Index

Abstract

PVT (pressure-volume-temperature) properties of reservoir fluids in the oil and gas industry constitute an integral part of the required data for a thorough study of the reservoir, optimally compilation of oil production and operation schemes. In the absence of PVT data that measured in laboratory conditions, empirical correlation is used to evaluate these properties. These correlations cannot be applied universally due to the differences of crude oil composition, the working condition of geographical and oil environment. In the article widespread correlations and models was investigated in the field of prediction of PVT properties of reservoir oil from different regions. Their accuracy and productivity was thoroughly analyzed too.

Keywords: Bubble, point, pressure, Bubble, point, oi, formation,factor, Crude, oil.

Received: 20 July 2018 / Revised: 23 August 2018 / Accepted:3 October 2018 / Published: 6 November 2018


1.INTRODUCTION

Determination of oil wells productivity and future production, forecasting oil reserves are crucial for profitability operations in the oil industry. At the same time, the development of the best strategy for the evaluation and depletion of oil resources is  possible, if there are real and accurate estimates of the physical properties of layer fluids. These physical properties are determined as a result of PVT analysis of layer oil samples. Bubble point

The accurate prediction of PVT properties  as bubble point pressure, bubble point oil volume formation factor, oil viscosity and so on plays an important role in the initial and subsequent development of the oilfield. As a result of the analysis of typical fluid samples taken at the special PVT laboratory, experimental determining of these properties are possible. However, this process requires a lot expense and time in terms of either labor or computing resources there is need to widely using of empirical correlation.

From the 40s of the last century, oil engineers in the United States paid particular attention to the development of empirical correlations for predict PVT properties of crude oil. Researches that carried out in this field led to emergence of correlations as Katz, Standing, Lasater, Cronquist [2]. Here, correlation means linear or nonlinear regression equations that made based on experimental data acquired in laboratory conditions.

Crude oil systems of different oil regions are used in the development of correlations. These crude oil may be various to chemical composition  (light, heavy, volatile, etc.) and physical properties depending on the region. Therefore, developed corrosions for crude oil samples in one region may be unsatisfactory if applied to crude oil samples in other regions [3]. It needs a thorough investigation of the correlations and models used in the evaluation of  PVT properties of the crude of the regions, and a comprehensive analysis of the accuracy and productivity of these correliations. The purpose of this study is to analyze the current state of research on the forecasting of PVT properties of reservoir oil, correlation in this field and the offered methods and models of machine learning last years.

2. EMPIRICAL CORRELATIONS FOR FORECASTING OF  PVT PROPERTIES OF CRUDE OIL

Over the last seven decades, many correlations was proposed to evaluate the PVT properties of crude oil. These correlations are considered the sole source for evaluating the PVT properties when experimental data is absent [2]. These empirical correlations are based on experimental data of the crude oil samples of different geographical regions. Accurate forecasting of properties as bubble point pressure and  bubble point oil formation factor  is important in the development and exploitation of the oilfield.

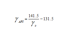
Subsequently, many new correlations were developed on the basis of Standing correlation. It should be noted that in some of these correlations the(a specific gravity scale developed by the American Petroleum Institute (API) ) parameter was replaced withor vice versa. The dependence between these two variables was expressed as follows:

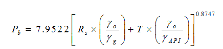
In 1980 [4] gave a more accurate correlation of bubble point pressure and  bubble point oil formation volume factor for black oil. Graphical and linear regression analysis methods was used in correlation calculation.The analyzes was based on 26 different crude oil systems of the North Sea. The average relative errors for  bubble point pressure and  bubble point oil formation factor was 1.28% and -0.43% respectively. This correlation dependence was expressed bye the following formulas:

Vazquez and Beggs [5] presented a broader investigation of the PVT properties of crude oil. They presented new empirical correlations based on the use of large volume of data that obtained from oilfields all over the world. In the study more than 6004 data sets were used that obtained from the PVT laboratory analysis of the worldwide crude oil sample. This correlation dependence was expressed bye the following formulas:

In 1988 Al-Marhoun [6] worked for correlation for evaluation of  bubble point pressure and  bubble point oil formation factor for the Middle East crude oil. These correlations were prepared based on PVT analysis of 160 data sets of 69 species of fluid samples and was expressed by the reservoir temperature, specific gas gravity, solution gas oil ratio  and specific oil gravity. Al-Marhoun used linear and nonlinear multidimensional regression methods to achieve maximum accuracy of correlation. The correlation of M. Al-Marhoun was expressed as follows:

As seen from the researches  the majority of the current correlations was proposed for specific regions. In addition,  the used oil PVT properties of each region are different from those of the others (table 1).

Table-1. The ranges of the data used in the development of published  correlations

Author 
Region
Bubble point pressure, psi
Bubble point oil FVF, bbl/STB
Solution
Gas gravity,
Tank oil
Reservoir
gas oil ratio
(air= 1)
Gravity, °API
Tempera-ture (°F)
California oil.
130–7000
1,024-2,15
20–1425 
0.59–0.95
16.5–63.8
100–258
World-wide
15-6055
-
0-2199
0,51-1,35
15,3-59,3
75-294
North Sea oil 
165-7142
1,087-2,588
90-2637
0,65-1,28
22,3-48,1
80-280
Middle East oil
130-3573
1,032-1,997
26-1602
0,752-1,367
19,40- 44,6
74-240

Source: Standing [1]; Glaso [4]; Vazquez and Beggs [5]; Al-Marhoun [6]

Because the laboratory methods are sometimes impossible for many reasons, several empirical correlations was developed for PVT properties. Especially in the recent decades, there was an increasing interest in developing new correlations for crude oils of different regions of the worlds.

Thus, there are  researches of author's as Dindoruk and Christman [7]; Kartoatmodjo and Schmidt [8]; Farshad, et al. [9]; Al-Shammasi [10];  Dokla and Osman [3]; Labedi [11]  in the development of new correlations in the prediction of PVT properties of crude oil in scientific literature. Almost all of these empirical correlations was prepared by linear or nonlinear multidimensional regression or graphic methods, often do not have high productivity and  enough accuracy.

Due to regional changes in crude oil compositions and properties, none of the correlations can be applied as an exact universal correlation. In recent years, genetic algorithms was used to increase the accuracy of PVT correlations ( uses the genetic algorithm, which is one the most powerful techniques of artificial intelligence in optimization) [12, 13]. In 2016 researchers from King Said University of Egypt [12] prepared correlation to predict bubble point oil formation volume factor of universal volatile crude oils samples by using genetic programming. Here, the dependence between the volume factor and other parameters was expressed in the following formula.

Let us note that the correlation factor  was 99.96%, the average absolute error was 0.3252%, and the standard deviation was 0.00001584 in genetic programming.

In 2017, researchers from  Kerman Shahid Bahonar University of Iran M.Heidarian and colleagues [13].  by applying the genetic algorithm develop empirical corellation that expressed following formula for  evaluating of bubble point pressurein the Middle East crude oil systems.

3.MACHINE LEARNING METHODS FOR PREDICTION OF CRUDE OIL PVT PROPERTIES

Since the end of the 20th century, various  machine learning methods (ML) was begun widely implemented  to improve the accuracy and performance of  correlations that applied to the assessment of the PVT properties of crude oil.

3.1. The Use of Artificial Neural Networks in PVT Predictions

ML methods that he most commonly used for PVT prediction are artificial neural networks (ANN) and their variants [14]. Artificial neural networks are parallel distributed data processing models that can recognize highly complicated samples within the accessible data. That's why, artificial neural networks can provide more reliable and accurate results for the determination of PVT properties of crude oil compared with linear or nonlinear multidimensional regression methods [15]. The use of neural networks in PVT properties modeling is relatively new field. In recent years, some studies was conducted in this field.

In 1996, R. B. Gharbi and A. M. El-Sharkawy used neuronal network models for evaluation of  bubble point pressure and  bubble point oil formation factor for the Middle East crude oil systems. For each property, a separate model was used that has two hidden layers structure. 498 sets of data was used that collected from literatures and non-published sources for models' training. Additionally, 22 sets of data that not included to model training according to Middle East  was used to verify the acquired network. In comparison with traditional correlations, better results was achieved with a decremention of  mean error of at least 50% for bubble point pressure and  and 30%  for bubble point oil formation factor [16].

Al-Shammasi used a neural network model for bubble point oil formation factor consisting of two secret layers by five nodes on the first layer and three nodes in the second layer. For the model training 1165, for the testing 180 data sets was used. The best average absolute error of the model was 11.68%.This is higher than traditional numerical correlations. It was noted that the newly created model worked better in comparison with empirical correlation, but had some problems with stability and trends analysis. The main problem of this model, compared to the published neural network models, is the lack of network architecture scarce parameters Al-Shammasi [17].

Varotsis and Guieze [18]  presented a new approach to predict complete PVT properties of  oil and gas condensates of layer using artificial neural network. The ANN model has trained with PVT research base data consisting of over 650 layer fluids from all over the world. ANN architecture tests show that the evaluation of PVT properties for all fluid types can be achieved with a very low average relative error (0.5-2.5%). Currently this level of error is considered better than the equation of state (EOS) models that widely used for the evaluation of the properties of layer fluids. In addition to improving the accuracy, the proposed ANN architecture eliminates problems such as uncertainty inherent to EOS models and ensures the sustainable development  by enriching the training database of the ANN with additional data.

In 2001, E A.Osman and his colleagues [19] introduced a new ANN model to predict bubble point oil volume formation factor. This model was prepared  based on 803 published data on the Gulf of Mexico Middle East, Malaysia, Colombia. From 803 data collection, 402 was used for testing ANN, 201 was used for testing the relationships during the learning process and the remaining 200 was used to test the accuracy of the model and the stability of the trend. The results of the study showed that the prepared model provides relatively better predictions and high accuracy compared to existing empirical correlations.

A new mathematical model based on the application of the machine learning method was proposed by Ramirez, et al. [20] to evaluate the properties of PVT as the bubble point pressure and  bubble point oil formation factor. The model is based on artificial neural networks and uses 504 published data set from the Middle East, Malaysia and the North Sea. In order to achieve high accuracy in evaluating, primarily the number of neurons and confidential layers needed for ANN was reduced by using PCA. Artificial neural networks were used to evaluate PVT properties. In the development of the proposed model, 360 of 504 data sets from literature were used to model study, 40 for cross-correlation and 104 for model testing. This model showed better predictability and high accuracy compared to other correlations.

For predict the PVT characteristics of Pakistan's crude oil were used models that based on artificial neural network. A total of 166 data sets consist of 22 different crude oil samples were used for the training and testing of the ANN in the development of PVT models of crude oil of Pakistan. The proposed model  provided better predictions and high accuracy compared to the demonstrated correlations [15].

It should be noted that the efficiency of any ML model depends on the careful selection of its training parameters. Since the ANN's "black box" image prevents its wide application in its PVT analysis, ML and evolutionary techniques  as support vector machine (SVM), genetic algorithm (GA) adaptive neuro-fuzzy systems (ANFIS), functional networks (FN), etc. various derivatives were used.

3.2. Predicting by the Applying of  the Support Vector Machine

J. Nagi and his colleagues [21] offered a new machine learning method for predicting results (output products) in uncertain cases using the support vector machine (ɛ-SVR) method for  precise determination of PVT properties such as bubble point pressure and  bubble point oil formation factor, which is of particular importance in the initial and subsequent development of the oil field. The purpose of this study is to investigate the potential of SVRs in the modelilng of PVT properties of crude oil systems and in the solution of the deficiencies of existing neural network. The three data sets used for prepare and test the ɛ-SVR prediction model were collected from a various published sources. Comparative studies were carried out to compare ɛ-SVR's productivity with ANN, nonlinear regression and different empirical correlation methods. The obtained results show that the SVR has been successfully trained and optimized; it is reliable and is more superior to other available approaches such as empirical correlation to evaluate PVT properties of crude oil.

3.3. Evaluating by Using Genetic Programming Method

In 2016 Iranian researchers D. Abooali and E. Khamehchi developed a method for the evaluation of PVT properties of crude oil such as bubble point pressure (Pb) and  bubble point oil formation volume factor (Bob) using the genetic programming (GP) method [22]. The model  based on parameters such as the reservoir temperature, specific gas gravity, solution gas oil ratio and specific oil gravity (). The GP method was applied to 137 data sets collected from different geographical areas. During the evaluation of the model 17 data sets were used for bubble point pressure, 12 for  bubble point oil formation volume factor. The advantage of this model is its simplicity and in addition its high accuracy.

Khoukhi and Alboukhitan [23] proposed genetic-neuro-fuzzy inference system (GANFIS) to evaluate PVT characteristics of crude oil systems. Modelling experience  showed that the proposed method is more efficient than modern methods.

In general, the ML solution typically involves minimizing the error in the training algorithm. Note that most machine learning algorithms works with local search, this also causes weak working of the model when new data is being presented.

4. HYBRID MODELS FOR PREDICTION OF PVT PROPERTIES OF CRUDE OIL

In recent years, researchers have used soft computing and especially artificial neural networks to obtain more accurate PVT correlations.Unfortunately, the use of less precision global correlations prevents the extensive applying of neural networks [23]. At present, hybrid models have begun widely used to achieve high accuracy in evaluating of PVT properties. These hybrid models are based on the combined use of several methods, especially the artificial neural networks, and other methods. The purpose of hybrid models is to complete unable performing of a method by using the other method. Let's look at some of these models below.

S.O.Olatunji and its colleagues [24, 25] investigated hibrid model based on combined using of hybrid type-2 fuzzy logic systems (Type-2 FLS) and sensitivity based linear learning method (SBLLM)  to predict PVT properties of crude oil systems. Note that, in their previous studies, the authors presented a model based on the privately use of the Type-2 FLS [26] and SBLLM [27] methods for predicting PVT properties of crude oil systems. The sensitivity based linear learning method has recently been used as a predictor way due to its specific features and productivity,  its high constancy and conformity especially in predictions.

However, the aggregation capability of the SBLLM is, in some cases, limited by the nature of the data set, in particular, depending on whether there are any uncertainties in the data set. In the formula used for the Type-2 FLS model the value of relation function of a  PVT properties that corresponding to certain values is not exactly clear, but is associated with a number of values that can be characterized by the function that reflects the level of uncertainty.  The results of carried out researches showed that the Type 2 FLS model has a better efficiency for a large data set (782 datasets), and SBLLM has for smaller data set (160 datasets).

In order to reduce the effectiveness of the suspenses and increase the overall aggregation capability in SBLLM prediction in  Olatunji, et al. [25] hybrid system was proposed through the "tip-2 fuzzy logic systems" and unique combination of  SBLLM and then hybrid system was used for modelling the PVT properties of the  crude oil systems. In the proposed hybrid the Type-2 FLS model is used to control the uncertainties in oil layer data. Thus, the final results obtained from the Type 2 FLS model are transmitted to the SBLLM for training and final predictions are given using the test data set. The empirical results of the modelling showed that the proposed T2-SBLLM hybrid model is much higher than the SBLLM's productivity.

Evaluation of oil reservoir fluids property as the bubble point pressure plays a main role in the reliable modelling of  crude oil fluids. In Ahmadi, et al. [28] a particle swarm optimization (PSO) and a hybrid model of artificial neural network (ANN) was used to determine the bubble point pressure of crude oil samples. For the creation and verification of the PSO-ANN model, data samples were used for bubble point pressure known from literature. Traditional approaches have been applied on the same data to evaluate bubble point pressure of crude oil for prove the validity of this intellectual model. The results of the PSO-ANN model showed that this model is a reliable and accurate approach to the evaluation of bubble point pressure of crude oil.

In 2016, researchers from the University of Portsmouth of UK presented two important PVT properties of crude oil - ensemble support vector regression and ensemble regression tree models [29]  for predicting of bubble point pressure  and  bubble point oil formation volume factor. The developed ensemble models were compared with independent support vector machine (SVM) and regression tree models, as well as widely used empirical correlations. The ensemble models had a higher accuracy compared to SVM and regression tree models separately taken.

Hybrid ML system is normally developed to complement each other subsystems. The purpose of the hybrid system is to complete the other one that can not be implemented. In Oloso, et al. [30] was proposed a hybrid solution of K-Means clustering and functional networks (FN) to forecast PVT characteristics of crude oil. K-Means is an extensively used data mining method. The K-Means cluster is used to create clusters of input sets before the use of functional networks to perform the actual target variables and prediction of  bubble point oil formation volume factor. FN was presented as a powerful alternative to neural networks. Unlike the ANN, FN data has the advantage of using domain information in addition to data acquisition. The initial topology of the network can be obtained based on modelling of the real world properties. When this topology is accessible, functional equations allow to obtain a more simple equivalent topology. About 1400 data sets were used for modelling. 327 of these were collected from various published materials. The remaining data was not published, it was obtained from various sources such as GeoMark Research and Shell Company. These data combine the properties of various crude oil around the world. Four input clusters that  transmitted to the FN were created in hybrid systems. All the shown training features have been tested. The productivity of the hybrid solution (K-Means + FN) had higher results compared to widely used or recently prepared separately taken FN , artificial neural networks (ANN) and selected empirical correlations in the oil industry.

Researchers from the Royal Fahd Oil and Minerals University in Saudi Arabia S.Elkatatny and M.Mahmoud created a new empirical correlation to predict bubble point oil formation factor use the artificial intelligence techniques  (AI) such as an artificial neural network, adaptive neuro-fuzzy system (ANFIS) and support vector machine [31]. The first time they changed the ANN model to the "white box" by creating new empirical correlation for predicting of bubble point oil formation volume factor by extracting the weights and the biases from AI models. Thus, the problem of "black box", which has become a barrier to the implementation of the ANN model has been solved. In this model was used 760 experimental data set for different types of oil. The obtained results showed that ANN model have a higher correlation (0.997) and lowest average absolute error (less than 1%) for predicting of oil formation volume factor depending on the specific gas and oil gravity, solution gas oil ratio and reservoir temperature compared with ANFIS and SVM.

Sh. Rafiee-Taghanakia and colleagues [32] proposed a new mathematical basis approach to develop reliable models for evaluating of  PVT properties of crude oil in various layer conditions. For this purpose, a new soft computing approach, namely CSA (Coupled Simulated Annealing, CSA) optimization method with Least Square Support Vector Machine (LSSVM) modelling were applied. Obtained results of  proposed models were compared with appropriate experimental results. Acquired results show that the proposed models are more sustainable, reliable and effective compared to existing methods.

Thus, there is a great need for developing of new  correlations which can be used global level to assess the PVT properties of various crude oil with smaller errors.

5. CONCLUSION

The oil industry of Azerbaijan is the basis of the country's economy and plays an important role in the development of other production areas. Therefore, the determination of productivity and economic efficiency of oil wells in our country and forecasting oil reserves are crucial for the profitable operations in the oil industry. As mentioned above, evaluating of oil resources  and developing best strategy of its exhausting  in the layer  is possible when the real and accurate estimates of the physical properties of reservoir fluids are available.

Experimental determination of these properties requires considerable time and expense in terms of labor and computing resources, but it may be important to apply existing correlations and models in the field of PVT properties evaluation of oil to the crude oil of Azerbaijan. However, to achieve satisfactory results the chemical composition and physical properties of oil fluids in our country should be taken into account in the application of these correlations and models.

As it is known from the researches carried out, new correlation and modeling applications have already been developed that can now be applied for universal PVT data. The introduction of Big Data analytics and Deep learning machine learning can be important in improving the accuracy and productivity of these models.

Funding: This work was supported by the SOCAR Science Foundation of Azerbaijan (Grant 16LR - AMEA).   
Competing Interests: The authors declare that they have no competing interests. 
Contributors/Acknowledgement: Both authors contributed equally to the conception and design of the study.

REFERENCES

[1]          M. B. Standing, A pressure volume temperature correlation for mixture of California oils and gases. Dallas: Drilling and Production Practice, API, 1947.

[2]          S. S. Ikiensikimama and O. Ogboja, "Review of PVT correlations for crude oils," Global Journal of Pure and Applied Sciences, vol. 14, pp. 331 – 337, 2008.Available at: https://doi.org/10.4314/gjpas.v14i3.16816.

[3]          M. Dokla and M. Osman, "Correlation of PVT properties for UAE crudes (includes associated papers 26135 and 26316)," SPE Formation Evaluation, vol. 70, pp. 41-46, 1992.Available at: https://doi.org/10.2118/20989-pa.

[4]          O. Glaso, "Generalized pressure-volume-temperature correlations," Journal of Petroleum Technology, vol. 32, pp. 785-795, 1980.Available at: https://doi.org/10.2118/8016-pa.

[5]          M. Vazquez and H. Beggs, "Correlations for fluid physical property prediction," Journal of Petroleum Technology, vol. 32, pp. 968-970, 1980.Available at: https://doi.org/10.2118/6719-pa.

[6]          M. A. Al-Marhoun, "PVT correlation for Middle East crude oils," Journal of Petroleum Technology, vol. 40, pp. 650–666, 1988.Available at: https://doi.org/10.2118/13718-pa.

[7]          B. Dindoruk and P. G. Christman, "PVT properties and viscosity correlations for Gulf of Mexico oils," SPE Reservoir Evaluation & Engineering, vol. 7, pp. 427-437, 2004.Available at: https://doi.org/10.2118/89030-pa.

[8]          T. Kartoatmodjo and Z. Schmidt, "Large data bank improve crude physical property correlations," Oil and Gas Journal, vol. 92, pp. 51-54, 1994.

[9]          F. Farshad, J. L. LeBlanc, J. D. Garber, and J. G. Osorio, "Empirical PVT correlations for Colombian crude oils," in Proceedings of the Fourth Latin American and Caribbean Petroleum Engineering Conference (SPE-36105-MS), April 23–26, 1996.

[10]        A. A. Al-Shammasi, "A review of bubblepoint pressure and oil formation volume factor correlations," SPE Reservoir Evaluation & Engineering, vol. 4, pp. 146–160, 2001.Available at: https://doi.org/10.2118/71302-pa.

[11]        R. Labedi, "Use of production data to estimate volume factor density and compressibility of reservoir fluids," Journal of Petroleum Science and Engineering, vol. 4, pp. 357-390, 1992.

[12]        K. A. Fattah and A. Lashin, "Improved oil formation volume factor correlation for volatile oil reservoirs: An integrated non-linear regression and genetic programming approach," Journal of King Saud University-Engineering Sciences, vol. 30, pp. 398-404, 2018.Available at: https://doi.org/10.1016/j.jksues.2016.05.002.

[13]        M. Heidarian, M. Karimnezhad, M. Schaffie, and M. Ranjbar, "A new empirical correlation for estimating bubble point pressure using the genetic algorithm," Geology, Geophysics & Environment, vol. 43, pp. 33–41, 2017.Available at: https://doi.org/10.7494/geol.2017.43.1.33.

[14]        R. Talebi, M. M. Ghiasi, H. Talebi, M. Mohammadyian, S. Zendehboudi, M. Arabloo, and A. Bahadori, "Application of soft computing approaches for modeling saturation pressure of reservoir oils," Journal of Natural Gas Science and Engineering, vol. 20, pp. 8–15, 2014.Available at: https://doi.org/10.1016/j.jngse.2014.04.023.

[15]        M. H. Rammay and A. Abdulraheem, "PVT correlations for Pakistani crude oils using artificial neural network," Journal of Petroleum Exploration and Production Technology, vol. 7, pp. 217–233, 2017.Available at: https://doi.org/10.1007/s13202-016-0232-z.

[16]        R. B. Gharbi and A. M. Elsharkawy, "Neural-network model for estimating the PVT properties of Middle East crude oils," presented at the SPE 37695, SPE Middle East Oil Show Conf. (Manamah, Bahrain, 3/15-18/97) PROC V1, 1996.

[17]        A. A. Al-Shammasi, "Bubble point pressure and oil formation volume factor correlations," presented at the SPE 53185 Presented at the 1997 SPE Middle East Oil Show and Conference, Bahrain, 1999.

[18]        N. Varotsis and P. Guieze, "On-site reservoir fluid properties evaluation," Journal of Petroleum Technology, vol. 42, pp. 1046-1059, 1990.Available at: https://doi.org/10.2118/18317-pa.

[19]        A. Osman, O. A. Abdel-Wahhab, and M. A.Al-Marhoun, "Prediction of oil PVT properties using neural networks," presented at the SPE 68233 Presented at the SPE 2001 Middle East Oil show held in Bahrain, 2001.

[20]        A. M. Ramirez, G. A. Valle, F. Romero, and M. Jaimes, "Prediction of PVT properties in crude oil using machine learning techniques MLT," presented at the Latin America and Caribbean Petroleum Engineering Conference, 2017.

[21]        J. Nagi, T. S. Kiong, K. S. Ahmed, and F. Nagi, "Prediction of PVT properties in crude oil systems using support vector machines," in Proceedings of the 3rd International Conference on Energy and Environment (ICEE), 2009, pp. 1– 5.

[22]        D. Abooali and E. Khamehchi, "Toward predictive models for estimation of bubble-point pressure and formation volume factor of crude oil using an intelligent approach," Brazilian Journal of Chemical Engineering, vol. 33, pp. 1083-1090, 2016.Available at: https://doi.org/10.1590/0104-6632.20160334s20150374.

[23]        A. Khoukhi and S. Alboukhitan, "A data-driven genetic neuro-fuzzy system to PVT properties prediction," presented at the Annual Meeting of the North American Fuzzy Information Processing Society, 2010.

[24]        A. Selamat, S. O. Olatunji, and A. A. Abdul Raheem, "Modeling PVT properties of crude oil systems based on type-2 fuzzy logic approach and sensitivity based linear learning method," in Proceedings of the International Conference on Computational Collective Intelligence ICCCI 2012: Computational Collective Intelligence. Technologies and Applications, 2012, pp. 145-155.

[25]        S. O. Olatunji, A. Selamat, and A. A. Abdul Raheem, "An hybrid model through the fusion of sensitivity based linear learning method and type-2 fuzzy logic systems for modeling PVT properties of crude oil systems," in Proceedings of the Malaysian Conference in Software Engineering, 2011, pp. 354–360.

[26]        S. O. Olatunji, A. Selamat, and A. A. Abdul Raheem, "Predicting correlations properties of crude oil systems using type-2 fuzzy logic systems," Expert Systems with Applications, vol. 38, pp. 10911-10922, 2011.Available at: https://doi.org/10.1016/j.eswa.2011.02.132.

[27]        S. O. Olatunji, A. Selamat, and A. A. Abdul Raheem, "Prediction model of reservoir fluids properties using sensitivity based linear learning method," in Proceedings of the 2010 International Conference on Multimedia Computing and Information Technology (MCIT), 2010, pp. 77-80.

[28]        M. A. Ahmadi, M. Pournik, and S. R. Shadizadeh, "Toward connectionist model for predicting bubble point pressure of crude oils: Application of artificial intelligence," Journal of Petroleum, vol. 1, pp. 307-317, 2015.

[29]        M. A. Oloso, M. G. Hassan, J. Buick, and M. Bader-El-Den, "Oil PVT characterisation using ensemble systems," in Proceedings of the 2016 International Conference on Machine Learning and Cybernetics (ICMLC), 2016, pp. 61-68.

[30]        M. A. Oloso, M. G. Hassan, M. B. Bader-El-Den, and J. M. Buick, "Hybrid functional networks for oil reservoir PVT characterisation," Expert Systems with Applications, vol. 87, pp. 363-369, 2017.Available at: https://doi.org/10.1016/j.eswa.2017.06.014.

[31]        S. Elkatatny and M. Mahmoud, "Development of new correlations for the oil formation volume factor in oil reservoirs using artificial intelligent white box technique," Journal of Petroleum, vol. 4, pp. 178-186, 2018.Available at: https://doi.org/10.1016/j.petlm.2017.09.009.

[32]        S. Rafiee-Taghanakia, M. Arabloo, A. Chamkalani, M. Amanid, M. H. Zargari, and M. R. Adelzadeh, "Implementation of SVM framework to estimate PVT properties of reservoir oil," Fluid Phase Equilibria, vol. 346, pp. 25–32, 2013.Available at: https://doi.org/10.1016/j.fluid.2013.02.012.

Views and opinions expressed in this article are the views and opinions of the author(s), Review of Information Engineering and Applications shall not be responsible or answerable for any loss, damage or liability etc. caused in relation to/arising out of the use of the content.