Index

Abstract

Strawberries have a relatively short postharvest life due to their quick softening and decay. When the supply chain is too far along to make logistical adjustments to meet shelf life, quality loss and shelf-life reduction often accelerates with rising temperature. The purpose of this study is to use kinetic modelling to explain how characteristics of strawberry quality vary while they are being stored. To measure the qualities of redness (a*), lightness (L*), chroma colour (C*), weight loss (WL), total soluble solids (TSS), titratable acidity (TA), and total phenolic content (TPC), fresh strawberries were obtained from a farm and stored for 8 days at 4°C and 10°C. The experimental results showed that strawberry quality characteristics stored at 10 °C had a strong and significant impact. After being stored at 10°C, the properties of redness (a*) and lightness (L*) quickly converted to darker zone. During storage at 10 °C, a significant rise in weight loss and chroma was seen with a less apparent decrease in L*. Zero-order and first-order models are used to characterize quality changes that occur during storage. The WL, TSS, and TA properties were best described by the zero-order model. On the contrary, the hue change was described by the first-order model. The results demonstrate that kinetic models fall short in their ability to characterize changes in TPC property during storage. In comparison to strawberries stored at 10°C, the strawberries stored at 4°C carried out the desired result of weight loss, colour change, and TA change.

Keywords: Kinetic modelling, Storage conditions, Strawberry quality characteristics.

Received: 13 December 2022 / Revised: 26 January 2023 / Accepted: 10 February 2023 / Published: 28 February 2023

Contribution/ Originality

In this study, we used the kinetic modelling to describe how strawberry quality characteristics altered throughout their time in storage at different temperatures 4°C and 10°C. It is essential to carefully consider storage temperature in order to provide high-quality postharvest strawberries without any loss.

1. INTRODUCTION

Fresh strawberry (Fragaria sp.) quality characteristics are primarily influenced by colour, soluble solid content, acidity, and flavour [1]. Strawberries have a significant commercial potential due to their appealing sensory properties as well as the advantageous health effects of their active components [2]. The strawberry has not gained the degree of significance that was anticipated because of its high respiration rate, which makes it a particularly perishable fruit [3]. Unwanted strawberry physicochemical changes affect its market and lower its quality [4]. In order to ensure that the strawberries consumers buy have all of their desired attributes, it is essential to determine the strawberry's useful life before they are produced, stored, or transported [5, 6]. Since the valuable life of fruits depends on the notable temporal variations they undergo, mathematical models are employed to link changes in fruit quality. By closely analyzing the results and taking into consideration the numerous mechanisms of fruit quality changes, these models expand objective techniques to determine the useful life limitations of fruits [7].

Numerous studies have been done on the modelling of quality parameter changes in fresh fruit that has been preserved, including strawberries. The first of the two models developed by Van Dijk, et al. [8] describes the firmness and moisture loss reduction of tomatoes over storage time under constant conditions. It is based on the core ideas of chemical kinetics. The other model uses least squares regression analysis to link measurements of firmness to near-infrared spectral data. Benavides, et al. [9] were examined the impact of temperature and packaging on the strawberry using kinetic modelling of deterioration. One of the models used to evaluate the shelf life of fruit is the assessment of the quality kinetics [10]. Temperature changes cause respiration to increase exponentially and have a substantial effect on all physiological processes that are controlled by enzymes. This is why models of the Arrhenius type often adapt well to the behaviour of fruits kept at various temperatures [11]. Knowledge of the response order that affects fruit quality changes is the essential factor for packing decisions to limit changes that cause the product to deteriorate [4]. Given the facts above, it is clear that additional research is required before strawberries can be described physicochemically. Because they are essential to achieving great presentation and preservation and identifying the optimum post-harvest techniques for product management, these studies will serve as a foundation for managing fresh fruit. Furthermore, the best circumstances for transport, shelf life, and consumption time can be produced by comprehending how physicochemical attributes behave under various storage temperatures and employing different packaging materials [12]. The obtained results on colour characteristics (a* and hue), firmness, and weight loss were all explained using a fractional conversion model, according to Pinheiro, et al. [13]. The model for transpiration rate was created by Pereira, et al. [14] as well. The progress of water loss in table grapes is explained by the model using RH, temperature, and time. The current study's objective was to use kinetic modelling to explain how strawberry quality characteristics altered throughout their time in storage.

2. MATERIALS AND METHODS

2.1. Samples of fruit

The strawberry fruits were manually collected in February 2022 from a number of places in Egypt's El-Menofia governorate (about 30.3 ° N, 30.95 ° E) at a  2/3 stage of maturity. Then, fruits were brought to the Agricultural Engineering Research Institute's lab in Dokki, Egypt. Strawberries were sorted into two groups of 125 samples each after washed by water and dried. There were five subgroups created for each of these groups. Each of these five subgroups contained twenty-five samples. All of the quality measures were applied to each of these (25) samples. The samples from the two groups were stored at 4 and 10 °C (0.5 °C) and 90 1.0% RH in perforated polyethylene terephthalate crispers.

2.2. Weight Loss Percentage

According to Equation 1, strawberry fruits' weight loss percentage (WL) was determined [15]:

2.3. Colour, Total Soluble Solids and Titratable Acidity of Strawberry

The colour parameters of strawberries were measured using a colorimeter (Sheen MicromatchTM Plus - UK) as L* (Darkness/Lightness), a* (Reddish/Greenish), and b* (Yellowish/Blueness). For each fruit, measurements were taken at four different places, and the average of those values was used to determine the chroma Equation 2 [16].

Chroma(C*) = (a*2 + b*2) 1/2                                                                         (2)

Total soluble solids (TSS) were calculated as °Brix from the juices of each strawberry fruit using refractometer (AST Model 1230; Atago Co. Ltd., Tokyo, Japan). Total titratable acidity (TA) was assessed using AOAC official method 942.15. The quantity of TA per 100 g strawberry juice was determined by titrating a 5 g sample of strawberry juice extract with 0.1 N NaOH to a final pH of 8.1. Three different measurements were made.

2.4. Total Polyphenol Content (TPC) of Strawberry

The total polyphenol content (TPC) was calculated using the Folin-Ciocalteau (FC) technique [17]. Five grams of strawberry juice were extracted using 25 ml of methanol: water (80:20 v/v) for two hours on a shaker and then filtered. One ml of sodium carbonate and 100 µL of crude extract were combined with 0.2 ml of FC reagent. The Mixture was kept at room temperature in a box covered with a black cloth for one hour. Using a Ultraviolet-visible (UV/VIS) Spectrophotometer (SHIMADZU, Japan, Model UV-1800), absorbance was measured at 765 nm. The TPC values were expressed as the equivalent of gallic acid in (mg.kg-1 fresh matter).

2.5. The Kinetic Modelling

A mathematical equation is used to express the strawberry fruit quality loss as a function of storage time, including weight loss, colour changes, TSS, and TPC changes Equation 3:

Where Q is the quality factor measured at a given time (t), k is the temperature-dependent kinetic rate constant (T), n is the reaction order, and dQ/dt is the rate of change of Q over time (t).

According to Mai and Pathare [18], the time-dependent relationship for the loss of fruit quality may be explained by the zero-order model Equation 4 or first-order model Equation 5 kinetic models:

Where Q0 is the initial value of the quality parameter, Q is the value at time (t), and k is an apparent reaction constant (slope). In order to calculate the kinetics of strawberry quality characteristics, the model's goodness of fit was evaluated using the lowest root-mean-square error (RMSE) Equation 6, chi-square (X2) Equation 7, and standard error (SE), as well as the highest coefficient of determination (R2) [18].

Where N is the number of observations, n is the constant model numbers, and CCal and Cpre are the calculated and predicted value of quality property.

3. RESULTS AND DISCUSSIONS

3.1. Temperature and Relative Humidity

In contrast to storage at the control condition at 4°C with 90% RH, which is thought to be an effective condition to maintain strawberry for a long time, this study showed that significant changes occur in strawberry samples stored at 10°C with 90% RH, where color and internal quality parameters changed [9]. The study made a similar observation that low temperature storage is an efficient way to preserve the quality of fruits and vegetables since it can lower ethylene production, respiration rate, and transpiration.

3.2. Total Number of Fruits

The nonuniformity of the surface, undesired colour changes, and shrinkage were discovered to be the main reasons why 10% of strawberries maintained at room temperature were discarded, making them useless for further study. The amount of strawberries was the same in both stores throughout the testing, and there was no noticeable fruit deterioration.

3.3. Evaluation of Quality Changes

3.3.1. Strawberry Weight Loss (%)

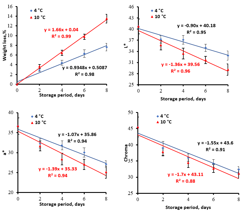
The effects of both storage conditions on strawberry fruit weight loss are depicted in Figure 1 . Weight loss in strawberries was significantly affected (p < 0.05) by temperature and storage days. During 8 days of storage, strawberries stored at 10°C lost 13.51% of their entire weight, whereas strawberries stored at 4°C lost just 7.64% of their weight Table 1. Significant weight loss in fresh strawberries stored at ambient temperatures is mostly caused by dehydration of the strawberry during storage, transpiration, and respiration rate [19]. The key component that can result in a quick transfer of moisture from a strawberry to the surrounding air is the difference in vapour pressure between the strawberry and its surroundings, which can also be increased by ambient temperature conditions [20]. Fresh fruit's water content decreases under low relative humidity during ambient storage conditions, which lowers weight [21]. Moreover, low temperature storage reduces the activity of the enzymes 1-aminocyclopropane-1-carboxylic (ACC) oxidase and ACC synthase, which are involved in the conversion processes of ACC to ethylene, which lowers ACC synthesis [22]. Models of zero-order and first order were used to describe the strawberry weight reduction (Table 2). It was found that a zero-order model (R2 = 0.998) could sufficiently represent the kinetic changes of strawberry weight loss stored at 10 °C, but the kinetic changes of weight loss stored at 4 °C fit well with a first order model (R2 = 0.9011).

3.3.2. Changes in Strawberry Colour

Temperature and storage time had a substantial impact on the strawberry's lightness (L*) value (p > 0.05). The L* value decreased throughout the period of storage days from 40.71 to 32.87 and 29.09 at 4°C and 10°C, respectively (Figure 1). After being stored at 10°C, the strawberry's L* value significantly dropped (Table 1). This might signify an increase in strawberry browning brought on by the production of carotenoids [13, 23]. But the L* value of strawberries stored at 4 °C for 8 days did not differ (Figure 1). The effects of storing strawberries at ambient temperature were supported by Nunes, et al. [24] results after they did so for two weeks at 4 and 10°C. Strawberry colour changes are widely observed using chroma and a* [12]. Storage period and temperature have a significant (p < 0.05) impact on the chroma colour of strawberries stored at 4°C and 10°C (Figure 1). During storage, there were significant increases in the chroma and a* values (p < 0.05). (Figure 1). Both attributes indicated the development of a strawberry's hue from green to red as it ripens. However, after storage at 4 and 10°C, the redness colour takes longer to appear.The considerable reduction in chroma, which is the cause of the strawberry's fast intensifying red hue, was largely observed in strawberries stored at 10°C, where it reached 31.06 after 8 days of storage after being 45.53 on day zero [16]. Nevertheless, storage at 4°C caused the chroma to drop from 45.53 on day 0 to 32.36 on day 8. After 12 days of preservation, Saad, et al. [16] showed a similar pattern of growth in this investigation for chroma and a* (Table 1). Strawberries at two distinct stages of maturity that were stored at 10 °C for 8 days had a similar effect of low temperature storage on colour change, according to Nunes, et al. [12]. However, according Jin, et al. [25], chroma reduction and colour changes in L* may both be indicators that a dark red colour has formed as a result of lycopene accumulation associated with the internal membrane system. According to their study, strawberries stored at 10°C developed the red colour more than strawberries stored at 4°C (Table 1).

Table 1. Statistical details of strawberry samples at every storage period and temperatures for weight loss, lightness, redness, chroma, TSS, TA and TPC.
Parameters
At 4 °C
At 10 °C
Period of storage, days
Period of storage, days
0
2
4
6
8
0
2
4
6
8
Weight loss, % Mean
0
2.89
4.40
6.31
7.64
0
3.63
6.44
9.78
13.51
Max.
0
3.81
5.25
7.54
8.63
0
4.39
7.66
10.81
14.93
Min.
0
2.19
3.57
5.28
6.36
0
3.08
5.46
8.88
11.01
SD
0
0.32
0.51
0.78
0.80
0
0.44
0.55
0.53
0.90
CV
0
11.10
11.60
12.39
10.45
0
12.12
8.51
5.38
6.66
Lightness, L* Mean
40.71
37.25
37.10
34.94
32.87
40.71
35.68
33.40
31.69
29.09
Max.
45.73
38.98
38.60
36.54
34.76
45.73
37.84
36.20
33.24
31.70
Min.
38.18
35.85
34.99
33.35
30.57
38.18
33.85
31.00
30.05
25.57
SD
2.01
1.00
1.21
1.01
1.23
2.01
1.26
1.48
0.99
1.54
CV
4.93
2.70
3.26
2.90
3.73
4.93
3.53
4.44
3.13
5.30
Redness (a*) Mean
36.66
38.91
35.98
34.24
32.36
45.53
37.77
34.47
32.71
31.06
Max.
41.73
43.91
38.25
36.00
33.90
48.62
39.84
37.30
34.99
33.40
Min.
34.11
35.79
33.89
32.05
30.37
37.37
35.65
32.29
30.31
27.87
SD
2.06
2.17
1.18
1.26
0.97
3.04
1.21
1.52
1.27
1.41
CV
5.62
5.58
3.29
3.67
3.01
6.68
3.20
4.41
3.89
4.53
Chroma C* Mean
45.53
38.91
35.98
34.24
32.36
45.53
37.77
34.47
32.71
31.06
Max.
48.62
43.91
38.25
36.00
33.90
48.62
39.84
37.30
34.99
33.40
Min.
37.37
35.79
33.89
32.05
30.37
37.37
35.65
32.29
30.31
27.87
SD
3.04
2.17
1.18
1.26
0.97
3.04
1.21
1.52
1.27
1.41
CV
6.68
5.58
3.29
3.67
3.01
6.68
3.20
4.41
3.89
4.53
TSS, Brix Mean
3.00
4.00
5.55
7.00
8.11
3.00
4.21
6.43
8.21
9.80
Max.
3.80
4.70
6.70
8.70
9.50
3.80
5.20
8.10
9.50
11.10
Min.
2.20
3.10
4.70
6.00
7.10
2.20
3.20
5.10
6.30
8.10
SD
0.45
0.50
0.56
0.78
0.82
0.45
0.58
0.86
0.87
0.70
CV
15.03
12.57
10.15
11.09
10.09
15.03
13.78
13.42
10.56
7.18
TA Mean
0.785
0.693
0.619
0.561
0.452
0.785
0.641
0.583
0.493
0.402
Max.
0.850
0.768
0.674
0.599
0.491
0.850
0.695
0.627
0.553
0.427
Min.
0.716
0.639
0.591
0.513
0.422
0.716
0.598
0.510
0.430
0.381
SD
0.037
0.042
0.026
0.026
0.022
0.037
0.023
0.033
0.033
0.014
CV
4.669
6.034
4.185
4.723
4.891
4.669
3.575
5.630
6.598
3.541
TPC Mean
998.59
1207.13
1387.62
1574.58
1420.12
998.59
1255.37
1375.82
1394.09
1330.21
Max.
1113.33
1306.39
1463.57
1655.96
1546.13
1113.33
1392.15
1474.91
1485.27
1513.38
Min.
826.95
1067.76
1297.52
1485.96
1331.25
826.95
1074.69
1300.74
1248.53
1219.56
SD
62.63
76.44
43.29
43.69
63.61
62.63
87.42
40.15
46.68
57.86
CV
6.27
6.33
3.12
2.77
4.48
6.27
6.96
2.92
3.35
4.35

Note:

*SD: Standard deviation, CV (%): The coefficient of variation.


Table 2. The statistical values of zero-order and first-order models of strawberry quality parameters at two different storage conditions.
Parameters
Storage temp.
Zero order model
First order model
k(Day-1)
R2
SE
X2
RMSE
k(Day-1)
R2
SE
X2
RMSE
Weight loss, %
4°C
0.93
0.983
0.274
0.145
0.124
0.24
0.901
0.073
0.349
0.204
10°C
1.66
0.998
0.475
0.962
0.234
0.31
0.917
0.092
1.125
0.236
Lightness (L*)
4°C
-0.90
0.946
0.294
0.167
0.435
-0.03
0.950
0.008
0.005
0.036
10°C
-1.36
0.956
0.422
0.763
0.742
-0.04
0.973
0.012
0.011
0.063
Redness (a*)
4°C
-1.07
0.933
0.341
1.031
0.286
-0.03
0.944
0.011
0.865
0.021
10°C
-1.39
0.937
0.435
2.671
0.354
-0.05
0.961
0.014
1.014
0.034
Chroma (C*)
4°C
-1.55
0.909
0.498
0.174
1.092
-0.04
0.936
0.013
0.049
0.022
10°C
-1.70
0.882
0.545
1.387
1.463
-0.05
0.916
0.014
0.021
0.055
TSS, Brix
4°C
0.66
0.995
0.199
0. 341
0.832
0.13
0.981
0.039
3.135
0.358
10°C
0.88
0.994
0.260
1.4 17
1.247
0.15
0.977
0.046
1.791
0.468
TA
4°C
-0.04
0.992
0.012
0. 232
1.575
-0.07
0.978
0.019
0.013
0.948
10°C
-0.05
0.983
0.013
0.060
2.095
-0.08
0.988
0.023
0.018
1.085
TPC
4°C
60.5
0.750
20.70
8. 575
4.217
0.05
0.760
0.017
3.825
1.747
10°C
40.1
0.618
15.69
12.26
7.634
0.03
0.615
0.013
5.024
1.951

Chroma modelling was accomplished statistician for kinetic modelling. Table 2 shown the kinetic parameters for the zero-order and first-order models. The results showed that colour parameters (L* and chroma) for storing strawberries can be characterized using both zero-order and first-order kinetic models. Strawberry colour changes suggested that a first-order model with high values of R2 and lower values of SE, X2, and RMSE could adequately describe L* value at both storage conditions (Table 2). While the L* value at 10°C was almost fitted with a first-order model (R2 = 0.97), the kinetics of chroma value at 4°C could be adequately characterized by a first-order model (R2 = 0.95) (Table 2). The kinetic rate constant (k) for L* increased from -0.04 at 10°C to -0.03 at 4°C based on the first-order kinetic model. Consequently, over the 8-day storage period, there will be an increase in the breakdown of chlorophyll and the synthesis of lycopene (red colour).

3.3.3. Total Soluble Solids (TSS) of Strawberries

The results demonstrate that there is a strong correlation between storage condition and time (p> 0.05) and that the TSS of fresh strawberries at both storage conditions ranged from 3.09 to 9.79 °Brix (Figure 2). Similar results of a significance were observed after 20 days of storage at 4°C, 18°C, and 30°C [9]. However, a significant rise in strawberry TSS in ambient storage conditions was observed as the strawberry ripening process progressed (Table 1). Furthermore, during the period of 8 days of storage, Nunes, et al. [12] were found a significant impact of storage conditions on the TSS content of strawberries.

Figure 1. Quality changes (weight loss, L*, a* and Chroma) of strawberry fruits during 8 days of storage at 4℃ and 10℃.

3.3.4. Titratable Acidity of Strawberries

The study found that over the storage period of 8 days, both storage methods had a statistically significant effect on the TA of fresh strawberries (p <0.05) (Table 1). The strawberry's TA slowly reduced from 0.785 to 0.452 throughout the duration of storage at 10°C, and from 0.785 to 0.402 at 4°C (Figure 2). According to Li, et al. [26], TA of strawberry was much higher at higher temperatures than it was at low temperatures after five days of storage. The fact that fruit kept its acidity, while being stored at high temperatures shows that the high temperature storage prevented ageing and the deterioration of postharvest quality. When strawberries are kept in storage, organic acids progressively lose their acidity because they give the fruit the energy it needs to complete ripening [9].

The zero-order kinetic model that defined the experimental results of  TA when strawberry stored at 4°C and 10°C was evaluated using R2= 0.9915 and 0.9825, respectively (Table 2). In storage at 10 °C and 4 °C, the TA of strawberry fruit had a low kinetic rate constant (k), with values ranging from -0.08 to -0.0399 day-1, respectively.

Figure 2. Quality changes (TSS and TA) values of strawberry fruits during 8 days of storage at 4 and 10 °C.

3.3.5. Total Phenolic Content (TPC) of Strawberry

The results demonstrated that kinetic models fall short in their capability to characterize the changes in TPC attribute during storage. When strawberries were stored, their TPC trended slightly growth six days before declining (Figure 3). The average TPC improved while stored at 4°C from 998.59 to 1420.12 mg.kg-1 fresh matter, and it increased once more at 10°C to 1330.21 mg.kg-1 fresh matter (Table 1). The causes of these results may be that strawberries picked at early stages of maturity, lack the ability to synthesize a significant amount of anthocyanins during storage at low temperatures, whereas completely red strawberry may exhibit either a reduced synthesis or enhanced degradation of anthocyanins [12]. Anthocyanin production is delayed at lower storage temperatures as seen by the rise in anthocyanin content of strawberries collected three-quarters red stage after 3 days at 6, 16 or 25 °C [27].

Storage temperature had little to no influence on the TPC value significantly (p > 0.05) (Figure 3). This prevented it from modeling the TPC in combination with storage at 4 and 10°C. The highest increases were measured when fruits were stored at 4°C (1574.58 mg.kg-1 fresh matter), but TPC levels can rise at any time throughout storage. In general, the onset of ripening was associated with an increase in TPC, particularly with rise in the activity of the phenolic compound-producing enzyme phenylalanine ammonia-lyase (PAL) [13].

Figure 3. TPC values of strawberry fruits during 8 days of storage at 4 °C and 10 °C.

4. CONCLUSIONS

Weight loss, colour, TA, TSS, and TPC of strawberries were affected by their two different storage temperatures (4°C and 10°C). After 8 days of storage, strawberries stored at 4°C exhibited delayed changes in terms of weight loss, TA, and colour that provide acceptable quality characteristics. Strawberries significantly change and degrade while stored at 10°C, making the fruit useless for further analysis. The strawberry properties changes during storage were well-fitted by a zero and first order kinetic model. In addition to fruit colour, which was well represented by a first order model, all strawberry characteristics under study stored at 4°C and 10°C could be characterized by a zero order model. Perhaps the changes in TPC during storage are not sufficiently represented by the kinetic models. In order to guarantee high-quality postharvest strawberries without any loss, it is necessary to carefully consider storage temperature.

Funding: This study received no specific financial support.  

Competing Interests: The authors declare that they have no competing interests.

Authors’ Contributions: All authors contributed equally to the conception and design of the study.

REFERENCES

[1]         C. S. Nugroho, M. Ainuri, and M. A. F. Falah, "Physical quality determination of fresh strawberry (Fragaria x ananassa var. Osogrande) fruit in tropical environment using image processing approach," presented at the In IOP Conference Series: Earth and Environmental Science, 2021.

[2]         N. Robledo, L. López, A. Bunger, C. Tapia, and L. Abugoch, "Effects of antimicrobial edible coating of thymol nanoemulsion/quinoa protein/chitosan on the safety, sensorial properties, and quality of refrigerated strawberries (Fragaria× ananassa) under commercial storage environment," Food and Bioprocess Technology, vol. 11, no. 8, pp. 1566-1574, 2018.  https://doi.org/10.1007/s11947-018-2124-3

[3]         S. Parvez and I. A. Wani, "Postharvest biology and technology of strawberry," Postharvest Biology and Technology of Temperate Fruits, pp. 331-348, 2018.  https://doi.org/10.1007/978-3-319-76843-4_14

[4]         C. Caner, M. S. Aday, and M. Demir, "Extending the quality of fresh strawberries by equilibrium modified atmosphere packaging," European Food Research and Technology, vol. 227, pp. 1575-1583, 2008.  https://doi.org/10.1007/s00217-008-0881-3

[5]         M. M. Azam, A. Saad, and B. M. Amer, "Assessment of the quality losses of cantaloupe fruit during transportation," Processes, vol. 10, no. 6, p. 1187, 2022.  https://doi.org/10.3390/pr10061187

[6]         R. Azodanlou, C. Darbellay, J.-L. Luisier, J.-C. Villettaz, and R. Amadò, "Quality assessment of strawberries (Fragaria species)," Journal of Agricultural and Food Chemistry, vol. 51, no. 3, pp. 715-721, 2003.  https://doi.org/10.1021/jf0200467

[7]         I. Taha, M. Shahat, M. Mohamed, and A. Osheba, "Improving the quality and shelf-life of strawberries as coated with nano-edible films during storage," Al-Azhar Journal of Agricultural Research, vol. 45, no. 2, pp. 1-14, 2020.  https://doi.org/10.21608/ajar.2020.149403

[8]         C. Van Dijk, C. Boeriu, F. Peter, T. Stolle-Smits, and L. Tijskens, "The firmness of stored tomatoes (cv. Tradiro). 1. Kinetic and near infrared models to describe firmness and moisture loss," Journal of Food Engineering, vol. 77, no. 3, pp. 575-584, 2006.  https://doi.org/10.1016/j.jfoodeng.2005.07.029

[9]         O. L. Benavides, K. L. Pinta, P. A. Chamorro, and A. F. Ceron, "Kinetic modeling of deterioration of strawberry (Fragaria x ananassa Duch cv. Albion) grown in cumbal (Colombia)," Advance Journal of Food Science and Technology, vol. 15, no. S, pp. 77-82, 2018.  https://doi.org/10.19026/ajfst.14.5875

[10]       A. Krzykowski, D. Dziki, S. Rudy, U. Gawlik-Dziki, E. Janiszewska-Turak, and B. Biernacka, "Wild strawberry Fragaria vesca L.: Kinetics of fruit drying and quality characteristics of the dried fruits," Processes, vol. 8, no. 10, p. 1265, 2020.

[11]       P. L. Ho, D. T. Tran, M. L. Hertog, and B. M. Nicolaï, "Modelling respiration rate of dragon fruit as a function of gas composition and temperature," Scientia Horticulturae, vol. 263, p. 109138, 2020.  https://doi.org/10.1016/j.scienta.2019.109138

[12]       M. C. N. Nunes, J. K. Brecht, A. M. Morais, and S. A. Sargent, "Physicochemical changes during strawberry development in the field compared with those that occur in harvested fruit during storage," Journal of the Science of Food and Agriculture, vol. 86, no. 2, pp. 180-190, 2006.  https://doi.org/10.1002/jsfa.2314

[13]       J. Pinheiro, C. Alegria, M. Abreu, E. M. Gonçalves, and C. L. Silva, "Kinetics of changes in the physical quality parameters of fresh tomato fruits (Solanum lycopersicum, cv.‘Zinac’) during storage," Journal of Food Engineering, vol. 114, no. 3, pp. 338-345, 2013.  https://doi.org/10.1016/j.jfoodeng.2012.08.024

[14]       E. Pereira, R. G. B. Silva, W. A. Spagnol, and V. Silveira Junior, "Water loss in table grapes: Model development and validation under dynamic storage conditions," Food Science and Technology, vol. 38, pp. 473-479, 2017.  https://doi.org/10.1590/1678-457x.08817

[15]       A. Saad, S. N. Jha, P. Jaiswal, N. Srivastava, and L. Helyes, "Non-destructive quality monitoring of stored tomatoes using VIS-NIR spectroscopy," Engineering in Agriculture, Environment and Food, vol. 9, no. 2, pp. 158-164, 2016.  https://doi.org/10.1016/j.eaef.2015.10.004

[16]       A. M. Saad, A. Ibrahim, and N. El-Bialee, "Internal quality assessment of tomato fruits using image color analysis," Agricultural Engineering International: CIGR Journal, vol. 18, no. 1, pp. 339-352, 2016.

[17]       A. Saad, M. M. Azam, and B. Amer, "Quality analysis prediction and discriminating strawberry maturity with a hand-held Vis–NIR spectrometer," Food Analytical Methods, vol. 15, no. 3, pp. 689-699, 2022.

[18]       A.-D. Mai and P. B. Pathare, "Kinetic modeling of quality changes of tomato during storage," Agricultural Engineering International: CIGR Journal, vol. 23, no. 1, pp. 183-193, 2021.

[19]       N. R. Giuggioli, V. Girgenti, C. Baudino, and C. Peano, "Influence of modified atmosphere packaging storage on postharvest quality and aroma compounds of strawberry fruits in a short distribution chain," Journal of Food Processing and Preservation, vol. 39, no. 6, pp. 3154-3164, 2015.  https://doi.org/10.1111/jfpp.12390

[20]       C. Matar, S. Gaucel, N. Gontard, S. Guilbert, and V. Guillard, "Predicting shelf life gain of fresh strawberries ‘Charlotte cv’in modified atmosphere packaging," Postharvest Biology and Technology, vol. 142, pp. 28-38, 2018.  https://doi.org/10.1016/j.postharvbio.2018.03.002

[21]       O. B. Ayomide, O. O. Ajayi, and A. A. Ajayi, "Advances in the development of a tomato postharvest storage system: Towards eradicating postharvest losses," In Journal of Physics: Conference Series, vol. 1378, no. 2, p. 022064, 2019.

[22]       D. A. Castellanos and A. O. Herrera, "Mathematical models for the representation of some physiological and quality changes during fruit storage," Journal of Post-Harvest Technology, vol. 3, no. 1, pp. 18-35, 2015.

[23]       A. G. Saad, P. Jaiswal, and S. N. Jha, "Non-destructive quality evaluation of intact tomato using VIS-NIR spectroscopy," International Journal of Advanced Research, vol. 2, no. 12, pp. 632-639, 2014.

[24]       M. Nunes, A. M. Morais, J. Brecht, and S. Sargent, "Fruit maturity and storage temperature influence response of strawberries to controlled atmospheres," Journal of the American Society for Horticultural Science, vol. 127, no. 5, pp. 836-842, 2002.  https://doi.org/10.21273/jashs.127.5.836

[25]       P. Jin, S. Y. Wang, C. Y. Wang, and Y. Zheng, "Effect of cultural system and storage temperature on antioxidant capacity and phenolic compounds in strawberries," Food Chemistry, vol. 124, no. 1, pp. 262-270, 2011.  https://doi.org/10.1016/j.foodchem.2010.06.029

[26]       L. Li et al., "Label-free quantitative proteomics to investigate strawberry fruit proteome changes under controlled atmosphere and low temperature storage," Journal of Proteomics, vol. 120, pp. 44-57, 2015.  https://doi.org/10.1016/j.jprot.2015.02.016

[27]       B. R. Cordenunsi, M. I. Genovese, J. R. O. do Nascimento, N. M. A. Hassimotto, R. J. dos Santos, and F. M. Lajolo, "Effects of temperature on the chemical composition and antioxidant activity of three strawberry cultivars," Food Chemistry, vol. 91, no. 1, pp. 113-121, 2005.  https://doi.org/10.1016/j.foodchem.2004.05.054

Views and opinions expressed in this article are the views and opinions of the author(s), Current Research in Agricultural Sciences shall not be responsible or answerable for any loss, damage or liability etc. caused in relation to/arising out of the use of the content.