-7066, 2009.Available at: https://doi.org/10.1073/pnas.0901438106.

[4]         B. Choat, S. Jansen, T. J. Brodribb, H. Cochard, S. Delzon, R. Bhaskar, S. J. Bucci, T. S. Feild, S. M. Gleason, and U. G. Hacke, "Global convergence in the vulnerability of forests to drought," Nature, vol. 491, pp. 752-755, 2012.

[5]         J. Marandi, "Effect of different levels of soil moisture on the morphological and physiological characteristics of three grape cultivars (Vitis vinifera L.)," Iranian Journal of Horticultural Science, vol. 42, pp. 31–40, 2011.

[6]         R. Sodani, R. K. S. Seema, S. Gupta, N. Gupta, K. S. Chauhan, and J. Chauhan, "Performance of yield and yield attributes of ten Indian mustard (Brassica juncea L.) genotypes under drought stress," International Journal of Pure and Applied Bioscience, vol. 5, pp. 467-476, 2017.Available at: https://doi.org/10.18782/2320-7051.4018.

[7]         B. R. Yashu, R. K. Singhal, R. Sodani, J. Chauhan, and M. K. Sharma, "Physiological adaptation and tolerance mechanism of rice (Oryza sativa L.) in multiple abiotic stresses," International Journal of Pure & Applied Bioscience, vol. 5, pp. 459-466, 2017.Available at: https://doi.org/10.18782/2320-7051.5036.

[8]         P. Dey, D. Datta, D. Pattnaik, D. Dash, D. Saha, D. Panda, B. B. Bhatta, S. Parida, U. N. Mishra, J. Chauhan, and H. Pandey, "Physiological, biochemical, and molecular adaptation mechanisms of photosynthesis and respiration under challenging environments," Journal of Plant Perspectives to Global Cimate Changes, pp. 79-100, 2022.Available at: https://doi.org/10.1016/B978-0-323-85665-2.00003-0.

[9]         A. R. Reddy, K. V. Chaitanya, and M. Vivekanandan, "Drought-induced responses of photosynthesis and antioxidant metabolism in higher plants," Journal of Plant Physiology, vol. 161, pp. 1189–1202, 2004.Available at: https://doi.org/10.1016/j.jplph.2004.01.013.

[10]       Z. Zlatev and F. C. Lidon, "An overview on drought induced changes in plant growth water relations and photosynthesis," Emirates Journal of Food and Agriculture, vol. 24, pp. 57–72, 2012.Available at: https://doi.org/10.9755/ejfa.v24i1.10599.

[11]       S. Bian and Y. Jiang, "Reactive oxygen species antioxidant enzyme activities and gene expression patterns in leaves and roots of Kentucky bluegrass in response to drought stress and recovery," Science of Horticulture, vol. 120, pp. 264-270, 2009.Available at: https://doi.org/10.1016/j.scienta.2008.10.014.

[12]       T. O. Ojo and L. J. S. Baiyegunhi, "Determinants of climate change adaptation strategies and its impact on the net farm income of rice farmers in South-West Nigeria," Land Use Policy, vol. 95, p. 103946, 2020.Available at: https://doi.org/10.1016/j.landusepol.2019.04.007.

[13]       M. Savari, F. Naghibeiranvand, and Z. Asadi, "Modeling environmentally responsible behaviors among rural women in the forested regions in Iran," Global Ecology and Conservation, vol. 35, p. e02102, 2022.Available at: https://doi.org/10.1016/j.gecco.2022.e02102.

[14]       H. E. Damaneh, M. Jafari, H. E. Damaneh, M. Behnia, A. Khoorani, and J. P. Tiefenbacher, "Testing possible scenario-based responses of vegetation under expected climatic changes in Khuzestan province," Air Soil and Water Research, vol. 14, p. 117862212110133, 2021.Available at: https://doi.org/10.1177/11786221211013332.

[15]       M. Ghanian, O. Ghoochani, M. Dehghanpour, M. Taqipour, F. Taheri, and M. Cotton, "Understanding farmers’ climate adaptation intention in Iran: A protection-motivation extended model," Land Use Policy, vol. 94, p. 104553, 2020.

[16]       N. Omerkhil, P. Kumar, M. Mallick, L. B. Meru, T. Chand, P. S. Rawat, and R. Pandey, "Micro-level adaptation strategies by smallholders to adapt climate change in the least developed countries (LDCs): Insights from Afghanistan," Ecological Indicators, vol. 118, p. 106781, 2020.Available at: https://doi.org/10.1016/j.ecolind.2020.106781.

[17]       M. Savari, H. E. Damaneh, and H. E. Damaneh, "Drought vulnerability assessment: Solution for risk alleviation and drought management among Iranian farmers," International Journal of Disaster Risk Reduction, vol. 67, p. 102654, 2022.Available at: https://doi.org/10.1016/j.ijdrr.2021.102654.

[18]       M. Dinan, P. B. Adler, J. Bradford, M. Brunson, E. Elias, A. Felton, and E. Thacker, "Making research relevant: Sharing climate change research with rangeland advisors to transform results into drought resilience," Rangelands, vol. 43, pp. 185-193, 2021.Available at: https://doi.org/10.1016/j.rala.2021.08.004.

[19]       R. J. French and N. C. Turner, "Water deficits change dry matter partitioning and seed yield in narrow-leafed lupins (Lupinus angustifolius L.)," Australian Journal of Agricultural Research, vol. 42, pp. 471-484, 1991.Available at: https://doi.org/10.1071/ar9910471.

[20]       D. W. Bailey, R. Al Tabini, B. L. Waldron, J. D. Libbin, K. Al-Khalidi, A. Alqadi, M. Al Oun, and K. B. Jensen, "Potential of kochia prostrata and perennial grasses for rangeland restoration in jordan," Rangeland Ecology & Management, vol. 63, pp. 707-711, 2010.Available at: https://doi.org/10.2111/rem-d-09-00195.1.

[21]       J. Nabati, "Effect of salinity on morphological characteristics yield and yield components of kochia Kochia scoparia L," Iranian Journal of Field Crop Science, vol. 42, pp. 735–743, 2012.

[22]       J. A. Young, R. A. Evans, R. Stevens, and R. L. Everett, "Germination of kochia prostrata seed 1," Agronomy Journal, vol. 73, pp. 957-961, 1981.Available at: https://doi.org/10.2134/agronj1981.00021962007300060012x.

[23]       L. Francois, "Salinity effects on four arid zone plants," Journal of Arid Environments, vol. 11, pp. 103-109, 1986.Available at: https://doi.org/10.1016/s0140-1963(18)31315-6.

[24]       T. E. Paysen, "Fire in western shrubland woodland and grassland ecosystems," USDA Forest Service Gen Tech Rep RMRS-GTR-42, vol. 2, pp. 121–258, 2000.

[25]       Mukimov, "Adaptable system of arid fodder production in," presented at the Eighth International Conference on Dry land Development, 2006.

[26]       Lotfi, "Kochia prostrata an appropriate plant for range improvement in arid regions of Iran in," presented at the Eighth International Conference on Dry land Development, 2006.

[27]       C. M. Cox, D. W. Lutz, T. Wasley, M. Fleming, B. B. Compton, T. Keegan, D. Stroud, S. Kilpatrick, K. Gray, J. Carlson, and L. Carpenter, "Habitat guidlines for mule deer: Intermountain west ecoregion," Mule Deer Working Group, Western Association of Fish and Wildlife Agencies2009.

[28]       G. Haider, H.-W. Koyro, F. Azam, D. Steffens, C. Müller, and C. Kammann, "Biochar but not humic acid product amendment affected maize yields via improving plant-soil moisture relations," Plant and Soil, vol. 395, pp. 141-157, 2015.Available at: https://doi.org/10.1007/s11104-014-2294-3.

[29]       E. Ghanbary, M. T. Kouchaksaraei, L. Guidi, M. Mirabolfathy, V. Etemad, S. A. M. M. Sanavi, and D. Struve, "Change in biochemical parameters of Persian oak (Quercus brantii Lindl.) Seedlings inoculated by pathogens of charcoal disease under water deficit conditions," Trees, vol. 32, pp. 1595-1608, 2018.Available at: https://doi.org/10.1007/s00468-018-1736-6.

[30]       J. D. Johnson, R. Tognetti, and P. Paris, "Water relations and gas exchange in poplar and willow under water stress and elevated atmospheric CO2," Physiologia Plantarum, vol. 115, pp. 93-100, 2002.Available at: https://doi.org/10.1034/j.1399-3054.2002.1150111.x.

[31]       ISTA, "International seed testing in," pp. 897–909, 1985.

[32]       J. H. Hong and K. C. Gross, "Surface sterilization of whole tomato fruit with sodium hypochlorite influences subsequent postharvest behavior of fresh-cut slices," Postharvest Biology and Technology, vol. 13, pp. 51-58, 1998.

[33]       Y. Kooch, B. Samadzadeh, and S. M. Hosseini, "The effects of broad-leaved tree species on litter quality and soil properties in a plain forest stand," Catena, vol. 150, pp. 223–229, 2017.Available at: https://doi.org/10.1016/j.catena.2016.11.023.

[34]       L. Allison, "Organic carbon in: Black CA, methods of soil analysis," American Society of Agronomy Part, vol. 2, 1975.

[35]       J. M. Bremner and C. S. Mulvaney, Nitrogen total. Methods of soil analysis. Part 2. Madison: American Society of Agronomy, 1982.

[36]       G. J. Bouyoucos, "Hydrometer method improved for making particle size analyses of soils 1," Agronomy Journal, vol. 54, pp. 464-465, 1962.Available at: https://doi.org/10.2134/agronj1962.00021962005400050028x.

[37]       K. E. Saxton, W. Rawls, J. S. Romberger, and R. I. Papendick, "Estimating generalized soil-water characteristics from texture," Soil Science Society of America Journal, vol. 50, pp. 1031-1036, 1986.Available at: https://doi.org/10.2136/sssaj1986.03615995005000040054x.

[38]       Tehranifar, "Drought resistance mechanisms of native and commercial turfgrasses under drought stress: ΙΙ shoot responses," Journal of Horticultural Sciences, vol. 23, pp. 1–9, 2009.

[39]       O. A. Kildisheva, "Optimizing physiological dormancy break of understudied cold desert perennials to improve seed-based restoration," Journal of Arid Environments, vol. 170, p. 104001, 2019.Available at: https://doi.org/10.1016/j.jaridenv.2019.104001.

[40]       H. Yazdanshenas, "Effects of physicochemical treatments on the germination properties of seeds of ornamental-medicinal plant amaranthus cruentus," Journal of Plant Research Iranian Journal of Biology, vol. 28, pp. 1129-1136, 2016.

[41]       K. Babaei, M. Moghaddam, N. Farhadi, and A. G. Pirbalouti, "Morphological physiological and phytochemical responses of Mexican marigold (Tagetes minuta L.) to drought stress," Scientia Horticulturae, vol. 284, p. 110116, 2021.Available at: https://doi.org/10.1016/j.scienta.2021.110116.

[42]       B. B. Ivania, K. C. Bruna, S. S. Elosa, S. D. O. Jssica, F. D. S. Rafael, M. D. R. Cludia, and C. G. Zilda, "Evaluation of performance and chemical composition of Petroselinum crispum essential oil under different conditions of water deficit," African Journal of Agricultural Research, vol. 11, pp. 480-486, 2016.Available at: https://doi.org/10.5897/ajar2015.10748.

[43]       M. Farooq, "Plant drought stress: Effects mechanisms and management to cite this version: Review article," Agronomy for Sustainable Developmen, vol. 29, pp. 185–212, 2009.Available at: https://doi.org/10.1051/agro:2008021.

[44]       M. Farooq, "Drought stress in plants: An overview," Plant Responses to Drought Stress, pp. 1–33, 2012.Available at: https://doi.org/10.1007/978-3-642-32653-0_1

[45]       J. Lu, M. Liu, Y. Mao, and L. Shen, "Effects of vesicular-arbuscular mycorrhizae on the drought resistance of wild jujube (Zizyphs spinosus Hu) seedlings," Frontiers of Agriculture in China, vol. 1, pp. 468-471, 2007.

[46]       N. Bhusal, M. Lee, A. R. Han, A. Han, and H. S. Kim, "Responses to drought stress in Prunus sargentii and Larix kaempferi seedlings using morphological and physiological parameters," Forest Ecology and Management, vol. 465, p. 118099, 2020.

[47]       K. Miyashita, S. Tanakamaru, T. Maitani, and K. Kimura, "Recovery responses of photosynthesis transpiration and stomatal conductance in kidney bean following drought stress," Environmental and Experimental Botany, vol. 53, pp. 205-214, 2005.Available at: https://doi.org/10.1016/j.envexpbot.2004.03.015.

[48]       S. E. Sadati, M. o. Tabari, M. H. Assareh, H. Sharifabad, and P. Fayaz, "Response of Populus caspica Bornm. seedlings to flooding," Iranian Journal of Forest and Poplar Research, vol. 19, pp. 340-355, 2011.

[49]       Z. Zoghi, S. M. Hosseini, M. T. Kouchaksaraei, Y. Kooch, and L. Guidi, "The effect of biochar amendment on the growth morphology and physiology of quercus castaneifolia seedlings under water-deficit stress," European Journal of Forest Research, vol. 138, pp. 967-979, 2019.Available at: https://doi.org/10.1007/s10342-019-01217-y.

[50]       S. Mira, L. Veiga-Barbosa, M. E. González-Benito, and F. Pérez-García, "Inter-population variation in germination characteristics of Plantago lanceolata seeds: Effects of temperature osmotic stress and salinity," Mediterr Bot, vol. 39, pp. 89-96, 2018.Available at: https://doi.org/10.5209/mbot.60079.

[51]       Salahvarzi, "Physiomorphological changes under drought stress and rewatering in endemic and exotic turfgrasses," Iranian Horticultural Science and Technology, vol. 9, pp. 193–204, 2008.

[52]       H. Farhadi, M. M. Sharifani, M. Alizadeh, H. Hokmabadi, and S. Aliniaeifard, "Effects of drought stress on some morphological characteristics obtained using hybrid seedlings rootstock from interspecific of pistachio crosses (P. Vera× P. Integerrima)," Research in Pomology, vol. 6, pp. 77-93, 2021.

[53]       J. Rodríguez-Gamir, E. Primo-Millo, J. B. Forner, and M. A. Forner-Giner, "Citrus rootstock responses to water stress," Scientia Horticulturae, vol. 126, pp. 95-102, 2010.Available at: https://doi.org/10.1016/j.scienta.2010.06.015.

[54]       Rassam, "The effect of drought stress on root and shoot traits of hyssopus officinalis in," presented at the National Conference on Natural Products and Medicinal Plants, 2012.

Views and opinions expressed in this article are the views and opinions of the author(s), International Journal of Natural Sciences Research shall not be responsible or answerable for any loss, damage or liability etc. caused in relation to/arising out of the use of the content.


Footnotes:

1. Permanent wilting point.

2. Field capacity