Index

Abstract

Parallel manipulators are characterized as having closed-loop kinematic chains. Parallel robots have received increasing attention due to their inherent advantages over conventional serial mechanism, such as high rigidity, high load capacity, high velocity, and high precision. A definite advantage of parallel robots is the fact that, in most cases, actuators can be placed on the truss, thus achieving a limited weight for the moving parts, which makes it possible for parallel robots to move at a high speed. These advantages avoid the drawbacks on serial ones and make the mobile platforms of the parallel manipulators carry out higher performances. Therefore, parallel manipulators have been applied to the industrial manufacturing, flight simulation, medical resuscitation, and so on. The basis for model-based control of parallel manipulators is an efficient formulation of the motion equations. In this paper a formulation of the motion equations in redundant coordinates is presented for parallel manipulators. The fully coupled non-linear equations of motion of 3-RUS spatial parallel manipulator having 3 DOF with Revolute-Universal-Spherical joints are obtained by using the Lagrange equations with multipliers for constrained multibody systems.

Keywords: Dynamics, Modelling, 3-RUS robot, Lagrange equations, Redundant coordinates.

Received: 9 January 2020 / Revised: 12 February 2020 / Accepted: 16 March 2020/ Published: 7 April 2020

Contribution/ Originality

This paper presented the modelling of motion for 3-RUS spatial parallel manipulator by using the redundant generalized coordinates and the Lagrangian multipliers. A novel formulation of Coriolis/centrifugal matrix is constructed directly in matrix based manner by using Kronecker product. The skew symmetry property of dynamic model of robot manipulators is guaranteed by the proposed Coriolis/centrifugal matrix. Then, the equations of motion in DAEs form were transformed to ordinary differential equations.


1. INTRODUCTION

Parallel manipulators generally comprise two platforms which are connected by joints or legs acting in parallel. Over the past decades, parallel manipulators have received more and more attention from researches and industries [1, 2]. A spatial 3-DOF parallel manipulator, which can be used in several applications, including machine tools is proposed in this paper Figure 1.

In most applications, the robot must move rapidly from one position to another position or follow a desired trajectory in three dimensional spaces with high precision. In order to perform this task, recently, several control methods have been investigated such as computed torque with PD, PID controller [3-9]. The computed torque controller is easy to implement, but it cannot meet the control quality due to uncertainties in the system model and disturbances.

In this paper, mechanical models of 3-RUS spatial parallel robot are presented. The equations of motion for these cases are established by applying the Lagrangian equation with multipliers. The reaction force elimination method is used to determine the driving moments depending the given motion of the mobile platform.

The numerical simulations in Matlab are implemented to show the response of the robot.

2. KINEMATIC AND DYNAMIC MODELS OF A 3-RUS ROBOT

2.1. Kinematics and Dynamics of a 3-RUS Robot with Model of Rigid Links

The best model for 3-RUS robot is a system of rigid bodies connected by joints. The parallelogram mechanisms that connect the driving links to the mobile platform are modeled as homogeneous rods with universal and spherical joints at two ends. By using this model, the robot is seen as a multibody system with seven bodies: three legs each leg having two links and the mobile platform. The calculating models are shown in Figure 2.

Figure-1. 3-RUS robot with three parallelogram mechanisms.

Figure-2. Calculating models of 3-RUS robot.

Putting qi, i = 1,2,3 be the driving angles of the actuated links; yi, gi , i = 1,2,3 be the passive angles that determine the position of the connecting rods; and x = [xp,yp,zp]T be the position of the center of mass of the mobile platform. Hence, the position of robot is determined by the generalized coordinates:

The position vectors of the points Ai, Bi, Ci, and Ei in the fixed frame, rotation matrices of driving and connecting links, and the mobile platform are given as follows:

Where the rotation matrices are given as

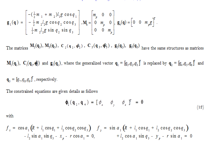
The kinetic and potential energy of the robot are given as

The Substituting and into Equation 10 and under consideration of constraint Equation 6, the equations of motion are obtained. These consist of twelve differential equations and nine algebraic equations (DAEs). These equations are written in details as follows

3. DRIVEN TORQUES OF 3-RUS PARALLEL ROBOT MANIPULATOR

In this section, some simulations in universal software Matlab are implemented. For simulation, the numerical methods are applied to obtain the actuated coordinates. The model of the 3-RUS robot is given in Figure 2 and the robot parameters as following

.

Figure-3. Computed torques.

The driving torques for low and fast motion corresponding is shown in Figure 3. The differences between max and min values of torques, dM = max(t) – min(t).

4. CONCLUSION

This paper presented the modelling of motion for 3-RUS spatial parallel manipulator by using the redundant generalized coordinates and the Lagrangian multipliers. Then, the equations of motion in DAEs form were transformed to ordinary differential form for the controller design.

Funding: This research was supported by Research Foundation funded by Thai Nguyen University of Technology.

Competing Interests: The authors declare that they have no competing interests.

Acknowledgement: All authors contributed equally to the conception and design of the study.

REFERENCES

[1]          L.-W. Tsai, Robot analysis / the mechanics of serial and parallel manipulators. New York: John Wiley & Sons, 1999.

[2]          J. P. Merlet, Parallel robots, 2nd ed. Berlin: Springer, 2006.

[3]          A. Mueller and T. Hufnagel, "Model-based control of redundantly actuated parallel manipulators in redundant coordinates," Robotics and Autonomous Systems, vol. 60, pp. 563-571, 2012. Available at: https://doi.org/10.1016/j.robot.2011.11.014.

[4]          H. Abdellatif, M. Grotjahn, and B. Heimann, " High efficient dynamics calculation approach for computed-force control of robots with parallel structures," presented at the IEEE Conference on Decision and Control and European Control Conference, CDC-ECC, 12-15 December, 2005.

[5]          W. W. Shang, S. Cong, and S. I. Jiang, "Dynamic model based nonlinear tracking control of a planar parallel manipulator," Nonlinear Dynamics, vol. 60, pp. 597-606, 2010. Available at: https://doi.org/10.1007/s11071-009-9617-6.

[6]          V. K. Nguyen, Q. H. Nguyen, D. S. Nguyen, and D. D. Nguyen, "A comparison study of some control methods for spatial parallel robot," Journal of Computer and Cybernetics, vol. 31, pp. 71-81, 2015. Available at: https://doi.org/10.15625/1813-9663/31/1/5088.

[7]          V. K. Nguyen, Q. H. Nguyen, D. D. Nguyen, and V. Q. Nguyen, "Model-based control of a 3-PRS spatial parallel robot in the space of redundant coordinates," Journal of Science & Technology, vol. 112, pp. 049-053, 2016.

[8]          L. Sciavicco and B. Siciliano, Modelling and control of robot manipulators, 2nd ed. London: Springer-Verlag, 2000.

[9]          R. Kelly, V. Santibanez, and A. Loria, Control of robot manipulators in joint space. London: Springer-Verlag, 2005.

[10]        J. G. Jalon and E. Bayo, Kinematic and dynamic simulation of multibody systems – the real-time challenge. New York: Springer-Verlag, 1994.

[11]        V. K. Nguyen, "Consistent definition of partial derivatives of matrix functions in dynamics of mechanical systems," Mechanism and Machine Theory, vol. 45, pp. 981-988, 2010. Available at: https://doi.org/10.1016/j.mechmachtheory.2010.03.005.

[12]        V. K. Nguyen, "Kronecker product and a new matrix form of Lagrangian equations with multipliers for constrained multibody systems," Mechanics Research Communications, vol. 38, pp. 294-299, 2011. Available at: https://doi.org/10.1016/j.mechrescom.2011.04.004.

[13]        Q. H. Nguyen, V. K. Nguyen, and D. D. Nguyen, "Influence of models on computed torque of Delta spatial parallel robot," in Proceedings of the 16th Asian Pacific Vibration Conference (APVC), Hanoi, November 24-26, 2015, Bachkhoa Publisching,Hanoi, 2015, pp. 791-798.

[14]        W. Blajer, W. Schiehlen, and W. Schirm, "A projective criterion to the coordinate partitioning method for multibody dynamics," Archive of Applied Mechanics, vol. 64, pp. 86-98, 1994

Views and opinions expressed in this article are the views and opinions of the author(s), Review of Computer Engineering Research shall not be responsible or answerable for any loss, damage or liability etc. caused in relation to/arising out of the use of the content.