Index

Abstract

Young coffee plants at nursery particularly after transplanting are very sensitive to weed infestation. Therefore, timely weeding is necessary to boost seedling vegetative growth. A pot experiment was conducted from 2017-18 at IRAD, Foumbot multipurpose research station, Cameroon. The main objective was to assess the influence of biochar and poultry manure on weed infestation and growth of arabica coffee seedlings. The biochar was produced using an Elsa pyrolysis barrel at 450 0C with 58 min carbonisation time from corncobs. The biochar were milled to < 2mm and mixed at the rate of 20, 30 and 40t/ha-1 with 40t/ha-1 poultry manure and soil before applying to 0.01 m2 polythene bags with five replications. Results showed that the 20t/ha-1 biochar + 40t/ha-1 poultry manure treatment significantly (P < 0.05) increased plant height, stem girth, number of leaves, and leaf area compared to control (poultry manure only). Treatments with 30t/ha-1 and 40t/ha-1 biochar had the lowest weed fresh weight and dry weight. Cyperus rotundus, Oxalis cornoculata and Cynodon nlemfuensis were most economically important weeds scored for their abundance and persistence. Overall, weed control efficiency was lowest in sole 40t/ha-1 poultry manure and 20t/ha-1 biochar treatment with 18% and 20% compared to 40t/ha-1 and 30t/ha-1 biochar treatment with 35% and 24% respectively. The results demonstrated that combined application of poultry manure and biochar appears essential for a sustainable coffee seedling production in the Western Highlands of Cameroon. However, to enhance coffee seedling growth using biochar, the use of recommended doses is paramount.

Keywords: Coffea Arabica, Corncobs, Cyperus rotundus, Pot experiment, Waste, Nitrogen, Cameroon.

Received: 13 November 2018 / Revised: 24 December 2018 / Accepted: 30 January 2019/ Published:29 April 2019

Contribution/ Originality

This study contributes to existing literature that biochar; a product of pyrolysis contains some important plant nutrients and properties which can significantly affect soil fertility and crop growth. It further seeks to assess how the growth of arabica coffee seedlings is affected by different types of organic fertilizers.


1. INTRODUCTION

Arabica coffee which is most commonly grown from seeds or cloned plants using cuttings, grafts or tissue cultured plants is an important cash crop in Cameroon on account of the export earnings and employment [1-3]. Between the two most commercial species: Arabica coffee(Coffea arabica) and Robusta coffee (Coffea canephora), Arabica coffee provides a superior quality beverage but is less resistant to different pests (fungi, nematodes, and insects), compared to Robusta coffee [4, 5]. The caffeine, antioxidant compounds and characteristic flavor of the beverage which beneficially influence human health, has been the major motivation for the mass production and consumption of coffee [4, 6]. The aroma and flavor which depends on the chemical composition of the beans are influenced by environmental factors and agricultural practices that begin from the nursery [7].

Weeds are a serious concern to crop production and are directly affected by nutrient sources and the amount available in the soil [8, 9]. Weeds compete with crops for space, light, moisture and nutrients (Nitrogen, phosphorus and potassium) as well as act as the host for pest and diseases [9]. Coffee seedling performance has been reduced in quantity and quality by 25% to 30% and in some cases up to 50 % due to native and invasive weeds which is much higher than those caused by soil fertility decline, pests and disease [8, 10] Untimely weeding in coffee nursery exacerbates competition, reduces crop performance and profitability of coffee production system Eshetu and Kebede [10]. Fermont, et al. [6]; Fischer and Glaser [11]  observed that, the interaction of nitrogen fertilization and weed infestation is complex and further complicated by soil and climatic factors.

Poultry manure has been reported as a potential store house of various weed seeds but, the magnitude of the weed seed content depends largely on the origin [10]. Poultry manure contains small quantities of essential plant nutrients (N, P, and K) compared to mineral fertilizers, but besides the plant nutrients, poultry manure also contains enzymes and hormones that are essential for the improvement of soil fertility and growth of coffee seedlings [12, 13]. Organic manures and crop wastes are usually dumped around processing mills and farmsteads in many urban and peri-urban cities. These organic wastes are also openly burnt periodically increasing the problem of environmental pollution with damaging consequences on human and environmental health [14]. However, Billa, et al. [15] reported that the use of biochar issued from crop wastes improved the growth of water leaf (Talinum triangulare). The thermal decomposition of biomass such as forest residues and agricultural wastes in an oxygen-limited environment (pyrolysis) produces syngas, bio-oil, and biochar [16-18]. Innovative use of the biochar is to apply to poor fertile soil to enhance soil fertility, increase crop yields and mitigate climate change by sequestering the recalcitrant carbon-rich material in the soil [16]. The pyrolysis process physico-chemically alters the composition of the biomass producing a highly stable and porous form of organic matter among other benefits, improves N-use efficiency and reduces gaseous emissions and leaching [17, 19].

The inherent physicochemical characteristic of biochar makes it an attractive soil amendment that poses no environmental or human health risks when applied to soils. However, the type of feedstock and different pyrolysis technologies i.e. fast and, slow pyrolysis, and gasification systems influence the final biochar quality differently [15, 20]. The potential functions of biochar in soil are manifold such as provision of organic matter, carbon sequestration, and soil water retention [16] modification of soil pH and cation exchange capacity (CEC), supply of plant available nutrients [8] and microbial activities have all been described as potential key functions of biochar [21, 22]. Research has also revealed that some biochars have larger specific surface areas and degrades easily on the short-term [8] obviously influenced by soil type and environmental conditions [20].

Studies have shown that the application of biochar together with organic manure and mineral fertilizer (NH4+) increases crop yields as compared to the pure fertilizer or organic manure application [11, 22]. The positive effects have mainly been attributed to the ability of biochar to absorb plant nutrients and increase water and nutrient retention capacity in the soil [12, 19]. As of yet, there is only limited knowledge on the effect of applying biochar and poultry manure to soil on the growth of the coffee seedling. It is therefore very likely that different rates of biochar applied with poultry manure will differentially influence weed biomass and coffee seedling growth [23]. Hence, the objectives of this study were (1) to identify economically important weeds species, and (2) to assess the effect of biochar on the weed biomass and the growth of coffee seedlings under nursery conditions.

2. METHODOLOGY

2.1. Study Location and Experimental Design

The study was carried out from July 2017 to January 2018 at the Institute of Agricultural Research for Development (IRAD) station Foumbot in the Western Highland agroecological zone (III) of Cameroon. The nursery is located between latitude 5°14’-5°48’ N and longitude 10°27’-10°47’ E at an altitude of 1100 m above sea level. The area has a montane tropical climate characterised by unimodal annual rainfall distribution of 1713 mm with average temperatures of 21 0C. The soil at the experimental site was an andosol soil type, according to the world reference base for soil classification. Soils in the study area are highly degraded with low soil fertility, with the majority of small households depending on agriculture for their livelihoods [24]. During the dry season, wetlands are typically cultivated with tomatoes (Solanum lycopersicum L.), cabbage (Brassica oleracea L.), and green leafy vegetables such as Roselle (Hibiscus sabdariffa L.), okra (Abelmoschus esculentus L. Moench) and amaranth (Amaranthus cruentus L.). During the wet season (March–September), farmers cultivate maize (Zea mays L.) and bean (Phaseolus vulgaris L.). Coffee is the major cash crop of the area and is cultivated as intercropping with bean (Phaseolus vulgaris L.), grown in full sun or in agroforestry systems with plantain (Musa sp), Leacena luecophyla, and Gliricidia sepium. Shading net made from nylon with light intensity 50% was used as shading in the nursery.

2.2. Fertilizer Treatments and Application

The treatment consisted of a mixture of biochar (0, 20, 30 and 40 tons ha-1) and poultry manure (PM) (recommended 40 tons ha-1application rate). Biochar was produced under fast pyrolysis at 450 0C with the resident time of 52 min from corn cobs and ricehusk using an Elsa pyrolysis barrel [20, 25]. The biochar was later milled to pass through a 2 mm sieve.  Poultry manure was collected from a local farmer and analysed for chemical characteristics before use. The andosol soil was collected at 0-20 cm depth from five different locations over a 1000 m2 experimental site [14]. The soil sample was mixed and analysed for texture and chemical characteristics. The Treatments comprised; control T7 (Poultry manure only): 40 t/ha-1 poultry manure; T1: 40 t/ha-1 biochar+ 40 t/ha-1 poultry manure; T4: 30 t/ha-1 biochar +40 tha-1 poultry manure; T6: 20 t/ha-1 biochar +40 t/ha-1 poultry manure respectively. The fertilization was done in five replications and applied a week before transplantation [15]. Biochar and poultry manure were completely mixed with soil to contribute a balanced Ca: Mg: K ratio of 68: 24: 7. The soil-filled bags were thoroughly watered to settle the soil before planting.

2.3. Planting Seedlings

Seedlings of Coffea arabica L. cv. Marcellesa with well-developed and straight tap roots were transplanted in to 10 x 20 cm polythene bags at the matchstick or cotyledon (butterfly) stage. Diseased seedlings or seedlings with either few root hairs or those with bent taproot (J root) were discarded. The seedlings were removed from the seed bed by lifting using a stick or trowel to prevent the roots from breaking. Then using either a small stick or a finger, a hole of about 50 mm deep was made in the middle of the polythene bag. The seedling was then inserted in the hole at one seedling per hole making sure that the taproot was not bent and further lifted slightly to open out the roots. All pots were fertilized with urea (46 % N: 0: 0) at 2g/pot in two equal splits i.e. at 12 weeks after planting and 12 weeks later in accordance with the farming practice. At three months after planting, foliar was applied to all pots at 60 g/10 L of water every 15 days until the leaves become dark green. During the rainy months from mid-March -October, plants received water only from rain. However, during the dry spells from November to February, the plants were watered manually. The plants were subjected to phytosanitary treatment against insects and fungi with callomil+ and periforce applied using a CO2 pressurised precision sprayer, at a pressure of 300 kPa and a volume of 200 L ha-1.

2.4. Evaluation of Weed Infestation and Plant Growth

Coffee seedling vegetative growth parameters were collected on monthly bases from all treatment pots. The number of leaves, leaf size, stem collar diameter (2-3 cm above the soil surface) and plant height (from the soil up to the apex) were measured using a metre ruler at 3 months after transplanting [10]. Data was also recorded on weed control efficiency Equation 1 fresh and dry weed biomass at 2 months intervals after transplanting [10]. Weeds were collected beginning at the transplanting date from all pots, weighed and then oven dried for 72 h at 70 OC to determine the dry weight.

Where; DWC: dry weight of weeds in control treatments; DWT: dry weight in biochar treated pots.

The economically most important weeds in the coffee nursery was evaluated following the criteria of Ngome, et al. [26] which include; (1) percentage coverage in the seedling poly bag (abundance), (2) capacity to establish and effectively compete with the coffee seedling (aggressiveness), (3) ease of propagation and regeneration (persistence) and (4) presence of irritating substances (pines, thorns, stiff hairs) that affect manual weeding (hindrance).

2.5. Laboratory Analysis of Soil, Biochar and Poultry Manure

The samples were oven dried at 105 0C to constant weight and ground to pass through a 2 mm sieve. Biochar and soil pH (H2O) was determined in a 1:5 (w/v) soil: water suspension. Total C was determined by chromic acid digestion and spectrophotometric analysis [27]. Organic matter content was determined by the Walkley and Black [28] chromic acid titration method. Total N was determined using a wet acid digestion and analyzed by colorimetric analysis [29]. Available P was extracted using Bray-1 procedure and analyzed using the molybdate blue procedure [30]. Exchangeable Ca2+, Mg2+, K+ and Na+ were extracted using the Mehlich procedure and analyzed using an atomic absorption spectrophotometer.

2.6. Statistical Analysis

The Kolmogorov–Smirnov test for goodness of fit was used to know whether the distributions of the data are significantly different from normal. All data collected were analysed using analysis of variance (ANOVA) in SPSS vs. 21. Means were tested using the Tukey test at 5% level of probability.

3. RESULTS

3.1. Characteristics of Soil, Biochar and Poultry Manure

The soil analysis show that the soil used in the experiment was loamy sand and slightly acidic Table 1. Soil bulk density was also very low (0.74 kg.dm-3), revealing a very porous soil. The high organic matter and nitrogen content shows that the soil can be considered as fertile with a good potential for nitrogen mineralization.

Table-1. Properties of biochar, poultry manure and soil at 0-20 cm depth used at the beginning of the experiment.

Treatment properties
Soil (0-20 cm)
Biochar
Poultry manure
pH (H2O)
6.24
10.42
8.77
CEC
10.28
16.78
19.74
Organic Carbon (%)
22.34
35.61
30.17
Total N (%)
0.43
4.17
2.37
Organic Mater (%)
9.41
61.4
26.53
P-Bray (mg.kg-1)
3.05
12.81
2.53
Mg2+  (mg. kg-1) 
4.93
6.43
0.53
Ca2+ (mg. kg-1) 
1.26
7.83
1.26
K+ (mg. kg-1) 
0.13
4.16
3.22
Na+ (mg. kg-1) 
1.51
5.45
0.36
Sand (%)
50.68
-
-
Silt (%)
20.32
-
-
Loam (%)
29
-
-

Available phosphorous was particularly low, very poor in potassium (0.13 mq.kg-1), profoundly unbalanced in exchangeable cation with excess of magnesium and insufficient levels of potassium (Ca: Mg: K) = (74.0: 25.0: 0.7). Poultry manure and biochar was slightly alkaline and rich in macronutrients with very high cation contents Table 1.

3.2. Effect of Biochar on Coffee Seedling Growth

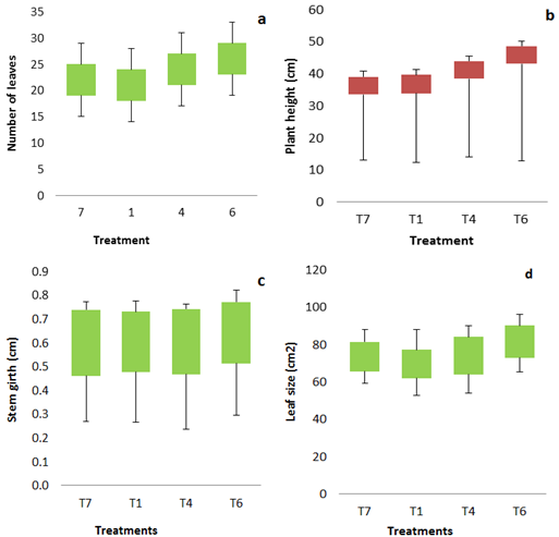
The mean values of number of leaves Figure 1a, plant height Figure 1b, stem girth Figure 1c and foliar area Figure 1d were significantly higher (P < 0.05) in biochar amended treatments (T6 and T4) compared to the control treatment (T7).

Figure-1. Arabica seedling growth response to different biochar poultry manure mixture. Treatments comprised; control T7 (Poultry manure only): 40 t/ha-1 poultry manure; T1: 40 t/ha-1 biochar+ 40 t/ha-1 poultry manure; T4: 30 t/ha-1 biochar +40 tha-1 poultry manure; T6: 20 t/ha-1 biochar +40 t/ha-1 poultry manure respectively.

Results in Figure 1 show significant differences in the coffee seedling growth parameters amongst treatments. The coffee seedlings fertilized with biochar and poultry manure treatments had relatively higher (P < 0.05) average number of leaves per plant probably due to the production of many leaves on plagiotropic branches, followed by seedlings fertilised 40 t/ha-1 biochar and 40 t/ha-1 poultry manure which exhibited a non-significant difference in the average number of leaves per plant Figure 1a. Similarly, plant height exhibited a difference in all treatments Figure 1b. The coffee seedlings fertilized with 20 t/ha-1 biochar and 40 t/ha-1 poultry manure were significantly (P < 0.05) taller compared in decreasing order to 30 t/ha-1 biochar and 40 t/ha-1 poultry manure, sole 40 t/ha-1 poultry manure and seedlings with 40 t/ha-1 biochar and 40 t/ha-1 poultry manure application with the least plant height. Same trend was observed in the foliar area development Figure 1d. However, all treatments showed a nonsignificant difference (P > 0.05) in the stem girth Figure 1c. The study shows that, the combination of biochar with poultry manure is advantageous over the sole poultry manure amendment providing evidence for biochar poultry manure synergism [11, 31]. According to Schulz and Glaser [9] it could be expected that, poultry manure treatment was rapidly mineralized compared to poultry manure biochar mixtures where nutrient retention was significantly more efficient. This fast coffee seedling vegetative growth could also be due to the soil enhancing properties of biochar which is rich in cations such as Ca, Mg and K liberated during mineralization [10, 31].

3.3. Effect of Biochar on Economically Important Weeds

The economically most important weeds growing abundantly in the coffee nursery are listed in Table 2. Species such as Galinsoga parviflora, Ageratum conyzoides, Dactyloctenium aegyptum, Cyperus rotundus and Cynodon nlemfuensis were scored largely for their abundance Table 2.

Table-2. Economically important weeds growing abundantly in the coffee nursery.

Sr. No.
Common name
Scientific name
Family
Morphology 
1
Bahama grass
Cynodon dactylon (pers)
Gramicae 
Grass, perennial
2
Buffalo grass
Dactyoctenium aegyptium (L)
Poaceae 
Grass, annual
3
Couch/crab grass
Digitaria bicomis (lam)
Poaceae
Grass, perennial
4
Nut grass
Cyperus rotundus (L)
Poaceae
Sedge, perennial
5
King grass
Ageratum conyzoides (L)
Compositeae 
Grass, annual
6
Sorrel
Oxalis cornoculata (L)
Oxalidaceae 
Broadleaved, perennial
7
Black jack
Bidens pilosa
Compositeae 
Annual 
8
Purslane
Portulaca oleracea (L)
Portulacaceae 
Broadleaved, annual,
9
Bitter cress
Cardimine flexuosa
Brassicacceae
Broadleaved, annual
10
Prostate spurge
Chamaesyce maculate
Euphorbiaceae 
Annual 
11
Common ground
Senecio vulgaris
Asteraceae 
Annual 
12
Gallant soldier
Galingsoga parviflora
Asteraceeae 
Annual
13
Redroot amaranth
Amarantus retroflexus
Amaranthaceae 
Broadleaved, annual
14
Wild  radish
Raphanus raphanistrum
Brassicaceae
15
Green kyllinga
Kyllinga brevifolia
Cyperaceae
Sedge, perennial 
16
Mimosa 
Mimosa spp
Fabaceae
Perennial 

Other weeds such as Cyperus rotundus, Digitaria bicomis, Oxalis anthelmintica and Kyllinga bulbosa was scored for their persistence (ability to regenerate from stem-cuttings, bulbs, and stolons) Table 2 while Bidens pilosa was scored for its aggressiveness. Though Mimosa sp has root nodules that can fix atmospheric nitrogen in the soil for coffee seedling growth, the weed was scored for its hindrance due to the presence of thorns around the inflorescence which affect manual weeding and formation of thickets.

3.4. Effect of Biochar on Weeds Fresh, Dry Weight and Control efficiency

It was observed that the different rates of biochar application significantly influenced weed fresh, dry weight, biomass and weed control efficiency Figure 2. Generally, weed infestation was significantly higher (P < 0.05) and more severe in the control (sole 40t/ha-1 poultry manure) treatment compared to the biochar fertilized treatments Figure 2.

Figure-2. Effect of biochar on weeds dry weight (a), weeds fresh weight (b), weed biomass (c) and control efficiency (c). Bars with the same small letter are not significantly different at the 0.05 probability level.

Weed fresh weight Figure 2b and dry weight Figure 2a of in treatments treated with 20t/ha-1 biochar + 40t/ha-1 poultry manure were higher compared to the 30t/ha-1 and 40t/ha-1 biochar and 40t/ha-1 poultry manure treated pots, respectively. High weed control efficiency was observed in treatments containing 30t/ha-1 and 40t/ha-1 biochar respectively and was also significantly (P > 0.05) different from the control Figure 2d. As expected the highest weed biomass was recorded from the control treatment Figure 2c. Similar to weed fresh and dry weight, weed control efficiency significantly (p < 0.05) decreased with increase in the rate of biochar applied Figure 2d. But there was no significant difference (P > 0.05) in weed interference between the sole poultry manure and 20t/ha-1 biochar + 40t/ha-1 poultry manure treatment Figure 2d. The results of this study suggest the ability of biochar to reduce weed interference in coffee nurseries.

3.5. Pearson Correlation between Coffee Seedling growth Parameters

Table 3 presents the eventual correlation between the coffee seedling growth parameters as influenced by biochar application Table 3.

Table-3. Pearson Correlation matrix between coffee seedling growth parameters.

 Coffee seedlings growth parameters
Plant height
Stem girth
Leaf size
Number of leaves
Weed biomass
Weed fresh weight
Weed dry weight
Plant height
1
Stem girth
0.851**
1
Leaf size
0.464**
0.482**
1
Number of Leaves
0.819**
0.818**
0.514**
1
Weed Biomass
-0.031
0.105
-0.148
-0.206
1
Weed fresh weight
-0.803**
-0.781**
-0.262
-0.819**
0.224
1
Weed dry weight
-0.519**
-0.482**
-0.319
-0.635**
0.500**
0.856**
1

*, ** Correlation is significant at the 0.05, 0.01 levels.

Positive and significant correlations (P ≤ 0.01) were recorded between plant height and stem girth (r = 0.851**), number of leaves and plants height (0.819**), stem girth (0.818**), and between leaf size and stem girth (0.482**) Table 3. No correlation was observed between weed biomass and growth parameters Table 3. But weed control efficiency significantly (p < 0.05) decreased with increase in plant height, number of leaves and leaf size. However, there was negative and significant correlation (P ≤ 0.01) between weed fresh weight and plant height (r = -0.803**), stem girth (0.781**) and number of leaves -0.819**, Table 3. As expected the shortest was recorded from the control. Negative and significant correlation (P ≤ 0.01) was also noticed between weed dry weight and number of leaves (-0.635**), plant height (-0.519**) and stem girth (-0.482**) respectively Table 3.

4. DISCUSSION

The addition of biochar increased the growth of arabica coffee seedlings in the nursery Figure 1. Coffee seedlings that were planted with 20t/ha-1 biochar + 40t/ha-1 poultry manure had taller plants than with sole poultry manure Figure 1. Fagbenro, et al. [8]; Schulz and Glaser [9] evaluated the effect of gliricidia biochar + inorganic fertilizer on the growth of Moringa oleifera plants in an oxisol and found a positive effect on plant height, stem girth and dry matter mass [9]. The combined use of biochar and poultry manures had demonstrated benefits for soil quality due to the reduction of soil bulk density and the increase of cation exchange capacity as a result of the many negative charges present within the organic matter [14]. Moreover, biochar may have also contributed in reducing nitrogen loss and N mineralization, thereby keeping the production conditions optimum [9, 13].        In the 20t/ha-1 biochar treatment, biochar amendment could have sustained soil P availability for coffee seedling uptake [32].

The slow coffee seedling growth from soils amended with 30 and 40t/ha-1 biochar may also be due to the high pH of the biochar (pH 10.42). Alkaline soils have also been reported to cause boron and cupper deficiencies that lead to poor growth and stunted coffee plants [33]. Cu may have been strongly complexed by the organic matter and thus became less available to the coffee plants [9, 33] the reason why foliar sprays are used to supply Cu to coffee plants. Cu deficiency compromises the activity of several enzymes that catalyse metabolic oxidative reactions in coffee plants, especially the plastocyanin, superoxide dismutase, and polyphenoloxidase [34]. Boron deficiency in coffee plants reduces root growth and causes premature death of thin root tips with consequent decrease in water and mineral absorption. Consequently, the plants become less responsive to fertilizations and sensible to drought [34]. The extremely slow release of nutrients in the high level 40t/ha-1 biochar treatment greatly influenced the slow coffee seedling growth [1]. The nutrients contained in biochar and organic manures are released more slowly can therefore be stored for longer periods of time in the soil ensuring longer residual effects with improved crop performance [35]. However, the study also supports the findings of Masarirambi, et al. [34] that animal manures ensure sustainable crop productivity by immobilizing nutrients that are susceptible to leaching when efficiently and effectively used [11, 33]. The observed significant low weed biomass in the 20t/ha-1 biochar + 40t/ha-1 poultry manure compared to the sole 40t/ha-1 poultry treatment could be due to the formation of a canopy as a result of rapid vegetative growth of the coffee seedlings, providing shade that reduced the growth of important weeds species [27]. Hence, the low weeds control efficiency the observed in Figure 2c. Fermont, et al. [6] also observed that the use of poultry manure and NPK fertilizer facilitated canopy closure in cassava fields barely three months after planting to suppress weeds. The relatively low weed biomass and control efficiency values observed in the 30 and 40t/ha-1 biochar treatment pots could be due to the general slow growth of plants and weed species in these treatments which also explains the reduction in coffee height, leaf area index and stem diameter Figure 1. Spokas, et al. [36] studied the potential of biochar for amendment impacts and reported that biochar contains ethylene. Ethylene without the addition of microbial inoculums or soil as well as after the addition of water has been shown to reduce the height of certain weeds species such as redroot pigweed seedlings [36]. These findings raises concerns for the possible complex interactions amongst soils, plants and biochar suggesting that the application of biochar may influence weed management practices and thus recommend the need for further research. The findings of this study has however shown clearly that amending soils with organic manure (biochar and poultry manures) is a veritable alternative in improving soil fertility thus ensuring food sustainability for resource-poor farmers and would also minimize the environmental pollution effects caused by the indiscriminate disposal of crop wastes and poultry manure [37].

5. CONCLUSION

The combined use of biochar mixed with poultry manure enhanced soil nutrient status and improved the vegetative growth of arabica coffee seedlings. The application of 20t/ha-1 biochar and 40t/ha-1 poultry manure were observed as the optimum agronomic interventions to harness best foliage production and also reducing weed infestation in coffee nurseries. This portrays the importance of biochar and poultry manure fertilisation in enhancing coffee production in very poor ferralitic soils. Thus, a combined application of poultry manure and biochar appears paramount for a sustainable coffee production in the Western highlands of Cameroon.

Funding: This study received no specific financial support.   
Competing Interests: The authors declare that they have no competing interests. 
Contributors/Acknowledgement: All authors contributed equally to the conception and design of the study as well as reading the draft of the manuscript. The authors appreciate the institutional support from the Ministry of Scientific Research and Innovation (MINRESI) and the Institute of Agricultural Research for Development (IRAD).

REFERENCES

[1]          Y. N. Yemo, G. R. N. Tsopmbeng, E. K. Keuete, and C. G. Nchongboh, "Antifungal activities of plant extracts against coffee berry disease caused by colletotrichum kahawae L," International Journal of Current Research in Biosciences and Plant Biology, vol. 4, pp. 60-66, 2017.Available at: https://doi.org/10.20546/ijcrbp.2017.407.007.

[2]          F. M. F. Borém and T. J. G. Salva, "Relationship between organic acids, sucrose and the quality of specialty coffees," African Journal of Agricultural Research, vol. 11, pp. 709-717, 2016.

[3]          L. O. Fassio, M. R. Malta, and C. J. Pimenta, "Sensory description of cultivars (Coffea Arabica L,) resistant to rust and its correlation with caffeine, trigonelline, and chlorogenic acid compounds," Beverage, vol. 2, pp. 1-12, 2016.Available at: https://doi,org/10,3390/beverages2010001.

[4]          A. M. Carvalho, J. C. Rezende, and G. R. Carvalho, "Relationship between the sensoru atributes and the quality of coffee in different environments," Journal of Agricultural Research, vol. 11, pp. 3607-3614, 2016.Available at: https://doi,org/10,5897/AJAR2016,11545.

[5]          T. Islami, E. Ismu, and H. N. Waego, "Biochar derived from sugarcane industry waste increasing productivity of degraded land," International Journal of Soil Science, vol. 12, pp. 1-9, 2017.Available at: https://doi.org/10.3923/ijss.2017.1.9.

[6]          M. A. Fermont, P. A. Tittonell, and K. E. Giller, "Towards understanding factors that govern fertilizer response in cassava: Lessons from East Africa," Nutrient Cycling in Agroecosystems, vol. 86, pp. 133-151, 2010.Available at: http://dx,doi,org/10,1007/s10705-009-9278 .

[7]          L. Yang, F. Shen, H. Guo, Z. Wang, G. Yang, L. Wang, Y. Zhang, Y. Zeng, and S. Deng, "Phytotoxicity assessment on corn stover biochar, derived from fast pyrolysis, based on seed germination, early growth, and potential plant cell damage," Environmental Science and Pollution Research, vol. 22, pp. 9534-9543, 2015.Available at: https://doi.org/10.1007/s11356-015-4115-5.

[8]          J. A. Fagbenro, S. O. Oshunsanya, and B. A. Oyeleye, "Effects of gliricidia biochar and inorganic fertilizer on moringa plant grown in an oxisol," Communications in Soil Science and Plant Analysis, vol. 46, pp. 619-626, 2015.Available at: https://doi.org/10.1080/00103624.2015.1005222.

[9]          H. Schulz and B. Glaser, "Effects of biochar compared to organic and inorganic fertilizers on soil quality and plant growth in a greenhouse experiment," Journal of Plant Nutrition and Soil Science, vol. 175, pp. 410-422, 2012.Available at: https://doi.org/10.1002/jpln.201100143.

[10]        T. Eshetu and T. Kebede, "Effect of weed management methods on yield and physical quality of coffee at Gera, Jimma Zone, South West Ethiopia," Journal of Research and Development Management, vol. 16, pp. 63-68, 2016.

[11]        D. Fischer and B. Glaser, Synergisms between compost and biochar for sustainable soil amelioration: Management of Organic Waste, Research Gate. Available: https://www.researchgate.net/publication/221923455 , 2012.

[12]        International Coffee Organization (ICO), Annual Report 2012/132012.

[13]        C. Kaiser and L. E. Nelson, "Evaluation of mineral and organic fertilizers utilization by small-scale farmers in Vhembe district, Limpopo province, South Africa," International Journal of Manures and Fertility, vol. 3, pp. 576-580, 2014.

[14]        K. Siegfried, H. Dietz, E. Schlecht, and A. Buerkert, "Nutrient and carbon balances in organic vegetable production on an irrigated, sandy soil in Northern Oman," Journal of Plant Nutrition and Soil Science, vol. 174, pp. 678-689, 2011.Available at: https://doi.org/10.1002/jpln.201000318.

[15]        F. S. Billa, N. A. Francis, T. E. Angwafo, and T. N. Precillia, "Waterleaf (Talinum triangulare) response to biochar application in a humid-tropical forest soil," Journal of Soil Science and Environmental Management, vol. 8, pp. 95-103, 2017.

[16]        E. W. Bruun, "Application of fast pyrolysis biochar to a loamy soil: Effects on carbon and nitrogen dynamics and potential for carbon sequestration," PhD Thesis, 2011.

[17]        X. Domene, A. Enders, K. Hanley, and J. Lehmann, "Ecotoxicological characterization of biochars: role of feedstock and pyrolysis temperature," Science of the Total Environment, vol. 512, pp. 552-561, 2015.Available at: https://doi.org/10.1016/j.scitotenv.2014.12.035.

[18]        Fairtrade Foundation, "Fairtrade and coffee: Commodity briefing," p. 5. Available: http://www.fairtrade.org.uk , 2012.

[19]        C. Steiner, B. Glaser, W. Geraldes Teixeira, J. Lehmann, W. E. Blum, and W. Zech, "Nitrogen retention and plant uptake on a highly weathered central Amazonian Ferralsol amended with compost and charcoal," Journal of Plant Nutrition and Soil Science, vol. 171, pp. 893-899, 2008.Available at: https://doi.org/10.1002/jpln.200625199.

[20]        D. Klinar, "Universal model of slow pyrolysis technology producing biochar and heat from standard biomass needed for the techno-economic assessment," Bioresource Technology, vol. 206, pp. 112-120, 2016.Available at: https://doi.org/10.1016/j.biortech.2016.01.053.

[21]        A. Inal, A. Gunes, O. Sahin, M. Taskin, and E. Kaya, "Impacts of biochar and processed poultry manure, applied to a calcareous soil, on the growth of bean and maize," Soil Use and Management, vol. 31, pp. 106-113, 2015.Available at: https://doi.org/10.1111/sum.12162.

[22]        C. Kammann, B. Glaser, and H. P. Schmidt, Combining biochar and organic amendments. In Shackley et al, Biochar in European soils and agriculture. London: Routledge, 2015.

[23]        M. Predotova, W.-A. Bischoff, and A. Buerkert, "Mineral-nitrogen and phosphorus leaching from vegetable gardens in Niamey, Niger," Journal of Plant Nutrition and Soil Science, vol. 174, pp. 47-55, 2011.Available at: https://doi.org/10.1002/jpln.200900255.

[24]        L. B. Tonfack, A. Bernadac, E. Youmbi, V. P. Mbouapouognigni, M. Ngueguim, and A. Akoa, "Impact of organic and inorganic fertilizers on tomato vigor, yield and fruit composition under tropical andosol soil conditions," Fruits, vol. 64, pp. 167-177, 2009.Available at: https://doi.org/10.1051/fruits/2009012.

[25]        S. F. Billa, T. E. Angwafo, and A. F. Ngome, "Agro-environmental characterization of biochar issued from crop wastes in the humid forest zone of Cameroon," International Journal of Recycling of Organic Waste in Agriculture, vol. 8, pp. 1-13, 2019.Available at: https://doi.org/10.1007/s40093-018-0223-9.

[26]        A. Ngome, K. Mtei, F. Mussgnug, and M. Becker, "Management options and soil types differentially affect weeds in maize fields of Kakamega, Western Kenya," Journal of Agricultural Science and Technology A, vol. 2, pp. 104-114, 2012.

[27]        D. Heanes, "Determination of total organic-C in soils by an improved chromic acid digestion and spectrophotometric procedure," Communications in Soil Science and Plant Analysis, vol. 15, pp. 1191-1213, 1984.Available at: https://doi.org/10.1080/00103628409367551.

[28]        A. Walkley and I. A. Black, "Examination of digestion method for determining soil organic matter and a proposed modification of the chromic acid titration," Soil Science, vol. 37, pp. 29-38, 1934.Available at: https://doi.org/10.1097/00010694-193401000-00003.

[29]        M. L. Jackson, Soil chemical analysis. Engle Wood Cliffs, New Jersey: Prentice Hall Inc, 1958.

[30]        R. H. Bray and L. Kurtz, "Determination of total, organic, and available forms of phosphorus in soils," Soil Science, vol. 59, pp. 39-46, 1945.Available at: https://doi.org/10.1097/00010694-194501000-00006.

[31]        S. Brinate, L. Martins, G. Rosa, V. Cunha, A. d. J. Sotero, J. do Amaral, J. Jesus, and M. Tomaz, "Copper can influences growth, disease control and production in arabica coffee trees," Australian Journal of Crop Science, vol. 9, pp. 678-683, 2015.

[32]        E. K. Akoto-Danso, D. Manka’abusi, C. Steiner, and A. Buerkert, "Nutrient flows and balances in intensively managed vegetable production of two West African cities," Journal of Plant Nutrition and, Soil Science, vol. 182, pp. 229-243, 2019.Available at: https://doi.org/10.1002/jpln.201800339.

[33]        J. M. Clemente, E. P. M. Herminia, A. W. Pedrosa, P. Yonara, and J. L. Jifon, "Boron, copper, and zinc affect the productivity, cup quality, and chemical compounds in coffee beans," Journal of Food Quality, vol. 9, pp. 1-14, 2018.Available at: https://doi.org/10.1155/2018/7960231.

[34]        M. Masarirambi, M. M. Hlawe, O. T. Oseni, and T. Sibiya, "Effects of organic fertilizers on growth, yield, quality and sensory evaluation of red lettuce (Lactuca sativa L.)'Veneza Roxa'," Agriculture and Biology Journal of North America, vol. 1, pp. 1319-1324, 2010.Available at: https://doi.org/10.5251/abjna.2010.1.6.1319.1324.

[35]        J. Guo and B. Chen, "Insights on the molecular mechanism for the recalcitrance of biochars: Interactive effects of carbon and silicon components," Environmental Science & Technology, vol. 48, pp. 9103-9112, 2014.Available at: https://doi.org/10.1021/es405647e.

[36]        K. A. Spokas, J. M. Baker, and D. C. Reicosky, "Ethylene: Potential key for biochar amendment impacts," Plant and Soil, vol. 333, pp. 443-452, 2010.Available at: https://doi.org/10.1007/s11104-010-0359-5.

[37]        K. Draper and T. Thayer, The potential for biochar to deliver greater sustainability for coffee cultivation and processing: A white paper: Ithaka Institute for Carbon Intelligence and International Biochar Initiative. Available: http://biochar-international.org , 2015.

Views and opinions expressed in this article are the views and opinions of the author(s), Current Research in Agricultural Sciences shall not be responsible or answerable for any loss, damage or liability etc. caused in relation to/arising out of the use of the content.