Index

Abstract

This study estimated the relationship between governance indicators and the inward flow of foreign direct investment (FDI) in China. We examined the relationship for the period between 2002 and 2019 using various estimation regression techniques, including fixed effect model and the generalized method of moments (GMM). The study confirms a significant relationship between the flow of foreign direct investment and good governance. More specifically, this study reports a positively significant relationship between control of corruption, rule of law, and regulatory quality with the flow of foreign investment in China. However, government effectiveness, political stability, and voice & accountability reported no significant relationship, which makes sense in China’s case. China, which has a one-party government, does not need to focus on these variables. The paper holds policy implications for other countries, especially those located in Asia, to adhere to the governance indicators to attract higher foreign direct investments, as these countries possess both cheap and abundant labor.

Keywords: China, Corruption, Governance, Accountability, Political stability, Foreign direct investment.

Received: 16 March 2021 / Revised: 21 April 2021 / Accepted:12 May 2021/ Published: 10 June 2021

Contribution/ Originality

This study investigated the impact of governance on inward FDI in the case of China, which is the second leading recipient of FDI after the US. The study examined the relationship between governance and inward FDI in China by using the most recent data from 2002 to 2019.


1. INTRODUCTION

Foreign direct investment is considered as the most efficient and effective tool for gauging the economic growth of any country and is a byproduct of globalization and internationalization. This is why it has consistently received great academic attention in literature despite the existence of multiple studies conducted on this topic (Amendolagine, Presbitero, Rabellotti, & Sanfilippo, 2019). The theoretical and empirical literature has focused on the relationship between foreign direct investment and institutional variables at a macroeconomic level. The key studies include examination of the relationship between foreign direct investment and economic growth; interdependence between financial markets; stock market effects; technology; intellectual property rights; and resident patents, which have gained considerable attention over the last few decades (Anwar & Nguyen, 2010; Kayani & Kayani, 2017; Soumaré & Tchana, 2015). Foreign direct investment is considered as one of key factors that enhances the economic growth of a country (Alvarado, Iñiguez, & Ponce, 2017). Physical capital and human capital, including domestic capital, help to increase the economic growth of any respective country. Similarly, studies have confirmed that foreign direct investment brings various benefits, such as technology transfer, which helps to increase the productivity efficiency and minimize the gap between local and international technology developments (Anwar & Nguyen, 2010). It is also a greatly advantageous source of technology transfer from developed to developing countries (Borensztein, De Gregorio, & Lee, 1998).

The world dynamics are changing at very a rapid pace, such as country-specific political risk, transactional costs of investments, operational transparency and accountability, trust and confidence levels, and control of corruption (Collie, 2011; Mukherjee & Sinha, 2016), and the flow of investment into any country can be hindered because of these reasons. These factors indicate a country’s willingness to adhere to the governance indicators, which results in the attraction of more FDI inflows (Acemoglu & Johnson, 2005; Albuquerque, 2003; Li & Filer, 2007; Mengistu & Adhikary, 2011; Mody & Srinivasan, 1998; Stevens, 2000; Talbott & Roll, 2001).

FDI and governance has attracted academic attention over last couple of decades as it plays vital role in the global economy (Fertő & Sass, 2020; Mengistu & Adhikary, 2011). Investors’ confidence increases due to the existence of a governance mechanism in any country and helps to significantly increase their investments (Globerman & Shapiro, 2003; Globerman, Shapiro, & Tang, 2006; Kaufmann, Kraay, & Mastruzzi, 2010; Raza, Shah, & Arif, 2019). The governance indicators are measured based on six indicators which include control of corruption, government effectiveness, political stability and absence of violence/terrorism, rule of law, regulatory quality, and voice & accountability (Kaufmann et al., 2010; Kaufmann, Kraay, & Zoido, 1999; Kaufmann, Kraay, & Mastruzzi, 2009). Currently more than 200 countries are being governed based on these governance indicators. Existing literature has reported a significant relationship between individual governance indicators and inward flow of foreign direct investment, such as government effectiveness (Fischer, Alonso-Gamo, & Von Allmen, 2001), control of corruption (Bardhan, 1997; Hasan, Rahman, & Iqbal, 2017), voice accountability (Stasavage, 2002), regulatory quality (Rugman & Verbeke, 2000; Henisz, 2000). Investors are always reluctant to invest in countries which lack control of corruption, have poorly implemented rules and laws, have a red tape environment in administrative matters, and have poor regulatory quality mechanisms (Mengistu & Adhikary, 2011). Thus, based on the existing literature it is evident that good governance is one of the key factors in attracting higher inward foreign direct investment, but the question in context of China is that if governance really matters, why does China attract higher FDI despite having various governance challenges, such as a poor legal system and issues of transparency and accountability etc. (Mengistu & Adhikary, 2011). Another reason for studying the relationship between foreign direct investment and governance in China is that China is considered as a giant when it comes to the flows of foreign direct investment. It was evident during the Covid-19 pandemic that the foreign direct investment in China has not been as affected as it has been in other parts of the world (Aysan, Kayani, & Kayani, 2020).

Therefore, this study attempts to examine the empirical relationship between inward foreign direct investment and governance indicators in China between 2002 and 2019. In addition to the aforementioned six governance indicators, a set of control variables have also been considered in this study, including human capital, domestic capital, GDP, and labor force. This study offers significant contributions to existing literature, as it comprises the most recent data. Additionally, various regression techniques, including the generalized method of moments, have been used to obtain robust results for our main baseline regression results. The rest of the paper is structured as follows: section two discusses the literature review; section three discusses the theoretical foundation of the paper; section four discusses the variables and data sources; section five discusses the methodology and results; and finally, section six discusses the conclusion.

2. LITERATURE REVIEW

China opened its borders to foreign firms in 1979 with the creation of Special Economic Zones in the Guangdong and Fujian provinces. The objective was to obtain high-tech technology from advanced countries to advance domestic industries. Firms from all over the world invested heavily in China for two main reasons – the availability of limitless cheap labor and access to the extensive Chinese domestic market. In 1978, the Chinese government decided to move away from Soviet-style economic policies and to gradually reform the economy towards free market principles. As the architect of Chinese economic reforms, Deng Xiaoping, said, “It doesn’t matter if the cat is black or white as long as it catches mice.” But before that, the communist party took control of mainland China in 1949. The national trade policy was centrally planned and controlled based on self-reliance. The central government was carrying all kinds of production and there was no concept of private production. This system resulted in lack of economic development, low production efficiency, government corruption, and very poor living conditions.

Initially, foreign direct investment occurred in China through joint ventures, but in 2001 these restrictions were removed because of WTO commitments. The solely foreign-owned enterprises replaced the joint ventures as the most popular version of foreign direct investment in China. In recent years, foreign direct investment policy has focused on encouraging technologically intensive investment, as authorities have begun treating FDI as a means of acquiring foreign technology versus importing complete sets of advanced equipment (UNCTAD, 2020). The main objective of China is to attain foreign technology through FDI. One of the primary motivations for developing countries to attract foreign direct investment is to obtain advanced technology from developed countries and then use this to establish domestic innovation capabilities. Under its ‘‘market for technology’’ policy, China has been the largest recipient of foreign direct investment among developing countries in the 1990s (Cheung & Ping, 2004).

Building human resources is essential and pivotal to absorb foreign direct investment for any country. While FDI is often superior in terms of capital and technology, spillovers into local economic development are not automatic. Appropriate policies that benefit from FDI include increasing local human resources and technological capabilities to raise the absorptive capacity to capture productivity spillovers from transnational corporations (Te Velde & United Nations Conference on Trade and Development, 2006). A sufficient local learning capability appears to be a prerequisite for assimilating more advanced technologies introduced by multinational enterprises (MNEs) in the host economy. One central finding has been that effective contribution of foreign direct investment to domestic growth and technological upgrading depends crucially on the economic and institutional context in the host country.

After opening, and with the introduction of economic reforms in 1978, corruption in China has increased. The Chinese Government has admitted that corruption “is now worse than during any other period since “New China” was founded in 1949. It has spread into the Party, into Government administration and into every part of society, including politics, economy, ideology, and culture” (Liang, 1994). Corruption is a curse as it reduces economic efficiency and leads to the inability of the country to attract more beneficial foreign investment. Corrupt officials would allow firms offering them the largest bribes to invest. These officials may also distort investment projects to those offering better opportunities for corruption. In other words, corrupt bureaucracy will not award services to the most efficient producers, but instead to the producer who offers the largest bribes (Shleifer & Vishny, 1993).

China's recent rapid growth has been matched by large increases in exports and foreign direct investment, but considerable regional disparities in FDI flows exist. A study on a provincial level on foreign direct investment and corruption was conducted in China, and the authors found that there is positive relationship between foreign direct investment and the efforts to reduce corruption. Provinces with good governance and zero tolerance of corruption attracted more FDI (Cole, Elliott, & Zhang, 2009). Another study investigated the effects of corruption on foreign direct investment inflow using data from 1995 to 2009 in the case of 16 Asian economies, including China. The study found that a 1% increase in corruption level reduced foreign direct investment inflows by 9.1 percentage points (Alemu, 2012).

3. THEORETICAL FOUNDATION

Internalization and globalization emerged soon after the second world war. Investors found opportunities to invest in other parts of the world. As a result, foreign direct investment took a large jump. American companies and investors started moving towards Europe to avail of the benefits of foreign direct investment (Nayak & Choudhury, 2014). This movement of international capital from one country to another fostered theories for foreign direct investment. At the beginning, the foreign direct investment concept was linked to the capital market and portfolio investments theories as it was considered as part of an investment and, more specifically, the portfolio investment (Kindleberger, 1969). According to this approach, investors will invest their money where they find high returns while ignoring the risks and uncertainties. However, in the 1960s, the concept of foreign direct investment attracted a great deal of academic attention and hence became clearer to the world. As a result, various theories emerged to explain the notion of foreign direct investment, which attempts to link FDI flows with market imperfections, oligopolistic and monopolistic advantages, and international trade.
The last two decades have seen a rapid growth in terms of foreign investment through multinational corporations. This led FDI towards higher ranks with more importance than international trade (Graham, 1996; Helpman, 1984). Various researchers have attempted to link the foreign direct investment theory with the international trade theory. It is pertinent to mention the comparative advantage theory by David Ricardo; according to his theory of comparative advantage, countries that have advantages in production labor, production cost and production technology will be the largest receivers of foreign direct investment (Ricardo, 1817).

The study is based on support from various theories, such as the comparative advantage theory by Ricardo (1817), and international capital inflows, which link to the theories of cost benefits, and financial rate of return. However, more specifically, the theory of portfolio management is applicable to this study as it explains the reasons for the flow of foreign direct investment into any country (Tobin, 1958; Markowitz, 1959).

4. VARIABLES AND DATA SOURCE

The data for the dependent variable (inward foreign direct investment) was taken from the UNCTAD website and the data for the independent and control variables was extracted from the World Bank’s development indicators. The six governance indicators were used as an independent variable proxy to measure governance (Kaufmann et al., 1999; Mengistu & Adhikary, 2011). The control variables include human capital, domestic capital, log of GDP, and labor force and are in accordance with prior studies, such as Mengistu & Adhikary (2011); Goetz & Hu (1996). The sample for this study is the Chinese market, and the reason for selecting China is because it is the second leading recipient of foreign direct investment inflows after the USA (UNCTAD, 2020).

5. METHODOLOGY AND RESULTS

To examine the relationship between inward foreign direct investment and governance indicators (including control variables), the baseline model shown below in Equation 1 was used. Equation 1 was then expanded to create Equation 2, which was used as the governance index based on six different components of governance. Furthermore, to address endogeneity, a lag value was taken for one year in Equation 2.

LnFDI is a dependent variable and shows the flow of foreign direct investment into China, with α as fixed effect; GI as the six governance indicators (control of corruption, government effectiveness, political stability and absence of violence/terrorism, rule of law, regulatory quality, and voice & accountability). CONTROL is a set of control variables including macroeconomic variables such as GDP, human capital, domestic capital, and labor force. These control variables are also in line with previous studies. Table 1 outlines the definitions of the variables and the descriptive statistics of the variables.

5.1. Descriptive Statistics

The descriptive statistics of the dependent, independent, and control variables is given in Table 1 in Panel B. Based on mean, median and standard deviations it is evident that the frequency distribution of the variables is positively skewed. The detailed descriptive statistics are shown in Table 1.

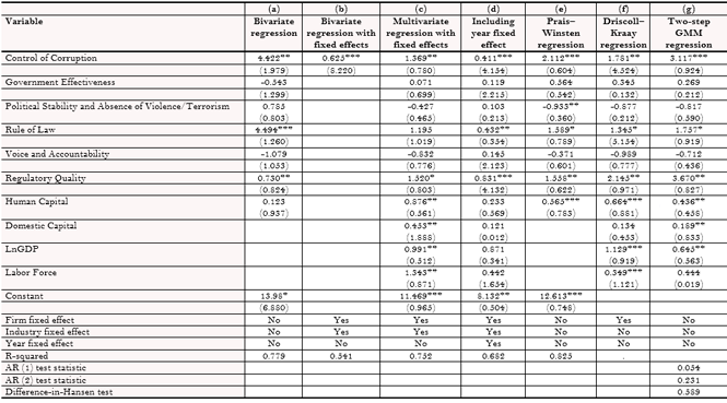
While examining the relationship between governance and inward flow of foreign direct investment, as reflected in Equations 1 and 2, various regression techniques were applied, such as bivariate regression, multivariate regression, Prais–Winsten regression based on the serial correlation assumption, Driscoll–Kraay regression to address a possible cross-sectional dependence issue, and finally, the two-step generalized method of moments (SGMM) to control a possible endogeneity issue. The results, as presented in Table 2, report tangible, significant and consistent relationships between control of corruption, rule of law and regulatory quality with inward flow of foreign direct investment for all measurement techniques. More specifically, a positive significant relationship is reported for these three variables. This indicates that to attract more foreign direct investment, China needs to focus on improving governance matters to retain the position of the world’s top recipient of FDI, as it has been shown that effective control of corruption will boost the trust of investors and countries which will lead to further investment. This indicates that the implementation of the rules, regulations and laws are also important factors in attracting higher foreign direct investment. Similarly, the regulatory quality also has a significant positive relationship with FDI, which implies that sound policies should be formulated and implemented, and regulations should be in place to permit and promote private sector development.

Government effectiveness, political stability and absence of violence/terrorism, and voice and accountability have no significant relationship with the inflow of foreign direct investment. These main variables of governance, the control variables of this study (human capital, economic growth, domestic capital, and labour force) reported positive and significant relationships with foreign direct investment. The control variables’ results are not surprising and are in line with prior literature, and human capital reflects that the trained manpower in China plays a positive role in attracting FDI into China. Similarly, the higher the economic growth, the higher the inflow of FDI is into China. The labor force shows that there is a large portion of the population willing to contribute by providing their services, which reflects that China’s population is one of the key factors for attracting higher inflows of foreign direct investment, as any company looking to invest in China will want to capture the largest customer population in return.

To ensure the robustness of our main regression results, we ran various regression techniques, including the generalized method of moments. The results shown in Table 2 confirm that the significant relationships for the above three variables remain positively significant and consistent for all the different measures from column “a” to column “g”. This endorses the robustness of our baseline results.

Table 1. Variable descriptions and descriptive statistics.

Variable Abbr. Description Mean Median Standard Deviation
Foreign Direct Investment FDI An investment involving a long-term relationship and reflecting a lasting interest and control by a resident entity in one economy (foreign direct investor or parent enterprise) in an enterprise resident in an economy other than that of the foreign direct investor. 10.520 10.805 0.7973
Control of Corruption CC Control of corruption captures perceptions of the extent to which public power is exercised for private gain, including both petty and grand forms of corruption, as well as "capture" of the state by elites and private interests. 2.172 2.200 0.066
Government Effectiveness GE Government effectiveness captures perceptions of the quality of public services, the quality of the civil service and the degree of its independence from political pressures, the quality of policy formulation and implementation, and the credibility of the government's commitment to such policies. 2.166 2.212 0.141
Political Stability and Absence of Violence/Terrorism: Estimate PS&AV Political stability and absence of violence/terrorism measures perceptions of the likelihood of political instability and/or politically motivated violence, including terrorism. 1.294 1.319 0.169
Rule of Law RL Rule of law captures perceptions of the extent to which agents have confidence in and abide by the rules of society, and in particular the quality of contract enforcement, property rights, the police, and the courts, as well as the likelihood of crime and violence. 1.688 1.723 .0118
Voice and Accountability VA Voice and accountability captures perceptions of the extent to which a country's citizens can participate in selecting their government, as well as freedom of expression, freedom of association, and a free media. -.122 -.151 .0162
Regulatory Quality RQ Regulatory quality captures perceptions of the ability of the government to formulate and implement sound policies and regulations that permit and promote private sector development. 1.948 1.904 0.183

Source: The definitions for governance indicators and control variables are based on the world governance indicators of the World Bank development indicators. However, the world governance indicators were produced by Kaufmann et al. (1999); Kaufmann et al. (2009); Kaufmann et al. (2010).

Table 2. China’s baseline regression results: inward FDI and governance nexus.

Notes: The dependent variable is the log of inward flow of foreign direct investment; data is from UNCTAD and World Bank development indicators; AR (1) shows the values for the first order test for autocorrelation; AR (2) is the test for second-order autocorrelation; difference-in-Hansen tests is for exogeneity; standard errors are in parentheses; *** p < 0.01, ** p < 0.05, * p < 0.1.

6. CONCLUSION

This study examined the relationship between six governance indicators and the inward flow of foreign direct investment in case of China from 2002 to 2019. The results were confirmed to be robust after applying various regression techniques, including the generalized method of moments to address endogeneity. The results suggest that control of corruption, rule of law, and regulatory quality have direct and significant relationships with the economic growth in China as these governance variables have positive relationships with the inward flow of foreign direct investment. Increasing inward flows of foreign direct investment leads to higher levels of economic growth, which is evident from China’s consistent economic growth over recent decades. In addition, the control variables’ relationships with foreign direct investment are also in accordance with prior studies and confirms their significance. This paper holds policy implications for other countries, especially those in Asia, to adhere to the governance indicators to attract higher foreign direct investment, as these countries have an abundance of cheap labor.

Funding: This study received no specific financial support.   

Competing Interests: The authors declare that they have no competing interests.

Acknowledgement: Both authors would like to thank Dr. Farrukh Nawaz Kayani (corresponding author) who worked on this project under the kind and dynamic supervision of Prof. Mehmed Ganic (Vice Rector International University of Sarajevo, Bosnia & Herzegovina).

REFERENCES

Acemoglu, D., & Johnson, S. (2005). Unbundling institutions. Journal of Political Economy, 113(5), 949-995.

Albuquerque, R. (2003). The composition of international capital flows: Risk sharing through foreign direct investment. Journal of International Economics, 61(2), 353-383. Available at: https://doi.org/10.1016/s0022-1996(03)00013-8.

Alemu, A. M. (2012). Effects of corruption on FDI inflow in Asian economies. Seoul Journal of Economics, 25(4), 387-412.

Alvarado, R., Iñiguez, M., & Ponce, P. (2017). Foreign direct investment and economic growth in Latin America. Economic Analysis and Policy, 56(1), 176-187.

Amendolagine, V., Presbitero, A. F., Rabellotti, R., & Sanfilippo, M. (2019). Local sourcing in developing countries: The role of foreign direct investments and global value chains. World Development, 113, 73-88. Available at: https://doi.org/10.1016/j.worlddev.2018.08.010.

Anwar, S., & Nguyen, L. P. (2010). Foreign direct investment and economic growth in Vietnam. Asia Pacific Business Review, 16(1-2), 183-202.

Aysan, A., Kayani, F., & Kayani, U. N. (2020). The Chinese inward FDI and economic prospects amid COVID-19 crisis. Pakistan Journal of Commerce and Social Sciences, 14(4), 1088-1105.

Bardhan, P. (1997). Corruption and development: A review of issues. Journal of Economic Literature, 35(3), 1320-1346.

Borensztein, E., De Gregorio, J., & Lee, J.-W. (1998). How does foreign direct investment affect economic growth? Journal of International Economics, 45(1), 115-135. Available at: https://doi.org/10.1016/s0022-1996(97)00033-0.

Cheung, K.-y., & Ping, L. (2004). Spillover effects of FDI on innovation in China: Evidence from the provincial data. China Economic Review, 15(1), 25-44. Available at: https://doi.org/10.1016/s1043-951x(03)00027-0.

Cole, M. A., Elliott, R. J., & Zhang, J. (2009). Corruption, governance and FDI location in China: A province-level analysis. The Journal of Development Studies, 45(9), 1494-1512. Available at: https://doi.org/10.1080/00220380902890276.

Collie, D. R. (2011). Multilateral trade liberalisation, foreign direct investment and the volume of world trade. Economics Letters, 113(1), 47-49. Available at: https://doi.org/10.1016/j.econlet.2011.05.032.

Fertő, I., & Sass, M. (2020). FDI according to ultimate versus immediate investor countries: Which dataset performs better? Applied Economics Letters, 27(13), 1067-1070. Available at: https://doi.org/10.1080/13504851.2019.1659925.

Fischer, S., Alonso-Gamo, P., & Von Allmen, U. E. (2001). Economic developments in the West Bank and Gaza since Oslo. The Economic Journal, 111(472), 254-275. Available at: https://doi.org/10.1111/1468-0297.00629.

Globerman, S., & Shapiro, D. (2003). Governance infrastructure and US foreign direct investment. Journal of International Business Studies, 34(1), 19-39. Available at: https://doi.org/10.1057/palgrave.jibs.8400001.

Globerman, S., Shapiro, D., & Tang, Y. (2006). Foreign direct investment in emerging and transition European countries. International Finance Review, 6(6), 431-459.

Goetz, S. J., & Hu, D. (1996). Economic growth and human capital accumulation: Simultaneity and expanded convergence tests. Economics Letters, 51(3), 355-362. Available at: https://doi.org/10.1016/0165-1765(96)00827-0.

Graham, E. (1996). Global corporations and national governments: Institute for International Economics: Columbia University Press.

Hasan, M., Rahman, M. N., & Iqbal, B. A. (2017). Corruption and FDI inflows: Evidence from India and China. Mediterranean Journal of Social Sciences, 8(4-1), 173-182. Available at: https://doi.org/10.2478/mjss-2018-0088.

Helpman, E. (1984). A simple theory of international trade with multinational corporations. Journal of Political Economy, 92(3), 451-471. Available at: https://doi.org/10.1086/261236.

Henisz, W. J. (2000). The institutional environment for multinational investment. The Journal of Law, Economics, and Organization, 16(2), 334-364. Available at: https://doi.org/10.1093/jleo/16.2.334.

Kaufmann, D., Kraay, A., & Mastruzzi, M. (2010). The worldwide governance indicators: A summary of methodology, data and analytical issues. World Bank Policy Research Working Paper No. 5430. World Bank: Washington, DC.

Kaufmann, D., Kraay, A., & Zoido, P. (1999). Governance matters. World Bank Policy Research Working Paper, No. (2196).

Kaufmann, D., Kraay, A., & Mastruzzi, M. (2009). Governance matters VIII: Aggregate and individual governance indicators 1996-2008. World Bank Policy Research Working Paper, No. 4978.

Kayani, F. N., & Kayani, U. N. (2017). Inward foreign direct investment, resident patents, and economic growth: Cointegration, error correction model, and causality analyses for China. Journal of Economic & Management Perspectives, 11(4), 381-389.

Kindleberger, C. (1969). American business abroad. New Haven: Yale University Press.

Li, S., & Filer, L. (2007). The effects of the governance environment on the choice of investment mode and the strategic implications. Journal of World Business, 42(1), 80-98. Available at: https://doi.org/10.1016/j.jwb.2006.11.006.

Liang, G. (1994). The practical encyclopedia of anti-corruption in China and foreign countries. Beijing: Xinhua Press.

Markowitz, H. (1959). Portfolio selection: Efficient diversification of investments. New York: John Wiley & Sons.

Mengistu, A. A., & Adhikary, B. K. (2011). Does good governance matter for FDI inflows? Evidence from Asian economies. Asia Pacific Business Review, 17(3), 281-299. Available at: https://doi.org/10.1080/13602381003755765.

Mody, A., & Srinivasan, K. (1998). Japanese and United States firms as foreign investors: Do they march to the same tune? Canadian Journal of Economics, 31(4), 778-799. Available at: https://doi.org/10.2307/136491.

Mukherjee, A., & Sinha, U. B. (2016). Competition, foreign direct investment and welfare. Economics Letters, 139, 43-45. Available at: https://doi.org/10.1016/j.econlet.2015.12.013.

Nayak, D., & Choudhury, R. N. (2014). Selective review of foreign direct investment theories. ARTNeT Working Paper Series; No. 143.

Raza, S. A., Shah, N., & Arif, I. (2019). Relationship between FDI and economic growth in the presence of good governance system: Evidence from OECD Countries. Global Business Review, 0972150919833484. Available at: https://doi.org/10.1177/0972150919833484.

Ricardo, D. (1817). On the principles of political economy and taxation. 1821. Library of Economics and Liberty. Consultado el, 31.

Rugman, A. M., & Verbeke, A. (2000). Multinational enterprises and public policy. International Business, 21-43. Available at: https://doi.org/10.1057/9780230596740_2.

Shleifer, A., & Vishny, R. W. (1993). Corruption. The Quarterly Journal of Economics, 108(3), 599-617.

Soumaré, I., & Tchana, T. F. (2015). Causality between FDI and financial market development: Evidence from emerging markets. The World Bank Economic Review, 29(suppl_1), S205-S216. Available at: https://doi.org/10.1093/wber/lhv015.

Stasavage, D. (2002). Private investment and political institutions. Economics & Politics, 14(1), 41-63. Available at: https://doi.org/10.1111/1468-0343.00099.

Stevens, G. V. (2000). Politics, economics, and investment: Explaining plant and equipment spending by US direct investors in Argentina, Brazil, and Mexico. Journal of International Money and Finance, 19(2), 153-183.

Talbott, J., & Roll, R. (2001). Why many developing countries just aren’t? The Anderson School at UCLA, Finance Working Paper, No. (19-01).

Te Velde, D. W., & United Nations Conference on Trade and Development. (2006). Foreign direct investment and development: An historical perspective. London: Overseas Development Institute ODI.

Tobin, J. (1958). Liquidity preference as behavior towards risk. The Review of Economic Studies, 25(2), 65-86. Available at: https://doi.org/10.2307/2296205.

UNCTAD. (2020). Global investment flows flat in 2019, moderate increase expected in 2020. Reterieved from: https://unctad.org/system/files/official-document/diaeiainf2020d1_en.pdf. [Accessed 18-05-2021].

Views and opinions expressed in this article are the views and opinions of the author(s), Humanities and Social Sciences Letters shall not be responsible or answerable for any loss, damage or liability etc. caused in relation to/arising out of the use of the content.