Index

Abstract

Biochar biocatalyst action could improve quality and reduce costs in producing biochar fertilizer. Objective of this study was to develop a high-quality organic fertilizer using biochar biocatalyst action. To activate Gliricidia stem biochar (produced at 400-500oC and 2.5 hours residence time), aqueous biocatalysts were prepared in two separate aerobic reactors containing 4L of water, 12.5 g of rock phosphate, and Gliricidia biocatalyst (GBC) with 1 kg of Gliricidia leaves and market waste biocatalyst (MWBC) with 1 kg of market wastes.  Intermittently total 377.5 g and 525 g of biochar were added respectively to the reactors until they reach neutral pH. GBC showed higher total nitrogen (243 mg/L) and available phosphorous (8,125 mg/L) contents. Four compost piles were prepared with fresh immature grass of 18 kg/pile and Gliricidia leaves of 2 kg/pile. Produced biocatalysts were added at the beginning to three piles as 6% GBC, 3% GBC, and 3% MWBC and the control with 6% biochar on dw basis. N, P, K levels of all the compost piles after 8 weeks were within the recommended levels of compost. The highest total nitrogen (20.3 g/kg) and available potassium (83.71 g/kg) remained in 6% GBC and the highest available phosphorous (3.41 g/kg) measured in 3% MWBC. pH values of all piles ranged between 8.8-9.2. The made fertilizer is very suitable and cost-effective for acidic soils to improve soil nutrient status unlike the addition of lime. Michaelis-Menten kinetics indicates that it is preferable to add market waste-like substances to GBC for optimizing the qualities.

Keywords: Biochar, Biochar-biocatalyst, Compost, Gliricidia green leaves, Market waste, Michaelis-Menten kinetics Organic fertilizer.

Received: 12 January 2021 / Revised: 9 February 2021 / Accepted: 2 March 2021/ Published: 22 March 20201

Contribution/ Originality

This study documents a novel procedure of biochar activation using an aqueous mixture of Gliricidia sepium stem biochar, Gliricidia leaves and rock phosphate under aerobic conditions and also, production of high quality organic fertilizer with the addition of activated biochar during active phase of composting.


1. INTRODUCTION

Intensive farming practices lead to depleting soil carbon storage thus reduces its capacity to act as a carbon sink [1].  Conservation tillage, the addition of soil amendments with biosolids and organic wastes and improved crop-rotation have been identified as strategies to increase carbon sequestration in soils [2]. There is a potential to increase stored carbon in soils and to reduce greenhouse gas emissions by applying organic residues into agricultural soils [3]. But the relatively fast rate of degradation which leads to the emission of carbon dioxide and becoming a carbon source to greenhouse gas emission rather than being a sink is a problem associated with the use of organic residues like green manures and compost [4]. Still, there is a possibility to convert organic residues into biochar which has a relatively slow rate of decomposition [5].  Biochar has been found to be more stable than composts and can be effectively used to improve carbon sequestering in soils [6-8]. By both physical and chemical fractionation studies, it has demonstrated that labile carbon fractions decompose faster than non-labile carbon fractions [9]. The physical and chemical structures including surface area, condensation grade, and particle size of biochar control their stability in soils [10-12].

Composting is one of very popular organic soil amendments which contributes to restoring soil quality and sequestering carbon in the soil upon use [13]. Compost is produced by aerobic microbial decomposition of biodegradable materials [14].  During the composting process, nutrient loss is an avoidable problem, specially the case for nitrogen [15]. Total nitrogen loss during the composting process ranges from 16% - 76%. This substantial loss of nitrogen results in the reduction of the nutrient value of the final compost products [16]. Therefore, reducing nutrient loss specially in the nitrogen loss during composting can produce compost with superior quality.

As biochar and composts are organic soil amendments, there is a high potential to use both together and get improved results [17]. According to a study conducted by Hardy Schulz, it has shown that Avena sativa L. (Oat) plant growths have increased in sandy substrates than loamy substrates with the use of co-composted biochar. In addition, they have found that the application of co-composted biochar could only be a better way to enhance plant growth and soil nutrient levels if only applied at rates higher than 2.5 Mg/ha [18]. However, Blackwell and co-workers have suggested that it has a potential to have better results by using loaded or activated biochar [19]. Biochar is proven to reduce nutrient losses from the soil by adsorbing nutrients. This phenomenon can also be applied in the composting process to minimize nutrient loss during composting, specially nitrogen loss. The addition of biochar during composting will reduce the loss of nitrogen and produce nutrient stabilized organic fertilizer [6].

The addition of biochar can be further improved with biocatalyst. Biocatalyst is the entity which accelerates or catalyzes biochemical reactions in living cells [20]. Catalysis of biochar can be done either chemically or biologically [21]. But biologically activated biochar might be very suitable for agricultural purposes than chemically activated biochar.  Biocatalyzed biochar is the catalyzation of biochar with natural enzymes with the presence of microbial activities instead of using synthesized chemicals. Thus, a study was conducted to develop a procedure to produce a totally organic fertilizer with biochar biocatalyst, compost, and Eppawala rock phosphate (ERP) which will be rich in nutrients.

2. MATERIALS AND METHODS

Initially, two types of aqueous biochar biocatalysts using market waste and Gliricidia sepium (Gliricidia) green leaves were produced separately under aerobic conditions based on the study conducted by Gunasekara, et al. [22].  Reactor designing, fabrication, establishment, and evaluation were done at the Faculty of Agriculture, University of Peradeniya. Then compost was prepared by using produced biocatalysts with different treatments at the farm site of Meewatura, University of Peradeniya. Gliricidia sepium stem biochar production and collection of Gliricidia sepium leaves and garden waste were also done at the Meewatura farm.

2.1. Biocatalysts Production and Evaluation

2.1.1. Collection of Raw Materials and Preprocessing

5 kg of fruits and vegetable waste from a marketplace, 5 kg of Gliricidia sepium stem biochar, 0.1 kg of Eppawala Rock Phosphate (ERP) were collected. The collected market waste was sorted into fruits and vegetables and then 2 kg of fruits and 2 kg of vegetables were chopped into small size particles using a grinder.  4 kg of green leaves was also chopped into small pieces using a chopping machine and then ground using a grinder separately to prepare a slurry solution. The collected raw materials were analyzed to determine the initial composition.

Gliricidia sepium stem biochar was obtained from Meewathura farm which was produced in a batch pyrolytic reactor at a temperature range of 400 oC - 500 oC for 2.5 hours. Collected biochar was size reduced and sieved through a sieve (<4 mm) and particles less than 4 mm in size were used for the experiment. The preprocessed biochar was tested for moisture content (MC), total solids (TS), volatile solids (VS), and ash content by using APHA Method 2540-G, pH by using a pH meter (Thermo Scientific, model Orion 2 star), salinity, electrical conductivity (EC),  and total dissolved solids (TDS) by using a conductivity meter (Thermo Orient Model 145 A), particle size distribution by using the standard methods and instruments. Size reduced market waste and size reduced (<2 mm) Gliricidia sepium green leaves were analyzed separately to determine the MC, ash content, TS, and VS by using APHA Method 2540-G.

2.1.2. Reactor Fabrication, Biocatalysts Preparation and Analysis

Two aerobic reactors were fabricated using 15 L plastic containers and 4 mm diameter transparent flexible tubes.  Plastic containers were used without any modifications and the lids were kept open to facilitate gas exchanges and promote aeration (to insert aerator tube).  Aeration was done continuously using an aerator pump (SDA-2800). The mixture of shredded market waste was blended by adding a measured amount of water to obtain a solution.  The same chopping and blending procedure were used to preprocess Gliricidia sepium leaves separately to have another solution.  100 mL from each solution was kept separately for the characterization. The rest of the slurries were diluted up to 12 L by adding water to maintain organic matter: water ratio as 1: 4.  50 g of ERP was added to each solution while diluting with water.  The prepared slurries were put into the fabricated reactors. Aeration was also done continuously throughout the experimental period. Size reduced biochar (< 4 mm) was added intermittently to the reactors separately until the reactor pH reached a neutral pH value of 7. The added biochar was measured and weights were noted as given in Table 1.

A representative sample from each reactor was taken and analyzed daily for 31 days for pH by using a pH meter (Thermo Scientific, model Orion 2 star), EC, salinity, and TDS concentration by using a conductivity meter (Thermo Orient Model 145 A), TS, and VS by using APHA Method 2540-G,   and dissolved oxygen (DO) by using a DO meter (Eutech DO 6+)  while available total nitrogen (N) content by using the Kjeldahl method, available potassium (K) (Exchangeable base method using a flame photometer), available phosphorous (P) by using the Olsen P method were measured, on 1st  day, 15th  day and on 31st  day. Scanned electron microscopic (SEM) (EVO LS15) view was taken at the end of the experiment (on 31st day).

Table-1. Quantities of biochar added to the each biocatalytic reactor.

Time (Days)
Quantity of biochar added (g)
Gliricidia biocatalyst
Market waste biocatalyst
1
50
50
2
25
27
4
32
35
6
35
38
8
50
62
9
70
120
10
77
100
11
100
200
12
120
300
13
100
110
15
500
600
16
100
110
17
100
120
22
150
230
Total
1,510
2,100

2.1.3. Analysis of the Biocatalyst Production Process with the Application of Biochemical Transformation Kinetics

Biochemical transformation kinetics [23] was used to evaluate the biocatalyst production process. Data were interpreted and analyzed by using an Excel sheet with the developed equations and extensions to Michaelis-Menten kinetics [23].  The concept of a unit production to describe the cyclic behavior of the reactions as stated in Equation 1 is the fundamental theory,

Enzyme productions and formation of enzyme-substrate complexes derived from transformations given in Ariyawansha, et al. [23] were used to evaluate the biocatalyst production process (Supplementary material 1). 

2.2. Composting and Evaluation

Next step was to produce an effective organic fertilizer by using produced biocatalysts. For that, collected and separated green garden waste (a mixture of Gliricidia sepium green leaves and buffalo grass (Bouteloua dactylodies) was chopped into small pieces with particle sizes less than 2 cm long using a household grinder.  Four windrow composting piles were established using preprocessed garden waste mixed with different ratios of biochar at the Meewathura farm Table 2.  The percentage of biochar incorporation was decided based on the results reported by Samudrika, et al. [17]. Amount of water that should be added to bring the MC of the pile to standard MC (40 - 60 % (w/w)) of composting was calculated and added accordingly.

Table-2. Treatments of the composting experiment.

Treatment Name
Immature grass (kg)
Gliricidia leaves (kg)
% of raw biochar/ catalyst added from dry weight of the total stock material
6% biochar
18
2
6% biochar
6% Gliricidia catalyst
18
2
6% Gliricidia catalyst
3% Gliricidia catalyst
18
2
3% Gliricidia catalyst
3% market waste catalyst
18
2
3% market waste catalyst

Temperature of the pile was measured daily throughout the experimental period using thermal sensors and did set the system to automatically record the data in a data logger. Representative samples from four piles were taken separately just after the preparation. And sampling from each composting pile was done daily for 53 days throughout the experimental period. For that, five sub-samples were obtained randomly from various places in each composting pile to obtain a representative sample. Sub-samples of each pile were placed into a container and mixed thoroughly to make a composite sample for analysis. The composite samples were analyzed daily for pH by using a pH meter (Thermo Scientific, model Orion 2 star), moisture content, total solids, volatile solids, and ash content by using APHA method 2540-G. Samples were analyzed for total N content by using the Kjeldahl method available P content by using the Olson method, and available K content by using the exchangeable base method using a flame photometer on weekly basis.

Michaelis-Menten kinetics and Michaelis-Menten equation were used to analyze the biochemical transformation kinetics of the composting process.  The substrate was defined as [product]3/4 [23] and cumulative VS% at time t was calculated for each composting treatment and it was used as the product for this analysis.  Then, v was calculated based on both rate and time perspectives as given in Equation 9

Km and vm values for different composting treatments were calculated by drawing graphs using the Lineweaver-Burk double reciprocal plot of 1/[S] vs 1/v [24].  Then using those Km and vm values and considering the preferred substrate concentration as the calculated [S] of 6% Gliricidia sepium catalyst added treatment, again v was calculated for each treatment and Lineweaver-Burk plots were drawn to identify inhibitive conditions.

3. RESULTS AND DISCUSSION

3.1. Characterization of Raw Materials

Typically, biochar is alkaline and pH value is usually in the range of 7 - 10 [25]. Fast pyrolysis chars produced in the absence of steam tend to be very basic [26] but it varies mainly with the feedstock characteristics [27]. Gliricidia sepium stem biochar used for this experiment had a pH value of 8.02.  The moisture content (wb %) of biochar was 6.59% and ash content was 4.66%. TDS concentration was 289.79 mg/L. EC was 590.35 µs/cm and salinity content was 0.318 PSU.  Biochar is considered as a soil nutrient regulator as it enriches soil similar to other fertilizers [28]. Total N content of used biochar was 8,184.0 mg/kg where available K concentration was 18,077.8 mg/kg and available P concentration was 353.3 mg/kg.  Market waste which was used mainly comprised of 10.3% of pumpkin (Cucurbita maxima), 12.9% of brinjole (Solanum melongena), 9.6% of carrot (Daucus carota subsp. sativus), 2.4% of long bean (Vigna unguiculata ssp. sesquipedalis), 7.2% of beans (Phaseolus vulgaris) and 7.5% of cabbage (Brassica oleracea var. capitata) as wasted vegetables  and it contained 17.1% of papaw (Carica papaya), 13.7% of banana (Musa spp.), 11% of water melon (Citrullus lanatus), 5.4% of pineapple (Ananas comosus), 2.88% of pomegranate (Punica granatum), and 1% of lime (Citrus aurantiifolia) as wasted fruits. Moisture content (wb %) of market waste mixture used was 90.5% while in Gliricidia sepium leaves it was 66.7%. Market waste had 9.5% of total solids, 65.0% of volatile solids and 35.0% ash content. Gliricidia sepium leaves had 33.3% of total solids, 55.0% of volatile solids, and 45.0% of ash content. Total solids content was much higher in Gliricidia sepium leaves when compared to that of market waste, which was comprised with more watery fruits and vegetables. But market waste had high volatile solids content, thus less total fixed solid contents (ash).  Therefore, the mineral content of Gliricidia sepium leaves could markedly influence the major differences in activation of biocatalysts.  TS content of Gliricidia slurry was 92.3 g/L, VS content was 56.9 g/L, pH was 5.31, TDS concentration was 1.25g/L, EC content was 2.56 µs/cm, DO concentration was 2.31 mg/L, salinity was 1.39 PSU.  Whereas TS content of market waste slurry was 35.1 g/L, VS content was 33.3 g/L, pH was 4.11, TDS concentration was 1.09 g/L, EC was 2,225 µs/cm, DO concentration was 1.8 mg/L, salinity was 1.21 PSU. So, market waste slurry was more acidic than Gliricidia sepium slurry.  It can be due to lime, pineapple like acidic components of market waste slurry and also due to more acidic and readily degradable nature of fruits and vegetables compared to cellulose like compounds in Gliricidia sepium green leaves.  The water content of the slurry in market wastes was much higher than Gliricidia sepium leaves.

3.2. Evaluation of Biocatalyst Production Process

As reported by Kastner, et al. [21] catalyzed or activated biochar has more advantages than raw biochar. Solid carbon catalysts are stable under both acidic and basic conditions, have very high surface areas (500-1,500 m2/g), can be used to generate active carbon, active material can be finely dispersed through the carbon structure and can be reused. In the first experiment, within a day there was a considerable decrease in pH value of Gliricidia catalyst from 5.31 to 4.76 and in market waste catalyst it reduced from 4.11 to 3.46 due to initial acidogenic reactions in the activation process.  But thereafter, pH values of both catalysts increased continuously at a slow rate, with the addition of biochar.  Biochar is characteristically alkaline in nature.  On the 24th day, Gliricidia catalyst reached near to a neutral pH value which was 7.07 while market waste catalyst was still acidic having a pH value of 5.54.  Total biochar addition rate was 377.5 g/kg Gliricidia leaves in Gliricidia catalyst, whereas it was 525 g/kg market waste in market waste catalyst.  In view of pH as a deciding parameter, Gliricidia catalyst is more suitable for agricultural applications and commercial purposes than market waste catalysts with very acidic nature.  Even though both of the catalysts were maintained up to 31 days, there was no remarkable changes in pH values after about 24th day Figure 1(a). EC of Gliricidia catalyst was higher than market waste catalyst throughout the experimental period Figure 1(b) except on 26th  day. It could be due to higher total fixed solid content of Gliricidia catalyst and readily degradable nature of market waste catalyst.  There was a fluctuating nature in EC of catalysts while gradual increasement was in market waste catalyst EC values. But there had been a distinguishable increasement in the final EC values of catalysts compared to initial values. Initial and final EC values of Gliricidia catalyst were 2.561 mS/cm and 7.007 mS/cm respectively while EC values of market waste catalyst changed from 2.225 mS/cm to 6.435 mS/cm at the end of the experiment. It could be attributed to loss in TS content with time. Variations of TDS also showed the same pattern as EC, where Gliricidia catalyst had higher (1.225 g/L) and fluctuating values compared to low (1.091 g/L) and gradually increasing TDS of market waste catalyst Figure 2(a). There were continuous fluctuations in DO Figure 2(b) TS Figure 3(a) and VS Figure 3(b) contents of both catalysts throughout the time period.  It could be deduced that there was a decrease in biocatalysts properties after the 20th day and thereafter it was not at all useful to maintain catalysts up to 31st  day.

Figure-1. Variations of electrical conductivity and pH of catalysts with time (a.) Electrical conductivity, (b.) pH.

Figure-2. Variations of TDS and dissolved oxygen levels of catalysts (first experiment) with time (a) TDS, (b) dissolved oxygen.

Figure-3. Variation of TS and VS concentration of the catalysts (first experiment) (a) TS concentration; (b) VS concentration.

Kmwas lower than the value of the substrate [S] during the first 18 days in the Gliricidia biocatalyst (Figure 4(a)). In the market waste biocatalyst Kmwas lower than the value of the substrate [S]  within the first 5 days then suddenly increased Figure 5(a).  

It indicates that there were adequate substrate and microbial activity during this period.  Kinetics of biochemical transformation is built based on the formation of enzyme-substrate (ES) complexes. [ES] complexes Figure 4(c) and differentials of d[ES]/dt Figure 4(d) drastically increased on the 8th  day in Gliricidia catalyst and on the 5th  day in the market waste biocatalyst Figure 5 (c) and Figure 5(d) which manifests higher catalytic activity potential. Such an increase accompanies higher production of enzymes.  It indicates exceedingly high productions as shown in the differentials from -ve liquid phase to +ve d[ES]/dt solid phase of all the treatments, where dS/dt approaches zero. Thus, there is a potential for producing biocatalyst within a shorter period of time. Quantity of biochar required to augment the pH can be added to the reactor within the first three days.

Figure-4. Analysis of Gliricidia biocatalyst production process with the applications of biochemical transformation kinetics (a.) Substrate (S) concentration and Km variations with time (b.) d[S]/dt variations with time (c.) Substrate concentration, [Eo], [ES], and [E] variations with time (d.) d[ESʹ]/dt, d[ESʹʹ]/dt, d[ESʹʹʹ]/dt, and d[ES]/dt variations with time (e.) Lineweaver-Burk plot for different composting treatment for the preferred substrate concentration of 6% Gliricidia catalyst treatment.

Figure-5. Analysis of market waste biocatalyst production process with the applications of biochemical transformation kinetics (a) Substrate concentration and Km variations with time (b) Substrate concentration, [Eo], [ES], and [E] variations with time (c) d[ESʹ]/dt, d[ESʹʹ]/dt, d[ESʹʹʹ]/dt, and d[ES]/dt variations with time.

The nutrient contents of the two catalysts were dependent on the degree of aeration throughout experimental period.  When comparing initial nutrient contents of both catalysts, total N content of Gliricidia catalyst (50.96 mg/kg) was almost twice that of the market waste catalyst (21.28 mg/kg) and as expected, Gliricidia has very high levels of nitrogen compared to most plant materials as given in Table 3. Gliricidia was chosen especially due to its richness of nitrogen and abundance when compared to most of the other plants and wood biochar which can be produced or purchased at low cost. On the other hand, market waste catalyst had initially high levels of available P (57.06 mg/kg) and available K (1,200 mg/kg) compared to initial available P (38.43 mg/kg) and available K (1,000 mg/kg) of Gliricidia catalyst. In Gliricidia catalyst, available total N content was 243.04 mg/kg and available K concentration was 8,125 mg/kg on the 15th day which were the maximum reported values and thereafter decreased towards the 31st day.  It can be due to high microbial population and activities towards the middle of the experiment and then decreasing microbial activities with gradual death of microbes due to lack of substrate. As mentioned before, the pH values of the catalysts reached to its maximum pH value on the 10th  day and thereby it can be deduced that 10-15 days would be enough to activate Gliricidia catalyst with maximum total N and available P. Market waste catalyst had its maximum total N level of 21.28 mg/kg on the 1st  day and thereafter it decreased to 4.48 mg/kg towards the 15th day and then again increased to 5.60 mg/kg on the 31st day.  The decrease in total N level on the 15th day could be attributed to increase in microbial utilization of it during that period and releasing some of it towards the 31st day, which could be due to higher levels of microbial respiration, thus addition of some of the microbial nitrogen to the catalyst. Variations of available P levels of both catalysts showed same pattern. Available P concentration of Gliricidia catalyst was 38.43 mg/kg on the 1st day and on the 15th day it was 16.15 mg/kg, on the 31st  day it was 75.62 mg/kg.  On 1st day P concentration of market waste catalyst was 57.06 mg/kg, on the 15th day it was 53.4 mg/kg and on the final day it was 110.4 mg/kg. Not like N, P uptake was more because of microbial growth and their activities and utilization of more nutrients in the earlier period and then activities decreased towards the end, increasing P. Solubilization of ERP happens very slowly but microbial utilization happens at high rates during initial period and it could be the possible reason for the decrease of available P on 15th day.  But thereafter, due to dying of microbes and slow rate of P utilization compared to ERP solubilization available P has increased on the 31st  day in both catalysts. 

Table-3. Nutrient contents variation of catalysts.

Parameter
Gliricidia catalyst
Market waste catalyst
Initial
(1st day)
Middle
(15th  day)
Final
(31st  day)
Initial
(1st day)
Middle
(15th  day)
Final
(31st  day)
Total N
50.96
243.04
109.76
21.28
4.48
5.6
Available P
38.43
16.15
75.62
57.06
53.4
110.4
Available K
1000
8125
1140
1200
1625
1320

There are distinct differences between the SEM view of raw biochar and bio-catalyzed biochar Figure 6. Biochar from both catalysts have greater smoother surfaces than raw biochar, implying occupation of active sites.

3.3. Performances of Composting Piles               

3.3.1. Variations of Temperature, ph, Electrical Conductivity, and Volatile Solid Content with Time

According to the temperature observations of composting piles, they have not passed thermophilic stage. Average temperature of the 6% biochar added pile was 25.5± 1.7 °C and it was 25.4± 2.2 °C in the 3% Gliricidia catalyst   mixed pile.  And the average temperature of 6% Gliricidia catalyst added pile was 26± 2.2 °C and it was 25.2± 1.9 °C in the 3% Gliricidia catalyst mixed pile during the experimental period. 34 °C was the highest temperature recorded in the 3% Gliricidia catalyst mixed pile from among four treatment piles. The temperature values were not very much higher than the environmental temperatures, since the average temperature of the environment was 25.6±1.4 °C during the experimental period.

Figure-6. Scanned electro microscopic view of raw biochar and each biocatalyzed biochar (a) Raw biochar; (b) Gliricidia catalyst; (c) Market waste catalyst.

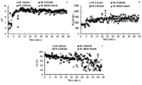
Even though the optimum pH for compost is 7, pH of 6.5 - 8 are the most common range of values of composting [29].  In the initial stages, hydrolysis and acidogenic reactions occur lowering the pH. Thus at the beginning, all four piles had slightly acidic pH values for first few days as shown in Figure 7(a).  Then, it suddenly increased to values around pH 9.  It must have been the result of mixing biochar biocatalysts with Gliricidia leaves and immature grass.  It would have produced ammonia because of high nitrogen content in the starting materials.  Thereafter pH values fluctuated around pH 8-9 throughout the experimental period. High pH fertilizers have the advantage of neutralizing more frequently encountered acidic soils caused by applying inorganic fertilizers. Continuous use of inorganic fertilizers in modern agriculture has detrimental effects of groundwater contamination, surface water pollution and eutrophication of surface water bodies, development of soil acidity, and human health problems [30]. It also results in deficiencies in micronutrients, imbalance of soil physiochemical properties and unsustainable crop production [31].  In fact, liming is a common practice in commercial agriculture to minimize the soil acidity. But this increases the atmospheric C by releasing carbon dioxide from calcium carbide in the process of breaking down of acids in soil [32]. Since the manufactured compost was moderately alkaline and will be a promising solution to reduce soil acidity while increasing soil nutrient status. During the initial period, EC values fluctuated in all four treatments Figure 7(b).   It could be due to increases and decreases in decomposition reactions.  But EC values became high, more stable, and less fluctuating in latter period of experimentation as most of the decomposition had taken place and more labile fractions were available. At early stages, volatile solids contents were very high Figure 7(c) and it could be due the presence of more microbial population but it has decreased towards the end as microbes utilize more nutrients with the time and converting it into fixed solids.  Total solids are the summation of volatile solids and fixed solids, thus when there is an increase in the fixed solids, volatile solids tend to decrease.

Figure-7. Variations of pH, electrical conductivity, and volatile solids content with time of the composting piles (a.) pH, (b.) Electrical conductivity, (c.) Volatile solids content.

3.3.2. Nutrient Contents of Composting Piles

Initially, 6% Gliricidia biocatalyst added pile had the highest total nitrogen content of 25.56 g/kg Figure 8(a) and it can be due to the high amount of nitrogen it gained from immature grass, Gliricidia leaves, and from the Gliricidia catalyst as well.  3% market waste biocatalyst added pile had the lowest total nitrogen content of 15.10 g/kg and it may possibly be due to low nitrogen content it received from the market waste catalyst. There were peaks and steep gradients in total nitrogen content throughout the research period without any distinguishable pattern.  Peaks might have occurred because of decomposition and releasing of nitrogen in raw materials and microbes.  Steeps could be due to microbial utilization and volatilization of nitrogen in raw materials.  At the end, 6% Gliricidia catalyst added pile had the highest total nitrogen content of 20.9 g/kg of dry compost while 3% market waste catalyst added pile had the lowest value of 12.6 g/kg of dry compost.  Initially, 6% biochar added compost pile had the highest amount of total available phosphorous of 1.22 g/kg of dry compost while 3% market waste catalyst added pile had the lowest amount of 0.53 g/kg of dry compost.  But at the end, 3% market waste catalyst added pile had the highest available phosphorous; amounting to 0.75 g/kg of dry compost and 6% Gliricidia catalyst added pile had the lowest value of 0.67 g/kg of dry compost Figure 8(b).  Initially, all four treatments had the same available potassium levels approximately 50 g/kg of dry compost.  But at the end 6% Gliricidia catalyst added pile had the highest total potassium level of 83.7 g/kg of dry compost Figure 8(c).

Replacement with high nutrient content is essential because agriculture is accounted as the major means of nitrogen (N) and other nutrients loss to the environment [33]. Doubling the world food production in 1965, led to increase N fertilizer usage by 6.9-fold [33] so that the other fertilizers phosphorous (P) and Potassium (K) were increased. As emphasized before, synthetic fertilizer usage is crucial to control groundwater contamination by leaching of excessive nitrogen [34] surface water eutrophication by runoff of excessive P and N.  According to [34] improvements in soil N were observed in compost treatments compared to raw manure and synthetic fertilizer treatments. Also, compost treatments have showed high yields and improvements in soil C and N while synthetic fertilizer added treatments showed only high yields [34].

Figure-8. Variation of nutrient contents of composting piles with time (a) Total Nitrogen; (b) Available phosphorous; (c) Available potassium level.

3.3.3. Application of Biochemical Transformation Kinetics

According to the obtained Km and vm values for different compost treatments, the highest Km value indicated in 6% biochar treatment while the lowest Km value indicted in 3% market waste catalyst treatment as given in Table 4.  The highest vm value indicated in 6% biochar treatment and the lowest vm value was in 3% Gliricidia biocatalyst added treatment.  According to the Lineweaver-Burk plot, Km is the substrate concentration when v is equal to half of the vm.  Therefore, in order to have a highest v value at a low substrate level vm should be high and Km should be low for a given treatment.  Therefore, better results could be obtained by mixing market waste and Gliricidia leaves together to make the catalyst.

Table-4. Km and vm values for each compost treatment obtained from Lineweaver-Burk plot.

Treatment
Km
vm
6% Biochar
47.38
76.92
6% Gliricidia catalyst
40.43
71.43
3% Gliricidia catalyst
36.76
58.82
3% Market waste catalyst
31.75
62.5

Even though 6% Gliricidia catalyst treatment was best according to the nutrient contents, 6% biochar treatment was also very closer to its performance.  It is evident that in-competitive inhibition manifested according to Figure 9.

This produced organic fertilizer is a good and promising solution to fertilizer related problems in commercial agriculture.  It is indeed an enormous step in agriculture towards organic farming by introducing this nutrient-rich organic fertilizer mainly to uplift rural farmers in replacing inorganic fertilizers. And, farmers can produce this nutrient-rich organic fertilizer by their own.  At present, soil acidity has become a major issue in the world, particularly so in the tropics because of intensive agricultural practices.  Instead of using lime, peat-like alkaline soil amendments, applying this alkaline biocatalyst compost may minimize soil acidity while improving soil nutrient status too. The made compost is very suitable and perhaps cost-effective for acidic soils to improve soil nutrient status unlike the addition of lime. 

Figure-9. Lineweaver-Burk plot for different composting treatment for the preferred substrate concentration of 6% Gliricidia catalyst treatment.

4. CONCLUSIONS

The prepared Gliricidia and market waste slurries had acidic pH values initially while biochar had a very alkaline pH value.  Market waste slurry had a very low pH value compared to the Gliricidia slurry.  But gradually both slurries reached neutral pH levels by adding biochar to the catalysts intermittently.  All pH, salinity, EC, and TDS values of both catalysts increased with time due to the addition of biochar and microbial degradation and mineralization of biomass. Even though aeration was done using an aerator, DO levels of both catalysts reduced with time due to increase of slurry density by addition of biochar, creating preferential flow without dissolving in slurry and due to microbial utilization. SEM views also show the depth of biochar activation and it has occurred in a satisfactory way in both catalysts.  In contrast, biochar activation and filling of pores on possible activated sites by microbes is very clear in short period biocatalyst than the long duration one. All four compost treatments were within the range of compost standards while 6% Gliricidia catalyst added treatment had the highest total nitrogen and total phosphorous levels.  Therefore, all the treatments can be considered acceptable to produce biocatalyzed organic fertilizer. The attempt to make an effective biocatalyst organic fertilizer derived from biochar was very successful but mathematical methods must be developed to explain precisely the reasons for the variations of total N, P, and K levels of catalyst and composting piles. Such changes, particularly of P and K were not very clear because we cannot account for losses and gains of those nutrients.  Further studies should also be undertaken using both market waste and Gliricidia leaves together to optimize the final product quality.  It is necessary to design and develop an effective industrial scale reactor to produce the catalysts and select the best type of mixing device, like a turner to incorporate the biocatalyst into compost piles during the active phase of composting.

Funding: This investigation received financial support from the Faculty of Agriculture, University of Peradeniya.

Competing Interests: The authors declare that they have no competing interests.

Acknowledgement: The authors are very much grateful to D. D. K. Galahitiyawa, D. M. A. S. Wasantha, Department of Agricultural Engineering, G. Herath, Department of Crop Science, Faculty of Agriculture, University of Peradeniya for their support throughout the study period.

REFERENCES

[1]          R. Lal, "Soil carbon sequestration impacts on global climate change and food security," Science, vol. 304, pp. 1623-1627, 2004. Available at: https://doi.org/10.1126/science.1097396.

[2]          A. Sissoko and A. K. Kpomblekou, "Carbon decomposition in broiler litter-amended soils," Soil Biology and Biochemistry, vol. 42, pp. 543-550, 2010. Available at: https://doi.org/10.1016/j.soilbio.2009.10.007.

[3]          M. Bustamante, D. Said-Pullicino, C. Paredes, J. Cecilia, and R. Moral, "Influences of winery–distillery waste compost stability and soil type on soil carbon dynamics in amended soils," Waste Management, vol. 30, pp. 1966-1975, 2010. Available at: https://doi.org/10.1016/j.wasman.2010.03.012.

[4]          S. Godbout, M. Verma, J. Larouche, L. Potvin, A. Chapman, S. Lemay, F. Pelletier, and S. Brar, "Methane production potential (B0) of swine and cattle manures–a Canadian perspective," Environmental technology, vol. 31, pp. 1371-1379, 2010. Available at: https://doi.org/10.1080/09593331003743096.

[5]          R. Kookana, A. Sarmah, L. Van Zwieten, E. Krull, and B. Singh, "Biochar application to soil: Agronomic and environmental benefits and unintended consequences," Advances in Agronomy, vol. 112, pp. 103-143, 2011. Available at: https://doi.org/10.1016/B978-0-12-385538-1.00003-2.

[6]          N. S. Bolan, A. Kunhikrishnan, G. Choppala, R. Thangarajan, and J. Chung, "Stabilization of carbon in composts and biochars in relation to carbon sequestration and soil fertility," Science of the Total Environment, vol. 424, pp. 264-270, 2012. Available at: https://doi.org/10.1016/j.scitotenv.2012.02.061.

[7]          K. N. Palansooriya, Y. S. Ok, Y. M. Awad, S. S. Lee, J.-K. Sung, A. Koutsospyros, and D. H. Moon, "Impacts of biochar application on upland agriculture: A review," Journal of Environmental Management, vol. 234, pp. 52-64, 2019. Available at: https://doi.org/10.1016/j.jenvman.2018.12.085.

[8]          A. Karthik, S. A. H. Hussainy, and M. Rajasekar, "Comprehensive study on biochar and its effect on Soil properties: A review," International Journal of Current Microbiology and Applied Science, vol. 9, pp. 459-477, 2020. Available at: https://doi.org/10.20546/ijcmas.2020.905.052.

[9]          M. P. Bernai, C. Paredes, M. Sanchez-Monedero, and J. Cegarra, "Maturity and stability parameters of composts prepared with a wide range of organic wastes," Bioresource Technology, vol. 63, pp. 91-99, 1998. Available at: https://doi.org/10.1016/S0960-8524(97)00084-9.

[10]        D. A. Wardle, M.-C. Nilsson, and O. Zackrisson, "Fire-derived charcoal causes loss of forest humus," Science, vol. 320, pp. 629-629, 2008. Available at: https://doi.org/10.1126/science.1154960.

[11]        W. Kwapinski, C. M. Byrne, E. Kryachko, P. Wolfram, C. Adley, J. J. Leahy, E. H. Novotny, and M. H. Hayes, "Biochar from biomass and waste," Waste and Biomass Valorization, vol. 1, pp. 177-189, 2010. Available at: https://doi.org/10.1007/s12649-010-9024-8

[12]        J. Titova and E. Baltrėnaitė, "Physical and chemical properties of biochar produced from sewage sludge compost and plants biomass, fertilized with that compost, important for soil improvement," Waste Biomass Valor, 2020.

[13]        S. De Neve, S. Sleutel, and G. Hofman, "Carbon mineralization from composts and food industry wastes added to soil," Nutrient Cycling in Agroecosystems, vol. 67, pp. 13-20, 2003. Available at: https://doi.org/10.1023/A:1025113425069.

[14]        L. Cooperband, The art and science of composting: A resource for farmers and compost producers,” Centre for Integrated Agricultural Systems. University of Wisconsin-Madison, 2002.

[15]        H. T. Soudejani, H. Kazemian, V. J. Inglezakis, and A. A. Zorpas, "Application of zeolites in organic waste composting: A review," Biocatalysis and Agricultural Biotechnology, vol. 22, p. 101396, 2019. Available at: https://doi.org/10.1016/j.bcab.2019.101396.

[16]        S. Barrington, D. Choinière, M. Trigui, and W. Knight, "Effect of carbon source on compost nitrogen and carbon losses," Bioresource Technology, vol. 83, pp. 189-194, 2002. Available at: https://doi.org/10.1016/S0960-8524(01)00229-2.

[17]        K. Samudrika, R. Ariyawansha, B. Basnayake, and A. Siriwardana, "Optimization of biochar additions for enriching nitrogen in active phase low-temperature composting," Organic Agriculture, vol. 10, pp. 449-463, 2020. Available at: https://doi.org/10.1007/s13165-020-00287-2.

[18]        H. Schulz, G. Dunst, and B. Glaser, "No effect level of co-composted biochar on plant growth and soil properties in a greenhouse experiment," Agronomy, vol. 4, pp. 34-51, 2014. Available at: https://doi.org/10.3390/agronomy4010034.

[19]        P. Blackwell, S. Shea, P. Storer, Z. Solaiman, M. Kerkmans, and I. Stanley, "Improving wheat production with deep banded oil mallee charcoal in Western Australia," in In Proceedings of Agchar Initiative Conference, Terrigal, Australia, 2007.

[20]        W. Hartmeier, Immobilization biocatalysts: An introduction. Switzerland: Springer Nature, 2012.

[21]        J. Kastner, J. Miller, R. Ormsby, J. Locklin, and K. Fries, "Down to earth energy”,  In: Monroe, G.A. (Eds.) Catalytic properties of biochar for chemical synthesis," presented at the IBE.  Biofuels/Biomaterials Conference, Cambridge, MA, 2010.

[22]        N. S. Gunasekara, B. F. A. Basnayake, and R. T. K. Ariyawansha, "Development of an effective organic fertilizer through a novel approach of biocatalyst derived from biochar," in In: Proceedings of Faculty of Agriculture Undergraduate Research Symposium, University of Peradeniya, Sri Lanka, 2014, p. 173.

[23]        R. Ariyawansha, B. Basnayake, A. Karunarathna, and M. Mowjood, "Extensions to Michaelis-Menten kinetics for single parameters," Scientific reports, vol. 8, pp. 1-11, 2018. Available at: https://doi.org/10.1038/s41598-018-34675-2.

[24]        K. A. Johnson, "A century of enzyme kinetic analysis, 1913 to 2013," FEBS Letters, vol. 587, pp. 2753-2766, 2013. Available at: https://doi.org/10.1016/j.febslet.2013.07.012.

[25]        J. Lehmann, M. C. Rillig, J. Thies, C. A. Masiello, W. C. Hockaday, and D. Crowley, "Biochar effects on soil biota - a review," Soil Biology and Biochemistry, vol. 43, pp. 1812-1836, 2011. Available at: https://doi.org/10.1016/j.soilbio.2011.04.022.

[26]        J. E. Amonette and S. Joseph., Physical properties of biochar,” In: Lehmann, J., Joseph, S. (Eds.) Biochar for environmental management. Science and Technology: Earthscan, London, 2009.

[27]        F. Verheijen, S. Jeffery, A. C. Bastos, M. Van Der Velde, and I. Diafas, Biochar application to soils: A critical scientific review of effects on soil properties, processes and functions,” EUR 24099 EN. Luxembourg: Office for the Official Publications of the European Communities.

[28]        R. T. K. Ariyawansha, B. F. A. Basnayake, D. M. G. P. Vijenayaka, N. S. Waduge, and D. A. S. Gamage, "Biochar applications for enhancing nutrient availability in tropical soils," in In: Proceedings of the International Conference on Solid Waste Innovation in Technology and Management, Hong Kong SAR, P.R. China, 2013, pp. 676–679.

[29]        C. Sundberg, S. Smårs, and H. Jönsson, "Low pH as an inhibiting factor in the transition from mesophilic to thermophilic phase in composting," Bioresource Technology, vol. 95, pp. 145-150, 2004. Available at: https://doi.org/10.1016/j.biortech.2004.01.016.

[30]        C. Dissanayake and R. Chandrajith, "Phosphate mineral fertilizers, trace metals and human health," Journal of the National Science Foundation of Sri Lanka, vol. 37, pp. 153-165, 2009. Available at: http://doi.org/10.4038/jnsfsr.v37i3.1219 .

[31]        P. Jayathilake, I. Reddy, D. Srihari, and K. Reddy, "Productivity and soil fertility status as influenced by integrated use of n-fixing biofertilizers, organic manures and inorganic fertilizers in onion," The Journal of Agricultural Sciences, vol. 2, pp. 46-59, 2006.

[32]        B. Liang, J. Lehmann, D. Solomon, J. Kinyangi, J. Grossman, B. O'neill, J. O. Skjemstad, J. Thies, F. J. Luizão, and J. Petersen, "Black carbon increases cation exchange capacity in soils," Soil Science Society of America Journal, vol. 70, pp. 1719-1730, 2006. Available at: https://doi.org/10.2136/sssaj2005.0383.

[33]        R. H. Socolow, "Nitrogen management and the future of food: lessons from the management of energy and carbon," Proceedings of the National Academy of Sciences, vol. 96, pp. 6001-6008, 1999.

[34]        P. Hepperly, D. Lotter, C. Z. Ulsh, R. Seidel, and C. Reider, "Compost, manure and synthetic fertilizer influences crop yields, soil properties, nitrate leaching and crop nutrient content," Compost Science & Utilization, vol. 17, pp. 117-126, 2009. Available at: https://doi.org/10.1080/1065657X.2009.10702410.

APPENDIX

Supplementary Materials 1

Analysis of the biocatalyst production process with the application of biochemical transformation kinetics

A formulism based on the unit productions of enzymes and reactants in cyclic events to comply with mass action law to form enzyme-substrate complexes was developed by Ariyawansha, et al. [23].  This formulism supports the successful application of Michaelis–Menten kinetics in all biochemical transformations of all single parameters.  So, we analyzed the initial stage of different environments using this model.

Michaelis-Menten Equation

Then, overall rate of reaction was calculated using this equation.

Derivation of Enzyme Generations

The cyclic nature of enzyme-substrate complexes and products can be used as the basis for developing the proposed scheme. The concept of a unit production to describe the cyclic behaviour of the reactions as shown Equation 5Equation 5  was used to calculate the generation and utilization of enzymes and enzyme-substrate complexes through analysis of path X and path Y as reported by Ariyawansha, et al. [23].

Then, the variations of kinetic parameters, Eo, ES, E generations and utilization with time and environmental parameters of each pile were analyzed, interpreted to evaluate the performances of each catalytic production process.

Views and opinions expressed in this article are the views and opinions of the author(s), Current Research in Agricultural Sciences shall not be responsible or answerable for any loss, damage or liability etc. caused in relation to/arising out of the use of the content.