CSTR 1-reactor tank and PFR plug flow reactor for the production of formaldehyde are two reactors subjected to performance studies. The research models were derived from the fundamental principles of conservation of mass and energy balance; and qualitative kinetic optimum model for the determination of yields for the dehydrogenation and partial oxidation of methanol in the two reactors at 600-6500C. The data obtained for model evaluation were statistically regressed to adopt it as engineering data which is adequate for applications in the evaluation process. The design models for the CSTR 1-reactor tank and PFR plug flow reactor reactors were appropriately solved. The results obtained on the two reactors parameters are given as follows: CSTR 1-reactor tank volume 2.85m3, Height 5.69m, Space-time 0.12hr, Space-velocity 0.67/hr, pressure drop and heat generated per unit volume 2.34*107J/m3. Similarly, PFR volume 1.26m3, Height 12.58m, Space-time 0.225hr, Space-velocity 0.182/hr, pressure drop 3.73*10-8 and heat generated per unit volume 1.17*108 J/m3, And, innovatively, results of optimal yields Yopt calculation for CSTR 1-reactor tank and Plug flow reactor PFR showed that the yields obtained for the two reactors are 69% and 87% and compare favorably with operational yields of the production process which stood at 78.5% and 80.1%. From the results PFR provide a better volume for the production of formaldehyde at 87% conversion of 1.26m3. Hence, the PFR has a better performance for the production of formaldehyde with 87% feed conversion.
Keywords: Performance-Evaluation, Kinetic-optimum-model, Formaldehyde-production, Methanol-feed, Dehydrogenation, Partial-oxidation, Yields.
Received: 3 August 2020 / Revised: 10 September 2020 / Accepted: 28 September 2020/ Published: 8 October 2020
Research originates detailed derivations of formulas for reactor performance models and also applying calculus function for the optimum yields Yopt. calculation for the rate of depletion of feed in reactors into desired products as a detailed theoretical concepts of calculating yields of products in advance manner in chemical reaction engineering.
Formaldehyde is an organic compound of the aldehydes group of compound and has a chemical formula of HCHO. It acts as the base for other petrochemical compounds like phenol-formaldehyde, urea-formaldehyde and melamine-resin. It is applied in process industries in many ways; with a world production rate of about 10 million metric tons annually.
The areas of applications are in engineering, plastics, resin and also in making rubber, Paper, fertilizers, explosives and preservatives Bahmanpour, et al. [1].
At room temperature, pure formaldehyde is colorless with a pungent, suffocating odor. As population increased the demand for formaldehyde also increased. Waterhouse, et al. [2] posited that production of formaldehyde amounted to 32.5 million tons per year, due to the application of formaldehyde in chemical synthesis.
Several attempts have been made to produce HCHO by non-catalytic oxidation of several compounds such as propane, (C3H8) and butane (C4H10), however, several products were produced which required a complicated and cost separation system. And so partial oxidation had an advantage over the other processes.
The sequence of HCHO production is made in three stages; firstly, natural gas is reformed which leads to the production of synthesis and it is converted to CH3OH through CH3OH synthesis or hydrogenation of CO and finally partial oxidation of CH3OH leads to the production of HCHO. HCHO is industrially produced via two reactions in commercial units.
Reaction I
Dehydrogenation

Formaldehyde HCHO is produced from the endothermic dehydrogenation and exothermic partial oxidation of methanol according to the reaction kinetics Equations model 1 and 2 with enthalpies.
These two reactions occur simultaneously in commercial units in a balanced reaction, called auto thermal because the oxidative reaction releases heat to effect dehydrogenation to take place. About 50 to 60 percent of HCHO is formed by the exothermic reaction. The oxidation reaction requires about 1.6m3 of air per kilogram of methanol reacted, a ratio that is maintained when passing separate streams of these two feed materials forward rate process.
The products (HCHO and process water) leave the converter at 6200C and at 34 to 69 kpa absolute. About 65 percent of methanol is converted per pass and the operational yield from the reaction is 85 to 90 percent. Literature showed that in 1982 USA produced about 2.2 * 106 tons of 37 percent solution (formalin) at a price of 19 to 20 cents per kilogram, HCHO is industrially produced currently from CH3OH using the silver contact process which is also known as the air deficient process of silver process. In this particular process the methanol (CH3OH) under dehydrogenation and partial oxidation reaction to give formaldehyde (process used by BASF, Borden, Degussa, Bayer, DuPont, Mitsubishi, and Mitsui).
Wachs and Madix [3] worked on oxidation of methanol on silver (110) catalyst. Methanol oxidation in a packed bed reactor using Ag catalyst at process conditions of 250K, 300K and 340K to give formaldehyde. The adsorption takes place on the surface of the silver catalyst for increase productivity and efficient performance of the catalyst. The rate expression was predicated as first order kinetic through the various intermediates studied. The rate constant was estimated to (2.4+2.0)x1011exp(-14.0+kcal/mol.RT)sec-1.
Schotborgh, et al. [4] worked on analysis of the multi tubular reactor for Formaldehyde production by one-dimensional models. The oxidation of methanol in a packed bed catalytic reactor was studied and steady state models for the temperature and mass (mole) were derived using principles of conservation of mass and energy. The developed models were solved using 4th-order Runge-Kutta Algorithm and profiles of temperature and moles fraction. The kinetic expressions followed that of Cozzolino, et al. [5] and Tesser, et al. [6]. The results indicate that Tesser, et al. [6] kinetic expression was satisfactory and gives a good description of the system than others.
Jilesh and Linesh [7] worked on implementation of cleaner production principles in Formaldehyde production. The dehydrogenation process is exothermic and oxidation route which is highly endothermic. Route III was proposed and carried out which was environmentally friendly and combined the two routes in reactor with minimal energy required which approximates to zero. Thus, Formaldehyde in this route is aimed at conserving energy than the other routes.
These two process routes are demonstrated below;

Figure-1. Schematics of industrial production of formaldehyde.
Source: Bahmanpour, et al. [1].
Figure 1 represents tree diagram for the formaldehyde production.
The currently used two main processes for formaldehyde production from methanol are silver contact process and the oxide process. The silver contact process can be further grouped into two types the methanol ballast process and BASF [1].

Figure-2. A Schematic overview of the silver process.
Source: Ase [8].
1.1. Research Focus
The research thrives to investigate two reactors performance for HCHO production; develop performance models, feed physical and chemical properties; and the rigorous mathematical optimal kinetic model for the dehydrogenation (rate constant K1) and partial oxidation (rate constant K2) cum qualitative model treatments for the effectual yields of the desired product HCHO and undesired product process water.
The reactors are PFR and 1-reactor tank CSTR. The performance models were developed from the fundamental principles of material balance and kinetic optimal model qualitative treatment to determine the optimum yields for the two processes. HCHO productions are prevalent but the optimal model for yields determination and reactor comparison is rare.
Finally, taking dehydrogenation and partial oxidation kinetic literature data [7] to test the validity of the optimal kinetic model for the reactors thereby making an inference from the yields obtained from production process and that of theoretical model qualitative treatment. This action is lacking and also complementary to the two reactors sizes and relevant performance control parameters.
2.1. Materials
The analytical materials applied are:
Design model of CSTR 1- reactor tank and PFR, Stoichiometric balance equations, First-order kinetic process, Energy balance (temperature effects); Dehydrogenation and Partial oxidation kinetic literature data [7].
2.2. Methods
2.2.1. Design Model CSTR 1 - Reactor Tank
2.2.1.1. Theoretical Concepts/Constraints
The process is at steady state conditions.
The composition of the reacting mixture is uniform.
Balancing was taken on the entire volume of reactor.
The reaction mixture is well stirred.
The composition of the exit stream is the same as that within the reactor.
No conversion of feed prior to flow into the reactor volume.
The feeds entering of reactor immediately assumes a final uniform composition throughout the reactor due to assumed perfect mixing.
2.2.1.2. Reaction Kinetics of the Process
The kinetics according to Equations 1 and 2 above are two main process for formaldehyde production; dehydrogenation and partial oxidation reactions according to Jilesh and Linesh [7] kinetic literature data adapted for the research.

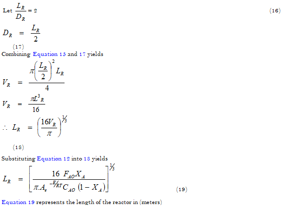
2.2.1.3. Volume of 1 - Reactor Tank CSTR
Taking a material balance for the process is given as:
Input – Output + Depletion of feed = Accumulation (7)
Equation 7 is couched mathematically to give Equation 8;


2.2.1.5. Diameter of 1- Reactor Tank (CSTR)

2.2.1.7. Space Velocity 1- Reactor Tank SV
This is the reciprocal of space time.


Figure-3. Sketch of typical CSTR 1- Reactor tank with heat effect.
Source: John [9].
2.2.1.10. Heat/Energy Balance with Heat Transfer Surface


2.2.1.11. Design Model Plug Flow Reactor (PFR)
Model Constraints
Reactor is operated at steady state.
Composition of the reacting mixture is uniform in the axial direction.
Balance is taken on differential volume of reactor.
No conversion of feed prior to flow into the reactor volume.

Figure-4. PFR differential volumes.
Source: Wordu [10].

2.2.1.12. Space Time of PFR
This is mathematically stated as:


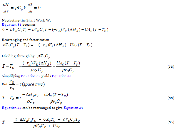
2.17. Heat / Energy Balance PFR
The steady state heat balance in words is given as Equation 48;

2.2.1.18. Optimal Kinetic Model PFR and 1- Reactor Tank CSTR
Yields for both reactors, optimum model for the PFR and CSTR are derived as follows:

Equation 56 represent the space time parameter in the material balance Equation 55 which is simplified to give Equation 57.


Equations 67 and 68 are the numerator and the denominator of Equation 65 subjected to optimum differentiation of Equation 65 above yields Equation 69

2.2.1.21. The Optimum Yield





The input data for simulation of reactors functional parameters presented in Table 1 .
Table-1. Computer program data.

The research focus has been achieved adequately by the applications of the optimal kinetic model for determination of the effectual yields YB,,opt 69% and 87% compare favorably with the operational yield 78.5% and 80% formaldehyde HCHO production by the dehydrogenation and partial oxidation reactions process.
The design results for two reactor types are shown in Table 2 and 3
Table-2. Performance Results of PFR and 1 - Reactor Tank CSTR Parameters at 90% conversion of Methanol 1 - reactor Tank CSTR.
| PARAMETERS | CSTR |
PFR |
| Conversion | 0.90 |
0.90 |
| Diameter (m) | 2.85 |
5.03 |
| Volume (m3) | 2.85 |
1.26 |
| Length (m) | 5.69 |
12.58 |
| Space Time (hr) | 0.102 |
0.225 |
| Space Velocity (hr-1) | 0.673 |
0.182 |
| Heat Gen. per volume (J/m3) | 2.64E07 |
1.17E08 |
| Operational Yield (%) | 78.5 |
80.1 |
| Pressure Drop (Pa) | N.A |
3.73E-08 |
Table-3. Cost of Reactors per annum.
Reactor |
Cost ($) |
Cost (N) |
CSTR |
1041 |
374,760.00 |
PFR |
1013 |
364,680.00 |
From Table 2 continuous stirred tank reactor shows a high cost due to high volume, since the cost estimate is a function of volume 2.85m3 and 1.26m3for CSTR & PFR respectively.
4.1. Comparison of Temperature Profiles of Continuous Reactors with Length

Figure-6. Variation of temperature for flow reactors versus length.
Figure 6 depicts the variation of temperature profiles of flow reactors with length. There is exponential increase of the temperature profiles of the flow reactors for CSTR and PFR with increase in the length of the flow reactors. The reliability of the process is such that temperature value of the PFR is fairly close to the CSTR. Both flow reactors are of order 1 meaning that the data and results are reliably acceptable and good for the production of formaldehyde.
4.2. Comparison of Temperature Profiles of Continuous Reactors with Space Time

Figure-9. Variation of length of flow reactors versus conversion.
Figure 9 shows the variation of the length of the flow reactors with conversion. The equations of the lines of

4.5. Comparison of Reactor Space Time of the Continuous Reactors with Conversion

4.6. Comparison of Reactor Space Velocity of the Continuous Reactors with Conversion

4.7. Comparison of Reactor Heat Generated per Volume of the Continuous Reactors with Conversion

Figure-12. Variation of heat generated per volume of flow reactors versus conversion.
Figure 12 depicts the relationship between the heats generated per unit volume varying with conversion. Both reactions progressed from initial condition to a maximum point and starts decline to a steady state process, as the heat generated per unit volume reduces with increase in fractional conversion.
4.8. Comparison of Reactor Diameter of the Continuous Reactors with Conversion

Figure-13. Variation of Diameter of Flow Reactors versus Conversion.

Figure 14 shows the variation of pressure drop with conversion. This parameter is only affected by packings along the tubular flow of the reactor, not continuous stirred tank reactor. The pressure drop variation is due to configuration of the plug flow reactor. The pressure drop decreases as fractional conversion increases.
From the study of the two reactors, production of formaldehyde is more achieved using a plug flow reactor. The models were derived from the fundamental principles of conservation of mass and energy balance; and kinetic optimum model for the determination of effectual yields for dehydrogenation and partial oxidation of methanol in the two reactors.
The results of optimal kinetic model yields Yopt of CSTR 1 - reactor tank and Plug flow reactor PFR showed that the yields obtained for the two reactors are 69% and 87% and compare favorably with operational yields of the production process which stood at 78.5 and 80.1 percent. From the results PFR provide a better volume for the production of formaldehyde at 87% conversion. The cost of the reactors was also developed to obtain the results and MATLAB program was used to simulate the design models developed.
Nomenclature
VR = Volume of reactor (m3)
R = Radius of reactor (m)
LR = Height of reactor (m)
p = Constant

Funding: Departmental Soft Research Grant from the University: Rivers State University, Port Harcourt, Rivers State – Nigeria. |
Competing Interests: The authors declare that they have no competing interests. |
Acknowledgement: Both authors contributed equally to the conception and design of the study. |
[1] A. M. Bahmanpour, A. Hoadley, and A. Tanksale, "Critical review and exergy analysis of formaldehyde production processes," Reviews in Chemical Engineering, vol. 30, pp. 583-604, 2014.
[2] G. I. Waterhouse, G. A. Bowmaker, and J. B. Metson, "Influence of catalyst morphology on the performance of electrolytic silver catalysts for the partial oxidation of methanol to formaldehyde," Applied Catalysis A: General, vol. 266, pp. 257-273, 2004.
[3] I. E. Wachs and R. J. Madix, "The oxidation of methanol on a silver (110) catalyst," Surface Science, vol. 76, pp. 531-558, 1978.
[4] J. Schotborgh, G. Orozio, and I. Gil, "Analysis of the multitubular reactor for formaldehyde production by one-dimensional models," Unpublished B.SC. Work, Department of Ingeni, University of Los Andes, Colombia: Bogota, 2012.
[5] M. Cozzolino, R. Tesser, M. Di Serio, P. D’Onofrio, and E. Santacesaria, "Kinetics of the oxidative dehydrogenation (ODH) of methanol to formaldehyde by supported vanadium-based nanocatalysts," Catalysis Today, vol. 128, pp. 191-200, 2007.
[6] R. Tesser, M. Di Serio, and E. Santacesaria, "Catalytic oxidation of methanol to formaldehyde: An example of kinetics with transport phenomena in a packed-bed reactor," Catalysis Today, vol. 77, pp. 325-333, 2003.
[7] M. P. Jilesh and P. Linesh, "Implementation of cleaner production principles in formaldehyde production," International Journal of Modern Engineering Research, vol. 2, pp. 1111-1118, 2012.
[8] T. Ase, "By products from production of formaldehyde for haldor topsoc," Review in Chemical Engineering vol. 40, pp. 724-784, 2015.
[9] B. B. John, "Reaction kinetics and reactor design," 2nd ed New York: Marcel Dekker, Inc, 2000, pp. 296, 297.
[10] A. A. Wordu, "Dynamic simulation of industrial reformer reactors," PhD Thesis, Chemical, Petrochemical Engineering Department, Rivers State University, Npolu-Oroworukwo, Port Harcourt, Rivers State-Nigeria, 2009.
[11] R. Sinnott and G. Towler, Chemical engineering design, 5th ed. Oxford: Elsevier Science and Technology, 2009.
Views and opinions expressed in this article are the views and opinions of the author(s), International Journal of Chemical and Process Engineering Research shall not be responsible or answerable for any loss, damage or liability etc. caused in relation to/arising out of the use of the content. |