It was demonstrated that for the biomechanical evaluation of the relative performance the complex system (body + barbell) should be taken into account. Another factor is the body-composition (muscle-, fat- and bone ratios) of the lifters. The most dominant is the muscle-ratio, which is significantly less in the super-heavyweight category than in the others. Modification parameter is the physique of the athlete (dominantly the body height), because to reach higher level with the barbell during the pull it is necessary to have higher speed, so consequently the lifter has to perform higher acceleration and needs more strength to carry it out. The body height is important from point of view of energetics, as well – the physical work performed by a taller lifter is more – influencing also the regeneration time and the loadability, reducing the level of sport result. The physique and body composition has an impact also on the movement-structure and the technical skill (level) of attempts. In the super-heavyweight the technique is often far from the optimum, concerning the biomechanical requirements (e.g. the disturbing effect of the big belly). The last factor is the distribution of lifters in the different categories, surely if the number of lifters is not similar in the different categories, the expectable sport level can be also different.
Keywords: Biomechanics, Bodyheight, Bodymass, Weight, categories, Movement-structure, Work, (energy).
Received: 5 December 2019 / Revised: 8 January 2020 / Accepted: 13 February 2020/ Published: 2 March 2020
This study uses new estimation methodology for analysis of the relative performance of top weightlifters, taking into consideration also the body composition, body stature and distribution of lifters in the different weight categories.
In the first part of the article (Szabo & Adamfi, 2017) it was mentioned, that there are theoretically 7 biological and biomechanical parameters, influencing the performance level of the lifters. These parameters are the following:
Previously the first 2 parameters were mathematicallly analysed from point of view of biology and biomechanics. For characterization of the performance level of top olympic lifters the world records (achieved till 31.12.2016.) were used. The relative performance was determined as the ratio of the records and own bodyweight (category weight). It was demonstrated that obviously both in case of male and female lifters the performance and the relative performance depend on the bodymass, however the tendency is opposite. Theoretically the performance is the function of bodymass on the 2/3 power, so it increases with the bodymass, but the relative performance decreases as a function of bodymass on the minus 1/3 power.
However for real evaluation of the results in the clean and jerk (C&J) we have to take into account the own bodyweight of the lifters, as well, because the lifters lift during the execution of the C&J attempt the complex system (barbell + own body), standing up from squatting position. So the weightlifters lift not only the barbell, but also their own bodyweight! The results with this correction showed rather good agreement (with exception of superheavy-weight categories) with the theoretically determined performance ratios for the different (8+7) weight categories.
Let us mention that the analysis of weightlifting performances in the different weight categories can be really interesting from point of view of sport physiology, anthropometry and training methodology (Ajan & Baroga, 1988; Feher, 2006; Hiskia, 1997; Hiskia., 2002; Jones, Pierce, & Keelan, 2010; Nawrat, 1989). This topic is rather exciting, concerning the expectable and predictive performance for the future, as well.
Many former analysis were performed about the connection between the sport result and the bodyweight (Poletaev, Sz, & Kopisov, 1981; Starodubcev, 1970; Szabo, 2012; Szabo, Maslobojev, & Mezei, 1979; Vorobyev, 1978; Ye et al., 2013). The aim of application of the Sinclair-coeffitients or formula – mathematical method for comparison of the achieved results in weightlifting – is also rather similar, giving an opportunity to evaluate the different results in the different categories for the estimation of the performance-level (Aján, 1998)(IWF website).
In this article from the 7 parameters the remaining 5 ones were analysed, showing the slightly modification effect on the level of performance and relative performance of the weightlifters.
Separately all the 7 parameters were investigated, influencing dominantly the performance level of the lifters. In the analysis only those parameters were investigated, which have close connection with biomechanics, physiology, anthropometry and the frequency-distribution of lifters as a function of categories. So we paid attention only to the questions of fundamental importance, of the biological background, and not analysing such type of questions – of course these are important parameters for the individual athletes - as e.g. the beginning age of the lifter, the number of weekly trainings, the qualification of the coach, the type of training method, the level of motivation, nutrition backgound, competition management, application of performace enhancement products etc. For the performed analysis appropriate mathematical methods were used with computer evaluation.
Let us mention, that from 2017 the weight categories for female lifters were modified, new categories (90 kg and +90 kg)) were introduced, so today both male and female lifters compete in 8 categories. However it is true, the category limits are not identical. According to recent decision, from 1 November 2018 the IWF will introduce 10 + 10 categories.
Data about the bodyheight, the muscle and fat composition were used from point of view of dynamics and energetics, characterizing the top lifters. Data were collected and analysed concerning the relative frequency (distribution) of lifters in categories in some countries, as well, where the olympic lifting is a rather popular branch of sport.
Previously it was showed that theoretically the performance is the function of bodymass on the 2/3 power. However the body composition is also a factor of modification, because the performance depends practically not on the bodymass, but on the muscle-mass, so the change of muscle ratio can produce different peformance level in the same category. This difference (muscle-ratio difference) is dominantly the reason of the different performance levels in case of male and female athletes in those sport-branches, where the maximum strength and dynamic strength play a dominant role (e.g. athletics, wrestling, powerlifing, olympic weightlifting). In case of male lifters in general the muscle-ratio is higher and the fat-ratio is less in comparison with female lifters.
Table 1 shows the muscle and fat ratio of the selected team of russian lifters and in Table 2 we get information about the fat ratio of participants of the European Championships in Germany (Belina et al., 1980; Belina. et al., 1982; Herm, Schulze, Kaempfe, & Lathan, 1987; Stepanova, Sinyakov, & Belina, 1983; Szabó.. 1989).
Table-1. Muscle ratio, fat ratio and muscle/fat ratio of the lifters of the selected Russian team.
Category (kg) |
Muscle ratio (%) |
Fat ratio (%) |
Muscle/fat ratio |
|||
Mean |
SD |
Mean |
SD |
Mean |
SD |
|
52 |
53.64 |
1.97 |
7.75 |
1.39 |
7.07 |
1.28 |
56 |
54.95 |
2.63 |
8.33 |
1.30 |
6.68 |
1.14 |
60 |
56.11 |
2.16 |
7.99 |
1.96 |
6.89 |
1.29 |
67,5 |
55.74 |
1.82 |
8.93 |
1.10 |
6.25 |
0.91 |
75 |
56.73 |
2.56 |
8.94 |
1.45 |
6.53 |
1.25 |
82,5 |
57.26 |
2.78 |
8.99 |
1.52 |
6.58 |
1.33 |
90 |
57.69 |
2.52 |
9.26 |
1.94 |
6.61 |
2.08 |
100 |
56.09 |
2.98 |
11.01 |
3.24 |
5.47 |
1.74 |
110 |
55.55 |
3.29 |
12.29 |
2.30 |
4.91 |
1.34 |
+110 |
53.51 |
3.55 |
16.23 |
3.84 |
3.69 |
1.04 |
Source: (Belina et al., 1980; Belina. et al., 1982).
Table-2. Fat-ratio of weightlifters of the European championships in 1986.
Category (Kg) |
Mean |
SD |
52 |
8.7 |
2.0 |
56 |
9.0 |
1.2 |
60 |
8.5 |
2.5 |
67,5 |
9.3 |
0.6 |
75 |
11.1 |
1.6 |
82,5 |
11.6 |
2.4 |
90 |
12.1 |
1.8 |
100 |
14.8 |
1.8 |
110 |
15.0 |
2.7 |
+110 |
18.4 |
2.5 |
Source: Herm et al. (1987).
Based on the data in Table 1 and 2 it is clear, that the increase of the bodyweight produces higher fat-ratio, and in the highest category the ratio is appr. 2-times higher than in the low categories. Definitely the change has an effetc also on the muscle ratio, and also on the bone-ratio, which is in low categories significantly higher (15-18 %), than in the super-heavy-weight (12-14 %). In consequence of these facts the muscle-ratio in super-heavy-weight is in general less than in the other categories, so the performance-level decreaeses. Recently the muscle-ratio of the best lifters is close to 60 %, and only the super category showes a significantly less value, which is the consequence of the higher fat-ratio. You can see, that in the low categories the muscle/fat ratio is appr. 7, later decreases step by step and in the highest category it is only between 3 and 4.
Let us mention that the data, given in Table 1 were determined based on the measurements of considerable amount of lifters (in the categories between 37 and 66 lifters) and some individual parameters were rather different. In the super-heavy-weight category the smallest muscle/fat ratio was 1.7 and the highest value 6.3. For the smallest category the maximum value was 10.3 and the minimum one 4.6.
It is a fact, that sometimes the difference in height of the lifters of the same category reaches even 10-12 cm. On the contrary in some cases the category-difference is 2 or even 3 of the lifters, having the same height. E.g. there is a top lifter in the 56 kg category with 152 cm height, and the other, lifting in the same category has a height of 162 cm. Or there are 3 lifters, each with 170 cm height, one lifts in the 77 kg category, the next in the 85 kg one and the third lifter in the 94 kg category. We can have the question: who has the advantage? What about the expectation, concerning the lifters of the same bodyweight but different height?
The analysis should be carried out from biomechanical point of view! The lifts are carried out in a gravitational field and during the lift the lifter increases the energy of position of the barbell. During the lift – at the beginning the kinematic energy is zero – the kinematic energy increases, as well, and to reach the necessary position of the barbell the lifter has to perform a given speed and acceleration as a function of the anthropometrical parameters (dominantly height) of the lifter. The speed-requirement depends on the height of the lifters, in case of a higher lifter the speed-need is also higher. Both in clean and snatch there is a minimum calculable height of the barbell, if the lifter cannot reach this parameter during the pull, definitely the lift cannot be performed successfully. At this height the energy of position of the barbell is on the maximum, however the kinematic energy is again zero. The reason is evident: during the lift upstairs (close to vertical direction) the speed of the barbell decreases at the end and the barbell stops for a moment. In the finishing part of the trajectory of the pull the lifter has practically no dynamical connection (interaction) with the barbell, after reaching the vo speed (maximum velocity) the vertical movement of the barbell decreases continuously because of its inertia resp. kinematic energy.
In formulas:
v = ds/dt
a = dv/dt = d2s/dt2
s = gt2/2
F = ma
I = mv
Ekin = mv2/2
F = dI/dt = mdv/dt
G = mg
h = v2/2g
H = vot – at2/2
where:
v – speed
a – acceleration
s – distance (trajectory)
F - force (strength)
I - impulse
Ekin – kinetic energy
G – weight (force)
m – mass
g – acceleration of gravitation
h and H - lifting heights of the barbell
During the pull after reaching the maximum position the movement of the barbell is back, after the amortization way the lifter brakes it and after stabilization begins the stand-up from the squatting position. In case of snatch the difference between the maximum height of the pull and the stabilization height (this is the amortization way) is app. 10-12 cm, but in C+J can reach even 20-25 cm. The reason of the difference is that fact, that in case of C+J the weight of the barbell is significantly more than by snatch and therefore the way for braking is longer.
So, if one lifter in the same category is significantly higher than the other, the height of the pull should be higher, as well. In snatch the mean height of the pull is 74-75% to the height of the lifter, but in C+J this ratio is appr. 60-62 %. So competing in the same category the higher lifter has a disadvantage, because to reach the higher height of the pull the lifter has to produce higher speed, in consequence higher acceleration and this is based on bigger force. The force is the derivated value of impulse (dI/dv), so this is the connection between the maximum speed during acceleration of the barbell and the performance (power) produced by the lifter.
Table 3 shows the average (typical) height of top lifters for the former categories (Szabó, 1989) and Table 4 informs about the maximum speed values, registered by the champions of the Moscow Olympic Games (Chernjak, Martjanov, Popov, & Povetkin, 1982).You can recognize easily that the required speed in case of higher height is bigger, and this is one of the reasons of reduction of relative performance of lifters in higher categories.
Table-3. Connection between height and category-weight of top weightlifters.
Category (Kg) |
Average Height (Cm) |
SD Value Of Height (Cm) |
52 |
150.7 |
6.0 |
56 |
153.5 |
4.9 |
60 |
158.6 |
5.4 |
67,5 |
161.7 |
4.4 |
75 |
166.2 |
4.4 |
82,5 |
169.8 |
3.4 |
90 |
173.4 |
3.6 |
100 |
176.3 |
5.9 |
110 |
179.5 |
4.5 |
+110 |
184.2 |
5.7 |
Source: Szabó (1989).
Table-4. Maximum barbell-velocities of the attempts of champions in snatch and clean-and jerk at the Olympic Games, 1980, Moscow.
Category (kg) |
Height of the lifter (cm) |
Maximum speed measured during the execution (m/s) |
|
Snatch |
C+J |
||
67.5 |
165 |
1.78 |
1.48 |
75.0 |
173 |
1.89 |
1.56 |
100.0 |
184 |
1.94 |
1.58 |
+110.0 |
188 |
2.40 |
1.76 |
Source: Chernjak et al. (1982).
Of course – based on the principles of biomechanics – it is evident that the requirement is not the smallest height belonging to the given category, but the optimum physique and height. It is clear that if the way is very short we can get significant speed only in that case if the acceleration is rather high, which requires big effort. So it is rather probable, that in case of the Turkish lifter, Naim Suleimanoglu (1967-2017) – elected among the best 25 athletes from all sport branches of the XXth century by AIPS – his 152 cm height was ideal for the 60 kg category. Because his C+J result in 1988 (190 kg) nobody could even approach. And it is a fact, that the bodymass (muscle-mass, physique, body-structure) has an influence on the technical level of the movement-structure and the sport performance, as well.
Wellknown physical fact, that the work (energy) is the product of the force and the way. So if the work is carried out in a gravitational space, lifting the barbell up from the level of the platform, the energy requirement of the lift depends on the height of the lift. And this is a function dominantly of the height of the lifter. So, the higher lifter has to perform not only a higher speed and acceleration (power), but from point of view of energetics the work, carried out is also bigger. In case of 2 lifters with the similar bodyweight and identical barbell-weight that lifter has to perform a bigger work, who is higher. This factor has an influence on the loadability and recovery time after the training of the lifter, as well, so has an impact also on the sport performance level of the athlete.
Let us mention that speaking in weightlifting about the volume of the training, we do not take into account the real work from point of view of energetics. For characterization of the training volume the tonnage (total lifted weight, e.g. 10 t), or the number of the lifts (e.g. 100 lifts) is used, or defined as the product of mean weight (e.g. 90 kg) and the number of the lifts (e.g. 80), so in this last case 7200 kg (Jones et al., 2010). One of the reasons of the fact, that the loadability decreases in the higher categories is the following: the work of the higher lifter with the same weight is bigger. (The dominant reasons are of course the decrease of the relative strength and the need for lifting the bigger own body, as well.)
To investigate the effect of bodymass and physique (stature) on the technical execution of the movement structure is also an important part of sport research. Good technique – optimum motion structure – means, that the trajectory of the barbell is in agreement with the biomechanical requirements of the movements (Hiskia, 2002; Szabo, 2012). The technique is always individual, becaause the biomechanical optimum depends on the stature of the lifter, as well. The essence is, that the technical execution of the lift is good, if:
Because in the highest categories (may be also 105 kg for male and 90 kg for female including) the technical execution of the lifts is often rather far from the ideal movement – big bodyweight, too high fat-ratio, over-developed muscles, big belly – the movement structure is in many cases not optimal. Obviously this fact has a negative effect on the performance level, reducing the relative strength and the relative performance. The parameters of joints – e..g. mobility, flexibility of shoulder and hip – has also a dominant role on the technique, the rigid musculature, the reduced joint mobility is characteristic in general for the lifters of higher categories. Let us mention, that in some cases – dominantly by fermale competitors – the problem is the too high level flexibility, which can create negative effect on the safety of the lifts and the risk of injury of the athletes.
The difference in the frequency of lifters in the different categories can be also the reason of the different levels of world records of the categories. Obviously the distribution of the frequency – here the number of lifters – as a function of bodyweight is not symmetrical, the probability of very short (and light) and extremely high (and very heavy) human beings is much less, than in case of people with normal height and bodymass. Therefore speaking about the performance level of sport results this can be a little higher in the medium categories.
The situation is of course rather complex from point of view of other sport-branches, because in most sport-branches (e.g. soccer, table tenis, running) the dominancy is for normal.
representatives, but in others (e.g. basketball, handball) the success is only for athletes with big heigth. The athletes with short height can be champions practically in sport-branches with categories (e.g. judo, boxing, wrestling), because as e.g. jumpers, shot-putters, swimmers, fencers they do not have chance to win.
Table 5 shows the distribution of 10 competitions in Dubna (russian town north from Moscow) in the previously used 10 categories (Szabó, 1982). It is clear that in the 2 low categories and in the 2 high categories the number of lifters is rather limited, the majority of athletes competed in the medium categories. The highest value was in the 75 kg category, however the 82.5 kg category was saturated, as well. The distribution – look at the Figure 1 and the formula, fitted for the data in Table 5 – shows a non-symmetric Gauss distribution and supports clearly the fact, that today in anthropometry the average bodymass for men is taken as 75 kg. (For ladies this typical value is established recently as 63 kg.) So for normal human male population – taking into account also the weighlifting training effect on the muscle-mass increase – the dominancy should be in the 75-82.5-90 kg categories.
Let us mention, that in the almost one and half century history of weightlifting at the end of the XIX-th century there were no categories for the competitors. Later the athletes competed in 3 categories, later in 5 categories and from 1951 in 7 categories. From 1969 the number of categories changed to 9 and from 1977 to 10. This 10 categories system was modified in 1993 (from 54 kg to +108 kg) and from 1998 the today applied categories were determined, with 8 categories. For female lifters this sport-branch had the first world championships in 1987 and since 2000 female lifting is on the program of Olympic Games in 7 categories.
Table-5. Distribution of lifters as a function weight-categories.
Distribution of lifters in the different categories, based on the number of lifters of 10 competitions |
||||||||||||
Category |
I. |
II. |
III. |
IV. |
V. |
VI. |
VII. |
VIII. |
IX. |
X. |
total |
% |
52 |
2 |
0 |
1 |
0 |
0 |
4 |
0 |
0 |
1 |
1 |
9 |
2,5% |
56 |
4 |
3 |
2 |
0 |
2 |
4 |
2 |
1 |
0 |
1 |
19 |
5,4% |
60 |
4 |
5 |
4 |
2 |
4 |
7 |
4 |
1 |
6 |
2 |
39 |
11,0% |
67,5 |
5 |
7 |
9 |
4 |
4 |
6 |
4 |
2 |
13 |
2 |
56 |
15,8% |
75 |
5 |
9 |
8 |
12 |
7 |
4 |
10 |
2 |
8 |
3 |
68 |
19,2% |
82,5 |
6 |
7 |
5 |
6 |
6 |
10 |
5 |
2 |
11 |
4 |
62 |
17,5% |
90 |
4 |
8 |
4 |
3 |
4 |
10 |
4 |
3 |
3 |
2 |
45 |
12,7% |
100 |
3 |
2 |
2 |
1 |
5 |
8 |
1 |
1 |
3 |
3 |
29 |
8,2% |
110 |
2 |
1 |
0 |
0 |
4 |
6 |
2 |
0 |
1 |
1 |
17 |
4,8% |
+110 |
3 |
1 |
2 |
0 |
2 |
2 |
0 |
0 |
1 |
0 |
11 |
3,1% |
total |
38 |
43 |
37 |
28 |
38 |
61 |
32 |
12 |
47 |
19 |
355 |
100,0% |
Source: Szabó (1982).
Figure-1. Percentile distribution of lifters in different categories.
Source: Szabó... (1982).
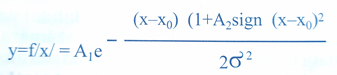
Formula 1. The mathematical formula of the function describing the distribution
where:
y = f(x) - the frequency of distribution.
x - bodymass (kg).
standard deviation of input data.
Tables 6 and 7 inform about the 2017 data. The International Weightlifting Federation (IWF) has today 192 member-countries, and data were asked about the distribution of weightlifters as a function of categories. We got data from federations of many countries, but we show only some those countries, where the number of male lifters exceeds 1000 athletes and the number of female lifters is also significant. It means that the data can be taken as representative quantities. In general the number of female lifters is significantly less than in case of male athletes (appr. half of the male lifters), but there are also countries (e.g. Islamic Republic of Iran) without female lifting. It is also interesting, that there is only one country (USA), where the number of female weightlifters is more than the number of male lifters. Table 6 is valid for male lifters and Table 7 for female ones from China, France, Japan and USA. It is possible to recognize the difference in distribution between the Asian (China, Japan) and European and American lifters. In male lifting the dominancy is in the 56, 62 and 69 kg categories for men and between the 48 and 63 kg categories for women in Asia. However in France and USA the peak of the distribution for male lifters is in the 77, 85 and 94 kg categories, and for female lifting in the categories between 58 and 69 kg. And this fact – as it was mentioned before – can have some (slightly) influence on the performance level of the various categories.
An interesting question: is it possible to create (determine) such categories, where the ratio of the lifters would be appr. the same? Yes, and these theoretical category limits – determined mathematically – are given in Table 8, using for calculation the data, given in Table 5. You can see that based on this evaluation of the data the weight-difference decreases in the medium categories. Of course it seems necessary to mention, that based on other data, - e.g. given in Tables 6 and 7 – the distribution is different, so it can be a significant difference between the categories. Of course it is also a modification factor, that the calculations are carried out for 8 categories or 10 ones.
Table-6. Data for male lifters.
Male |
|||
Country |
Kg |
Number |
Percent |
China |
56 |
191 |
14,8% |
62 |
206 |
15,9% |
|
69 |
201 |
15,6% |
|
77 |
173 |
13,4% |
|
85 |
135 |
10,4% |
|
94 |
123 |
9,5% |
|
105 |
131 |
10,1% |
|
+105 |
132 |
10,2% |
|
Country |
kg |
number |
percent |
France |
56 |
23 |
1,5% |
62 |
71 |
4,5% |
|
69 |
234 |
15,0% |
|
77 |
432 |
27,7% |
|
85 |
441 |
28,2% |
|
94 |
237 |
15,2% |
|
105 |
88 |
5,6% |
|
+105 |
36 |
2,3% |
|
Country |
kg |
number |
percent |
Japan |
56 |
273 |
18,8% |
62 |
198 |
13,6% |
|
69 |
190 |
13,1% |
|
77 |
186 |
12,8% |
|
85 |
205 |
14,1% |
|
94 |
162 |
11,1% |
|
105 |
127 |
8,7% |
|
+105 |
112 |
7,7% |
|
Country |
kg |
number |
percent |
USA |
56 |
66 |
3,5% |
62 |
148 |
7,9% |
|
69 |
235 |
12,5% |
|
77 |
344 |
18,3% |
|
85 |
347 |
18,5% |
|
94 |
354 |
18,9% |
|
105 |
227 |
12,1% |
|
+105 |
156 |
8,3% |
|
Source: IWF information from member countries.
Table-7. Data for female lifters.
Female |
|||
Country |
Kg |
Number |
Percent |
China |
48 |
159 |
14,2% |
53 |
188 |
16,8% |
|
58 |
177 |
15,8% |
|
63 |
177 |
15,8% |
|
69 |
159 |
14,2% |
|
75 |
102 |
9,1% |
|
90 |
84 |
7,5% |
|
+90 |
73 |
6,5% |
|
Country |
kg |
number |
percent |
France |
48 |
32 |
5,6% |
53 |
92 |
16,0% |
|
58 |
143 |
24,8% |
|
63 |
127 |
22,0% |
|
69 |
91 |
15,8% |
|
75 |
48 |
8,3% |
|
90 |
31 |
5,4% |
|
+90 |
12 |
2,1% |
|
Country |
kg |
number |
percent |
Japan |
48 |
125 |
17,7% |
53 |
161 |
22,7% |
|
58 |
115 |
16,2% |
|
63 |
114 |
16,1% |
|
69 |
78 |
11,0% |
|
75 |
54 |
7,6% |
|
90 |
45 |
6,4% |
|
+90 |
16 |
2,3% |
|
Country |
kg |
number |
percent |
USA |
48 |
160 |
7,8% |
53 |
263 |
12,8% |
|
58 |
309 |
15,1% |
|
63 |
369 |
18,0% |
|
69 |
377 |
18,4% |
|
75 |
225 |
11,0% |
|
90 |
184 |
9,0% |
|
+90 |
163 |
8,0% |
|
Source: IWF information from member countries.
Table-8. Determination of weight-categories with identical number of lifters.
Categories with identical number of lifters |
|
Number of the category |
Category (kg) |
1 |
56,8 |
2 |
60,6 |
3 |
65,3 |
4 |
69,6 |
5 |
73,5 |
6 |
77,7 |
7 |
82,0 |
8 |
86,9 |
9 |
97,4 |
10 |
+97,4 |
Source: Szabó (1982).
Analysis was carried out concerning 7 factors, influencing the performance and relative pertformance of weightlifters. The first part of the article was dealing with questions of bodyweight and lifted weight, and in this second part the other 5 factors were analysed. To get a real picture about the investigated topics we have to take into account the following factors of modifications, as well:
Only based on these parameters is it possible to have a real evaluation of the performance and relative performance of lifters in different categories.
Funding: This study received no specific financial support. |
Competing Interests: The authors declare that they have no competing interests. |
Acknowledgement: Both authors contributed equally to the conception and design of the study. |
Adamfi, A. (2018). New categories – new records (pp. 48). World Weightlifting, IWF Budapest, No 145.
Aján, T. (1998). IWF handbook, The Sinclair formula (pp. 155). Budapest: IWF.
Ajan, T., & Baroga, L. (1988). Weightlifting – fitness for all sports. Budapest: IWF, Medicina Publication House.
Belina, O. N., Lobodaev, V. I., Lelikov, S. I., Kudyukov, I. S., Sinyakov, A. F., & Stepanova, S. V. (1980). Medical and pedagogical observations in modern weightlifting sports (pp. 49-52). Moskva, Fizkult. Sport: Tjazholaja Atletika, Jezhegodnik.
Belina., O. N., Lobodaev, V. I., Lelikov, S. I., Kudyukov, I. S., Sinyakov, A. F., & Stepanova, S. V. (1982). Medical and pedagogical observation in modern weightlifting. World Weightlifting, IWF Budapest, 2, 18-19.
Chernjak, A. V., Martjanov, S. S., Popov, G. I., & Povetkin, J. S. (1982). Technical readiness of olympic champions 1980 (pp. 27-30). Moskva: Tjazholaja atletika, jezhegodnik, Fizkult. Sport.
Feher, T. (2006). Olympic weightlifting. Vecses, Hungary: Tamas Strength Sport Libri Publishing House.
Herm, K. P., Schulze, P., Kaempfe, U., & Lathan, H. H. (1987). Results of anthropometrical examinations carried out during the 1986 European weightlifting championships. World Weightlifting, IWF Budapest, 46-48.
Hiskia, G. (1997). Biomechanical analysis on performance of world and olympic champion weightlifters. Paper presented at the Proceedings Weightlifting Symp. of IWF, Ancient Olympia, Greece.
Hiskia., G. (2002). Biomechanical analysis on performance of world and olympic champion weightlifters. Paper presented at the Proceeding International Weightlifting Symp. of IWF, Ostia, Rome, Italy.
Jones, L., Pierce, K., & Keelan, M. (2010). IWF club coach manual: IWF (pp. 99). Budapest.
Nawrat, A. (1989). The biomechanical aspects of investigation, research and teaching of motion in weightlifing (pp. 63-67). Siofok, Hungary: Proceeding Weightlifting Symp of IWF.
Poletaev, P. A., Sz., V., & Kopisov, O. (1981). The relationship between the growth rate of sportsmanship and the dynamics of perfect weight for weightlifters (Vol. 42). Weightlifting: Yearbook.
Starodubcev, M. V. (1970). On the equations showing the relationship between power capabilities and body weight of athletes. Teor. Prakt. Fiz. Kult., Moscow, 9, 19-20.
Stepanova, S. V., Sinyakov, A. F., & Belina, O., N. (1983). Indicators of body composition and physical performance of the strongest weightlifters (pp. 29-31). Moskva: Tjazholaja Atletika, Jezhegodnik.
Szabo, A. S. (2012). Some questions of biomechanical character in weightlifting. Sport Scientific and Practical Aspects, 9(1), 59-64.
Szabo, A. S., & Adamfi, A. (2017). Investigation of some factors, influencing the level of performance and relative performance of top olympic weightlifters. Journal of Sports Research, 4(1), 1-7. Available at: https://doi.org/10.18488/journal.90.2017.41.1.7.
Szabo, A. S., Maslobojev, J. V., & Mezei, I. (1979). Issledovanije mossnosti ot vesa stangistov. Teor. Prak. Fiz. Kult, Moscow, 8, 8-12.
Szabó, A. S. (1989). Investigation of the relation between height and bodymass of elite lifters, Proc. of the Weightlifting Symp., Siófok, Hungary, 1989, Eds.: Á. Lukácsfalvi, A. Németh-Móra (pp. 89-102). Budapest: IWF.
Szabó, S. A. (1982). Actual questions of weightlifting. IX. Distribution of lifters in the different weight-categories. Heavy Athletics (in hungarian), Budapest, 2, 24-29.
Vorobyev, A. N. (1978). A textbook on weightlifting. Budapest: IWF.
Ye, X., Loenneke, J., Fahs, C., Rossow, L., Thiebaud, R., Kim, D., & Abe, T. (2013). Relationship between lifting performance and skeletal muscle mass in elite powerlifters. The Journal of Sports Medicine and Physical Fitness, 53(4), 409-414.
Views and opinions expressed in this article are the views and opinions of the author(s), Journal of Sports Research shall not be responsible or answerable for any loss, damage or liability etc. caused in relation to/arising out of the use of the content. |