Index

Abstract

Emergence of diverse classes of dyes occurred due to constant effort to find specific dye or class of dyes of industrial importance for various applications. Azo dyes have been reported to possess diverse applications and properties.  In the present study, 1-(1-Phenylazo)-2-naphthol azo dye was synthesized by diazotization of aniline and azo coupling with 2-naphthol. This was further reduced with stannous chloride under reflux to produce 1-amino-2-naphthol hydrochloride. The results obtained from the UV-vis and IR spectra were used to elucidate the structural characteristics of the reduced compound. The dyeing potentials of the 1-(1-Phenylazo)-2-naphthol with material fabrics showed that the compound was reasonably fast to washing, rubbing and light with application of ingrain azoic dyeing method.

Keywords: Azo, dyes, 1-Amino-2-naphthol, hydrochloride, 1-(1-Phenylazo)-2-naphthol, Fastness test, Fabrics.

Received: 26 February 2020 / Revised: 30 March 2020 / Accepted: 1 May 2020/ Published: 28 May 2020

Contribution/ Originality

This study contributes to the existing literatures of 1-amino-2-naphthol hydrochloride, use of 1-(1-Phenylazo)-2-naphthol for dyeing and reductive reaction to 1-amino-2-naphthol hydrochloride.


1. INTRODUCTION

Azo dyes possess nitrogen-nitrogen double bond usually called azo group(s) (N=N) necessary for imparting colours, usually of high intensities and shades in the materials they are applied [1]. Structural variations around azo dyes are achievable, making them to stand out among other dyestuffs [2] and azo-naphthol dyes possess good colour fastness property to washing, rubbing and light [3]. The synthesis of most azo dyes involve diazotization – a process that involves the treatment of the primary amine with nitrous acid formed by the reaction of strong mineral acid – preferably hydrochloric acid and sodium nitrite to produce diazonium salt, followed by coupling – an attack of the electrophile – diazonium salt on the nucleophile – electron-releasing groups, usually amino and hydroxyl groups [4] and the cost-effectiveness the process is the reason people go into the synthesis and follow the synthetic route. Most azo dyes have been found to be resistance to oxidizing agent, non-toxic, non-basic, slight acidic [5] and possess interesting light effects from ultraviolet, infrared and nuclear magnetic resonance [6]. Although, azo dyes derived from benzidine tend to be carcinogenic [7].

Azo dyes have been found to be the most widely used dyes in today’s industries (about 60-70% of them are sold in the markets). They have been applied in textiles, and the discovery of German chemist William Bӧettinger in 1884 of ingrain azoic dyeing allows the dye to bond strongly to fabrics creating an excellent fastness properties, thus easing the process of dyeing to material fabrics. Azo dyes have antimicrobial properties against some strains of bacteria [8] and also used as oxidation hair dyes for hair colouring and other purposes [9-12].

2. MATERIAL AND METHODS

The chemical reagents purchased from BDH chemicals and were also used in the experiment without further purification and the equipment used are precision weighing balance (Y-502N), pH meter (PHS-3C), Incubator, Autoclave (Desco), Thermocool refrigerator (HTF-259H), Magnetic Stirrer (constant temp. HY-3D), Melting point apparatus, FT-IR spectrometer (Perkin-Elmer GX2000 FTIR) and UV-visible spectrometer (Metro UV-5800PC). Other materials used were the cotton, silk and linen fabrics.

2.1. Synthesis of 1-Phenylazo-2-naphthol 1

Aniline 4 (4.5 cm3) was dissolved in concentrated hydrochloric acid (16 cm3) and distilled water (16 cm3). The reaction mixture was shake gently to dissolve any hydrochloride which might have separated and the solution was cooled to a temperature of 5 oC. Sodium nitrite (4 g) dissolved in 20 cm3 of water and 1 spatula of urea was added with constant stirring at a temperature of 0-5 oC. Diazotization was achieved by gradually adding the cold solution of sodium nitrite to a cold solution of aniline with constant stirring, making sure the temperature never exceed 5 oC. A solution of 2-naphthol was prepared by dissolving 2-naphthol (5 g) in 45 cm3 of 10 % NaOH in a 250 cm3 beaker with constant stirring. This was followed by slow addition of the cold diazonium salt solution and the reaction mixture was further cooled below 5 oC by placing it in an ice bath and by direct addition of crushed ice (25 g). A red-orange colour and red-orange crystal develops and eventually separate. The reaction mixture was further allowed to stand in an ice bath for 30 minutes with constant stirring, after which it was filtered through a Buchner funnel and washed with water. The residue was air dried for 3 days. The scheme is shown in the Figure 1.

Figure-1. Synthesis of 1-(1-phenylazo)-2-naphthol.

Source: Onunkwo and Ejikeme [8].

2.2. Dyeing of Fabrics (Cotton, Silk and Linen)

Ingrain Azoic dyeing method was used. In this process the fabrics are dyed in the process of the production of the azo compound.

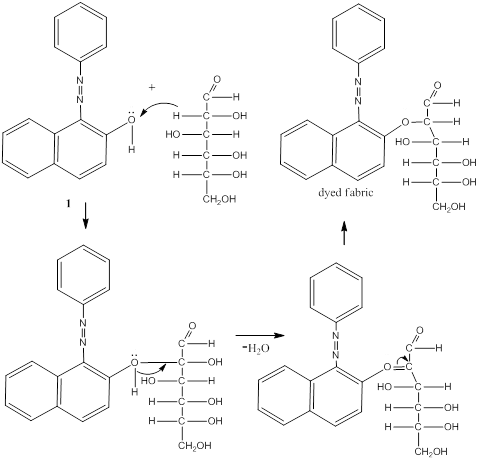
Aniline (8 drops) was dissolved in 30 drops of distilled water followed by addition of 15 drops of concentrated HCl. The beaker was swirl and then kept in an ice bath for 10 minutes. Sodium nitrite (0.15 g) was dissolved in 1 mL of distilled water, added one spatula of Urea and cooled in an ice bath. After 10 minutes the cooled solutions were mixed together to form aminophenylazonium ion and left in the ice bath for further 10 minutes. A solution of 2-naphthol (0.45 g) and Sodium hydroxide (10 %, 3 mL) were also cooled in the ice bath. Fabric material (cotton, silk and linen, 2 cm3 x 2 cm3 each) was taken with the aid of tweezer and dipped into the 2-naphthol solution allowed for 10 minutes to completely soak into the fabrics. After 10 minutes, the fabrics were transferred into the aminophenylazonium salt solution and left for another 10 minutes then taken out and allowed to dry under a shade. The mechanism for dyed fabric material is showed in the Figure 2.

Figure-2. The mechanism for the dyed fabric material

2.3. Reduction Process of the 1-(1-Phenylazo)-2-Naphthol to 1-Amino-2-Naphthol Hydrochloride

The crude uncrystallized 1-(1-phenylazo)-2-naphthol 1 (8.00 g) was dissolved in a beaker containing 60 cm3 of methylated spirit. This was poured into a round bottom flask fitted with a reflux condenser. The mixture was boiled gently until most of the azo compounds have dissolved. A solution of Tin(II)chloride (20.0 g) dissolved in 60 cm3 of concentrated HCl was warmed to produce a clear solution which was added to the contents of the flask and refluxed for further 30 minutes, for the formation of slight dark colour precipitate which was poured into a beaker, placed in an ice bath of cooling process until the crystal of 1-amino-2-naphthol hydrochloride appeared. The crystal obtained were filtered and recrystallized using 2 cm3 of hot water which contains two drops of Tin(II)chloride solution in an equal weight of concentrated HCl then dried for 3 days in desiccator and the percentage yield determined. The yield of 1-amino-2-naphthol hydrochloride obtained was 72.2 %. The scheme is shown in Figure 3 below.

The UV-visible data against ethanol showed max. at 316 nm and 480 nm peaks, indicating a conjugated and delocalized n – π* (non-bonding to pie star) electron transition of the compound. The Infra-red data against KBr showed the functional group O-H (2900 cm-1 weak), N-H (2800 cm-1 broad), C=C (1678 cm-1 weak str.), C-N (1250 cm-1 medium str.), C-O (1310 cm-1 strong stretch), C-C (1495 cm-1 medium bend.), C-H (1465 cm-1 medium bend.), C-Cl (850 cm-1 strong str.) with reference with elucidation Onunkwo and Ejikeme [8]; Al-Rubaie and Mhessn [13]; Ayuk, et al. [14].

Figure-3. Reduction of 1-(1-phenylazo)-2-naphthol to 1-Amino-2-naphthol hydrochloride.

2.4. Fastness Tests

The dyed fabrics were subjected to the following fastness tests:

2.4.1. Fastness to Washing

Dyed silk, cotton and linen fabric were immersed in 100 ml of water containing 1 g detergent, washed and ironed under a white fabric while it was still wet.

2.4.2. Fastness to Light

Dyed silk, cotton and linen fabrics were covered with opaque paper and exposed to outdoor light for two days.

2.4.3. Fasting to Rubbing

Dyed silk, cotton and linen (dry and wet) fabrics were rubbed on a white cloth.

3. RESULTS AND DISCUSSION

Table-1. Fastness tests of 1-(1-phenylazo)-2-naphthol 1 on the fabrics.

Dye
Colour
Types of Fabrics
Washing Fastness
Rubbing Fastness
Light
Fastness
1-(1-phenylazo)-2-naphthol
Orange-red
Linen
4
4
5
Silk
4
4
5
Cotton
5
5
5

KEY: 5= Excellent, 4 = good, 3 = fair, 2 = poor, 1 = very poor.

From Table 1, the cotton fabric dyed with the compound was found to possess excellent fastness to washing, rubbing and light. The dyed silk and linen fabrics showed good fastness to washing and rubbing but excellent on light fastness. Although orange-red colour [8, 13] of the compound decreases slightly during the fastness tests but generally the dyed fabrics were reasonably fast to the dye.

4. CONCLUSION

Orange-red coloured 1-(1-phenylazo)-2-naphthol crystals synthesized through diazotization and azo-coupling reaction, reduced to a slightly dark coloured 1-Amino-2-naphthol hydrochloride crystals under reflux with Stannous chloride and methylated spirit has shown to possess reasonable dyeing potentials to cotton, silk and linen fabrics.

Funding: This study received no specific financial support.  

Competing Interests: The authors declare that they have no competing interests.

Acknowledgement: The authors acknowledge all the staff of the department of Chemical Sciences, Godfrey Okoye University, Enugu, Nigeria for the laboratory assistances offered towards the success of this research.

REFERENCES

[1]          S. C. Catino and R. E. Farris, Concise encyclopedia of chemical technology, M. Grayson Ed. New York: John Wiley & Sons, 1985.

[2]          R. J. Chudgar and J. Oakes, Dyes azo kirk-othmer encyclopedia of chemical technology vol. 116. New York: Wiley and Sons, 2003.

[3]          C. Arijit, K. S. Prasanti, and D. Chakradhar, "Synthesis and application of azo-naphthol dyes on Wool, Silk and Nylon Fabrics," in Presented at the 7th International Conference-TEXSCI 2010, sept 6-8, Liberec, Czech Republic, 2010.

[4]          Z. Henrich, Colour chemistry: Synthesis, properties and applications of organic dyes and pigments. Weinheim; New York: Wiley-VCH, 1991.

[5]          H. A. Lubs, The chemistry of synthetic dyes and pigment. New York: E. Kroyer Publishing Co, 1972.

[6]          E. Siegel and A. G. Bayer, "Organic dyes and optical brightening agents," International Review of Science, vol. 3, p. 271, 1999.

[7]          K. Golka, S. Kopps, and Z. W. Myslak, "Carcinogenicity of azo colorants: Influence of solubility and bioavailability," Toxicology Letters, vol. 151, pp. 203-210, 2004. Available at: https://doi.org/10.1016/j.toxlet.2003.11.016.

[8]          I. Onunkwo and C. Ejikeme, "Synthesis, characterization and antimicrobial analysis of 1-(1-phenylazo)-2-naphthol," International Journal of Chemistry and Materials Research, vol. 8, pp. 15-19, 2020. Available at: https://doi.org/10.18488/journal.64.2020.81.15.19.

[9]          K. Hunger, Iindustrial dyes: Chemistry, properties and applications, 3rd ed. Weinheim; New York: Wiley-VCH Verlag GmbH & Co. KGaA, 2003.

[10]        J. Corbett, H. S. Freeman, and A. T. Peter, Hair dyes: Colourants for non-textile applications. Amsterdam: Elsevier Science B.V, 2000.

[11]        D. C. Harris, Quantitative chemical analysis. New York: W.H. Freeman Company, 2007.

[12]        B. B. S. Arun and B. S. Bahl, Advance organic Chemistry. Ram Nagar, New Delhi: S.Chad and Company Ltd, 2009.

[13]        L. Al-Rubaie and R. J. Mhessn, "ynthesis and characterization of azo dye para red and new derivatives," Journal of Chemistry, vol. 9, pp. 465-470, 2012. Available at: https://doi.org/10.1155/2012/206076.

[14]        E. Ayuk, S. Ilo, C. M. Nweke, and I. Onunkwo, "Palladium catalyzed synthesis and functional groups modification of 6-Aryl derivatives of non-linear azaphenothiazinones," International Journal of Chemistry and Materials Research, vol. 4, pp. 1-9, 2016.

Views and opinions expressed in this article are the views and opinions of the author(s), International Journal of Chemistry and Materials Research shall not be responsible or answerable for any loss, damage or liability etc. caused in relation to/arising out of the use of the content.